Multiple Noncovalent Binding in the Intermediates and Products of the Reaction of N,N-Dimethylformamide with Bromine
- Authors: Zarechnaya O.M.1, Mikhailov V.A.1
-
Affiliations:
- L. M. Litvinenko Institute of Physical Organic and Coal Chemistry
- Issue: Vol 94, No 1 (2024)
- Pages: 10-28
- Section: Articles
- URL: https://bakhtiniada.ru/0044-460X/article/view/258220
- DOI: https://doi.org/10.31857/S0044460X24010022
- EDN: https://elibrary.ru/HLXJSN
- ID: 258220
Cite item
Full Text
Abstract
Reaction of nonionic N,N-dimethylformamide (DMF) with bromine under controllable conditions leads to a number of ionic compounds, mainly to bis(N,N-dimethylformamide)hydrogen dibromobromate. Computations with DFT (ωB97xV/dgdzvp) were made for geometry, thermochemistry and electron configuration of products and supposed intermediates. Two labile particles [bis(N,N-dimethylformamide)hydrogen cation and dibromobromate-anion] form stable highly conductive ionic liquid that can be distilled in vacuo without losses or decomposition. A number of molecular complexes of DMF with bromine and water presumed to be intermediates of this reaction. It is a set of halogen and hydrogen bonding that provide an intramolecular binding in these complexes.
Full Text
ВВЕДЕНИЕ
N,N-Диметилформамид (ДМФА) широко используется в органической химии как реагент и растворитель для синтеза, при изучении электрохимических свойств органических соединений [1]. Восстановление ДМФА требует больших отрицательных потенциалов, а окисление – больших положительных потенциалов [2], соответствующее окно (>3.5 В) очень привлекательно для использования в устройствах хранения и преобразования энергии. Строение молекулы ДМФА изучено прямыми структурными методами: дифракции электронов в газе [3], дифракции рентгеновских лучей в жидкой фазе [4] и в кристалле [5]. В конденсированной фазе все тяжелые атомы молекулы ДМФА (и по одному атому водорода каждой метильной группы) располагаются в одной плоскости, в газовой среде эта плоскость незначительно искажена [3]. Совокупность спектроскопических и расчетных результатов [6, 7] согласуется с этой конфигурацией. Представления о надмолекулярной организации жидкой фазы ДМФА не столь единодушны. Длительное время считалось, что неразбавленный ДМФА не склонен к образованию межмолекулярных водородных связей и протяженных структур, и в жидкой фазе существует как неупорядоченный мономер [1]. Однако данные по рассеянию нейтронов указывают на значительную степень упорядоченности жидкой фазы ДМФА [8]. Как основание/нуклеофил, ДМФА сочетает высокое сродство к протону в газовой фазе [9, 10] и низкую основность в воде [11]. ДМФА активно взаимодействует c незаряженными протонодонорами с выделением тепла [12] и образованием комплексов вполне определенной стехиометрии [7], вплоть до образования индивидуальных кристаллических аддуктов с галогеноводородами [13]. Взаимодействие ДМФА с иодом и интергалогенами, по имеющимся данным, ограничивается образованием малостабильных молекулярных комплексов [14, 15]. По этой причине взаимодействие ДМФА с галогенами изучалось преимущественно спектральными методами, в растворах и в газовой фазе, а также с использованием расчетных методов разного уровня приближения. Согласно этим изысканиям, считается, что координация протонодоноров и галогенов с ДМФА происходит исключительно по кислороду карбонильной группы [7, 11, 14, 15], тогда как для карбоксамидов c разветвленными заместителями есть указания на координацию по азоту [16]. Как установлено полярографически [17], при взаимодействии ДМФА с Br2 последний быстро превращается в HBr и дибромбромат водорода; природа восстановителя (источника водорода) в этих работах не выявлена, продукты реакции не выделены. Неустойчивость брома в растворе ДМФА видимым образом не препятствует использованию ДМФА как растворителя в процессах бромирования, особенно часто – для бромирования труднорастворимых гетероциклических соединений [18], а также для избирательного растворения металлических покрытий [19]. Однако неясности в поведении системы Br2–ДМФА вряд ли способствуют правдоподобному истолкованию механизмов протекающих реакций, и осмысленному подходу к оптимизации синтетических процедур. Некоторые продукты взаимодействия ДМФА с Br2 были описаны ранее в кратком сообщении [20]. Целью работы было выяснение структуры и электронного строения молекулярных комплексов ДМФА с Br2 и другими потенциальными участниками, выделяемых продуктов, оценка тепловых эффектов, оценка препаративной значимости реакции. Для выяснения деталей взаимодействия ДМФА с Br2 мы провели изучение этого процесса с использованием комплекса экспериментальных и расчетных методов. Расчетные результаты интерпретированы в рамках концепции «атомы в молекуле» [21], с учетом последующего развития представлений о характере распределения электронной плотности [22, 23], молекулярного электростатического потенциала (МЭП) [24], плотности потенциальной и кинетической энергии электронов в ковалентно связанных структурах [25, 26] и объектах с другими видами связывания [27–30]. Выводы сопоставлены с текущими представлениями об особенностях нековалентных взаимодействий с участием различных гетероатомов [31, 32] и результатами экспериментальных исследований галогенсодержащих систем, совмещающих нековалентные взаимодействия различной природы, а также синтетических работ, посвященных родственным трансформациям амидной связи.
РЕЗУЛЬТАТЫ И ОБСУЖДЕНИЕ
Выделенные продукты взаимодействия ДМФА с бромом. В самом общем виде препаративные результаты реакции ДМФА с Br2 могут быть представлены [20] схемой 1.
Схема 1
С наибольшим выходом выделен дибромбромат бис(диметилформамид)водорода 2. Выход дибромбромата тетраметилформамидиния 3 становится существенным только при проведении реакции в сухих условиях (с осушенным ДМФА). Гидробромид диметиламина 5 получается при перекристаллизации первично образующегося полибромида диметиламмония, менее устойчивого по сравнению с продуктами 2 и 3. Выделяющийся в реакции СО2 охарактеризован хроматографически, его количество определялось волюмометрическим методом. Жидкий продукт 2 выделен и очищен перегонкой в вакууме, твердый дибромбромат N,N,N′,N′-тетраметилформамидиния 3 очищен перекристаллизацией.
Свойства продуктов реакции. Неидентичность метильных групп, свойственная третичным амидам и родственным соединениям, сохраняется в соединениях 2 и 3. Мостиковый протон продукта 2 резонирует в очень слабом поле (dmax 18.3 м. д.), подобно другим солям третичных амидов с фрагментом О···Н+···О [33]. Концентрационная зависимость химического сдвига мостикового протона соли 2 в хлороформе приведена на рис. S1 (см. Дополнительные материалы). Резонанс в неразбавленной жидкости 2 наблюдается лишь в немногим более сильном поле (d 18 м. д.). При малых концентрациях сигнал мостикового протона смещается в сильное поле, уширяется и сливается с фоном, вследствие быстрого в масштабе времени ЯМР обмена с подвижными протонами примесей (вода в растворителе) и продуктов диссоциации. Процессы распада и образования дибромбромат-аниона [Br–Br–Br]– приводят к нелинейной зависимости оптической плотности от концентрации соли 2 в максимуме поглощения аниона (рис. S1). Дигалогенгалогенат-анионы в растворах склонны к быстрому распаду-образованию [34], скорость этих реакций сопоставима со скоростью диффузии ионов в растворителе [35]. Непрерывный континуум в спектре соединения 2 в инфракрасной области без выраженных максимумов поглощения характерен для соединений с короткой водородной связью [О···Н+···О] [36].
Растворы соли 2 в метаноле хорошо проводят электрический ток (рис. S2, см. Дополнительные материалы). Оценка предельной эквивалентной электропроводности λ0 выполнена экстраполяцией зависимости λ–√c; симулированная кривая рассчитана в предположении простейшей диссоциации соли в катион и анион, без учета более сложных процессов, для константы равновесия 0.012 л/моль. Применять более сложные и изощренные подходы не имеет смысла ввиду вероятного наличия других равновесий [34]. Как видно из рис. S2, наблюдаемая электропроводность раствора соли 2 в метаноле сопоставима с электропроводностью сильного электролита в воде [37], хотя и ниже, чем электропроводность галогеноводородов. При этом кажущаяся константа равновесия заметно меньше, чем для типичных сильных электролитов. Экстраполированное значение предельной эквивалентной электропроводности λ0 (370 См·см2·моль–1) не слишком сильно отличается от экспериментально достигнутого значения эквивалентной электропроводности λ (364.4 См·см2·моль–1), и представляется вполне разумным. Вероятно, перенос заряда в метанольном растворе соли 2 осуществляется по эстафетному механизму (перескок, «hopping», механизм Гротгуса), а не за счет диффузии ионов. Подобный механизм переноса заряда считается обычным для протона в воде [38] и полигалогенидов в ацетонитриле [39]. Собственная электропроводность жидкой соли 2 (0.0127 См·см–1) также весьма велика и сопоставима с электропроводностью жидких полигалогенидов тетраалкиламмония (12.5 мСм·cм–1, для трихлорида триэтилметиламмония [40]; 22.8 мСм·см–1 для нонабромида тетрапропиламмония [39]) и монокатионных имидазолиевых ионных жидкостей [41].
В отличие от большинства ионных жидкостей, дибромбромат 2 перегоняется в сравнительно неглубоком вакууме. Анион [Br–Br–Br]– традиционно [42] рассматривается как гипервалентное соединение [10-Br-2]; в этих рамках гипервалентным [4-H-2] является также катион. В нотации [n-X-m] число n обозначает число электронов, принимающих участие в связывании центрального атома/иона Х, число m обозначает число лигандов, окружающих центральный атом. И катион, и анион в соединении 2, несомненно, являются гипервалентными частицами в том смысле, что координационное число центрального иона превышает обычную ковалентность элемента (брома и водорода). Известные гипервалентные соединения представлены частицами одного сорта (нейтральная молекула; или только анион; или только катион). Соединение 2 необычно тем, что гипервалентными являются и катион, и анион.
Свойства реакции. Реакция ДМФА с Br2 экзотермична, и при достаточно большом объеме смеси развивается подобно самораспространяющемуся твердотельному синтезу, со скачкообразным повышением температуры и с явными признаками автокатализа. Однако для получения воспроизводимых количественных результатов процесс удобнее поддерживать в узких температурных рамках. Все далее описанные опыты проведены с принудительным поддержанием температуры в пределах ±5°С. Анализ сырой реакционной массы затруднителен ввиду неизбежного присутствия полибромидов [43], поэтому оценка возможна только после переработки (отгонки летучих компонентов). В процессе реакции из реакционной массы выделяется СО2, собираемый над слоем воды. В вакууме водоструйного насоса (15–20 мм рт. ст.) отгоняются непрореагировавшие Br2 и ДМФА, в вакууме масляного насоса (0.04–0.1 мм рт. ст.) – жидкий продукт 2 и твердый полупродукт 4.
Реакция ДМФА с бромом в присутствии воды. При внесении воды в ДМФА (еще до прибавления брома) реакция протекает наиболее спокойно. Если прогреть смесь ДМФА и воды до 100°С, выделение CO2 начинается практически сразу после начала прибавления Br2. Зависимость выхода дибромбромата 2 и CO2 (в молях на 1 моль ДМФА) от количества воды при этой температуре приведена на рис. S3 (см. Дополнительные материалы).
С учетом количества образующейся соли диметиламмония (выделена не во всех опытах) можно предложить идеализированную стехиометрию:
5ДМФА + 3Br2 = 22 + 5 +CO2.
Максимальный выход дибромбромата 2 по этой схеме достигается при превращении 1 моля ДМФА в 1 моль соли диметиламмония 4 с образованием 2 молей HBr и 1 моля CO2. В избытке Br2 эти 2 моля HBr связывают 4 моля исходного ДМФА в 2 моля дибромбромата 2. Дибромбромат 2 также частично гидролизуется при нагревании с водой, поэтому в реальности выход соли 2 может быть ниже, а выход CO2 – выше (рис. S3), чем в соответствии с приведенным уравнением. Соль амидиния 3 не была зафиксирована при проведении реакции в присутствии воды; если она и образуется, то в ничтожных количествах.
Реакция ДМФА с бромом в отсутствие влаги. При проведении реакции в максимально сухих условиях (тщательно осушенные реактивы, предварительно прокаленная посуда) характер течения процесса заметно меняется. При добавлении нескольких капель Br2 к ДМФА комнатной температуры образуется чуть теплый раствор очень темного цвета. В дальнейшем температура быстро (скачком) возрастает, интенсивность окраски падает, раствор приобретает красный цвет. При высокой температуре интенсивно выделяется СО2, и, если допустить перегрев, смесь может выбросить из реакционного сосуда. Для получения воспроизводимых результатов оказалось полезным проводить реакцию с предварительным нагревом ДМФА, и затем поддерживать эту температуру в пределах нескольких градусов, охлаждая или подогревая реакционную массу. При проведении реакции при относительно невысоких температурах был выделен твердый летучий продукт, не встречавшийся при других условиях проведения; по сумме свойств и наблюдений, это дибромбромат 2-метил-2-азониапропен-1-ил-N,N-диметилкарбамата 4. Это вещество разлагается при контакте с водой или во влажном воздухе; при попытке перекристаллизации из метанола бурно выделяет СО2 и превращается в дибромбромат тетраметилформамидиния 3. Выход продуктов реакции ДМФА с Br2 в безводных условиях сильно зависит от температуры, которую поддерживают в ходе процесса (рис. S4, см. Дополнительные материалы).
С учетом количеств образующихся продуктов можно предложить идеализированную стехиометрию:
4ДМФА + 3Br2 = 2 + 3 + CO2.
Ни в одном из опытов не был выделен гидробромид ДМФА 5, вне зависимости от соотношения реагентов; в отсутствие брома гидробромид 5 легко получается при взаимодействии HBr с ДМФА (см. Экспериментальную часть и [13]). Аналогично, не удается получить аддукт ДМФА, HBr и Br2 состава 1:1:1; при попытке закристаллизовать глубоким охлаждением или перегнать – отделяется дибромбромат 2 (продукт состава 2:1:1).
Перспективы использования или применения. Дибромбромат N,N,N′,N′-тетраметилформамидиния 3 – единственный продукт усложнения ковалентного скелета в изучаемой реакции; подобные структуры несложно получить другими способами [44]. Больший интерес здесь представляет механизм этой реакции (см. далее). Дибромбромат бис(диметилформамид)водорода 2 потенциально пригоден к использованию как электролит для устройств хранения электроэнергии с анионной проводимостью (проточных батарей) [45, 46].
Расчетные структуры. Геометрия исходных соединений. Расчетная длина связи в молекуле HBr составляет 1.430 Å (в эксперименте – 1.437 Å [47]), в молекуле Br2 2.296 Å (в эксперименте – 2.301 [48]); в молекуле воды межатомное расстояние Н–О равно 0.967 Å, расчетный угол НОН – 105.36°, в эксперименте равновесные значения в газе составляют 0.95777 Å и 104.48° [49]; в линейной молекуле CO2 межатомное расстояние С–О составляет 1.170 Å, в эксперименте – 1.162 [50]. Для молекулы ДМФА различия с экспериментом в расчетных длинах связей не превышают 0.024 Å, в углах связи – 2°; примерно такие же расхождения существуют и в результатах экспериментальных методов для разных фазовых состояний, температуры и давления [3–5]. Такое сходство дает основания предполагать, что геометрия комплексов ДМФА с электрофилами (промежуточных продуктов) и ионных составляющих (катионов и анионов) продуктов 2–4 соответствует реальной. Примечательная особенность молекулы ДМФА – плоское строение остова тяжелых атомов (атомов тяжелее водорода); MPP (параметр молекулярной планарности, см. Экспериментальную часть) равно 0.000009 Å. По одному атому H каждой метильной группы располагаются в этой же плоскости. Стереохимически грани молекулы ДМФА неидентичны; при размещении в плоскости рисунка таким образом, чтобы атомы N, O, H (формил) располагались по часовой стрелке, обращенная к зрителю на рисунке – грань А, обратная сторона – грань B.
Геометрия молекулярных комплексов ДМФА с электрофилами. Одни лишь препаративные результаты не позволяют судить о строении предполагаемых промежуточных продуктов, к которым можно отнести молекулярные комплексы ДМФА и Br2, а также ионные интермедиаты. Строение этих предполагаемых интермедиатов изучено с применением расчетных методов. Оптимизация расчетной структуры комплекса ДМФА с Br2 стехиометрии 1:1 приводит к трем низколежащим структурам (рис. 1). Во избежание путаницы все расчетные структуры обозначены римскими цифрами, в отличие от реальных соединений.
Рис. 1. Бинарные комплексы ДМФА с бромом
Молекула Br2 координирована по атому кислорода в комплексах I и II, и по атому азота – в комплексе III. Во всех комплексах связь Br–Br несколько удлиняется. Молекула ДМФА остается плоской в комплексах I и II, и несколько искажается в комплексе III (MPP = 0.106 Å). Связь С=О удлиняется в комплексах I и II, и укорачивается в комплексе III. Во всех комплексах межатомное расстояние бром–гетероатом (т. е. Br1···O или Br1···N) меньше суммы ван-дер-ваальсовых радиусов. Если рассматривать связь С=О как аналогичную двойной связи углерод–углерод, то в комплексе I проксимальный (ближайший к кислороду) атом брома Br1 находится в транс-конфигурации по отношению к атому азота (т. е. в Е-конфигурации). Все тяжелые атомы (включая бром) размещаются в одной плоскости (MPP = 0.0001 Å, размах отклонений – 0.0003 Å), и в этой же плоскости размещаются два атома водорода, по одному от каждой метильной группы. В комплексе II фрагмент ДМФА сохраняет плоское строение (MPP = 0.017 Å, размах отклонений – 0.042 Å). Оба атома брома и атомы кислорода и углерода карбонильной группы располагаются в одной плоскости (MPP = 0.007 Å, размах отклонений – 0.017 Å), однако по отношению к плоскости молекулы ДМФА прямая, соединяющая проксимальный и дистальный атомы брома, наклонена под углом ~50°. Тогда комплекс II можно рассматривать как Z-изомер, хотя атом брома Br1 выведен из плоскости молекулы ДМФА (рис. 1). Удобно обозначить комплекс I как Е-Br2, комплекс II – как Z-Br2, комплекс III – как N-Br2. Комплекс II на рис. 1 образован координацией брома по грани В молекулы ДМФА, и значение двугранного угла ∠∠BrOCN отрицательно. Прямая, проходящая через два атома брома, образует угол ~50° с плоскостью молекулы ДМФА. Зеркальное отражение этой структуры получается при координации брома со стороны грани А (∠∠BrOCN = 52°); все длины связей, углы, энергетические характеристики у этих стереоизомеров идентичны. Среди кристаллических комплексов альдегидов с галогеновой связью известны структуры с координацией галогена как в Е-, так и в Z-положении [51].
Комплексы другой стехиометрии (с соотношением ДМФА и Br2 1:2 и 2:1) пребывают в локальном минимуме только при координации по кислороду (рис. 2). В комплексе V все тяжелые атомы (включая бром) размещаются примерно в одной плоскости (MPP = 0.059 Å, размах отклонений – 0.181 Å). В комплексе VI вполне планарны оба фрагмента ДМФА. Два атома брома и четыре атома карбонильных групп также образуют плоскость (MPP = 0.013 Å, размах отклонений – 0.033 Å). В структуре VI на рис. 2 один из лигандов ДМФА обращен к молекуле брома гранью А, второй – гранью В (стереоизомер АВ). Стереоизомеры АА и ВВ не отличаются в длинах связей и энергиях образования.
Рис. 2. Тройные комплексы ДМФА с бромом стехиометрии 1:2 и 2:1
Продукт реакции HBr связывается (рис. 3) по тем же центрам, что и бром, тогда как вода – только по кислороду (рис. 4).
Рис. 3. Бинарные комплексы ДМФА с бромистым водородом
Рис. 4. Комплексы ДМФА с водой
Вода и бром продуцируют смешаннолигандные тройные комплексы (рис. 5). В комплексе XVII молекулы Br2 и воды примыкают к молекуле ДМФА супрафациально (по одной и той же грани), в комплексе XVIII антарафациально (координируются по разным граням). Во всех комплексах брома длина связи Br–Br увеличивается, в наибольшей степени – при координации в положение E (по сравнению с Z или N). Одновременное участие карбонильного кислорода альдегидной группы в образовании галогеновой и водородной связи известно [51]. В комплексах с координацией электрофилов по кислороду межатомное расстояние O···Br (в комплексах I, II, IV–VI, XIII–XVIII) или O···H (в комплексах VII, VIII, X–XVIII) меньше суммы ван-дер-ваальсовых радиусов. В молекуле ДМФА увеличивается длина связи С=О, напротив, связь ОС–N укорачивается. Изменения других ковалентных связей не превышают 0.003 Å, и молекула ДМФА в целом остается плоской. В комплексах с координацией по атому азота III (MPP = 0.106 Å, размах отклонений – 0.294 Å) и IX, XVI–XVIII планарность молекулы ДМФА существенно нарушается, межатомное расстояние N···Br (N···H в комплексе IX) меньше суммы ван-дер-ваальсовых радиусов. При этом длина формально ординарной связи OC–N увеличивается, тогда как двойной С=О уменьшается.
Рис. 5. Смешанно-лигандные тройные комплексы ДМФА с водой и бромом
В табл. S1 (см. Дополнительные материалы) приведены расчетные величины полной электронной энергии (ESCF), поправки на энергию нулевых колебаний EZPE), энтальпии и энергии Гиббса ДМФА, электрофилов и их молекулярных комплексов (а. е.).
Электронное строение исходных реагентов. Распределение электронной плотности и молекулярного электростатического потенциала. Для всех ковалентных связей в молекулах ДМФА и электрофилов выявлены пути связывания и критические точки связывания с сигнатурой (3,–1) [21, 22]. Численные характеристики электронной плотности в критических точках приведены в табл. S2 (см. Дополнительные материалы).
Распределение электронов в молекуле ДМФА характеризуется большими градиентами плотности, что затрудняет анализ связывающих взаимодействий. Расчет редуцированного градиента плотности RDG [23] выявляет нековалентные взаимодействия для близкорасположенных атомов метильных и формильной групп H11···O1 и H6···H12 (рис. S5, см. Дополнительные материалы). Распределение электронной плотности вдоль прямой между этими атомами имеет вид, обычный для пути связывания ([21], рис. S6, S7, см. Дополнительные материалы). В точках минимума электронная плотность невелика (рис. S6, S7, см. Дополнительные материалы), однако вторая компонента гессиана l2 отрицательна (это седловая точка). В рамках QTAIM [21, 27, 28] контакт О1···Н11 – заурядная слабая водородная связь; контакт Н6···Н12 – нечастый пример внутримолекулярной диводородной связи [29], более прочной, чем межмолекулярная [30]. Очевидно, к этому виду связывания неприменимы представления электрофил/нуклеофил [31]. Бассейны наиболее электроотрицательных атомов – азота и кислорода – обогащены электронами по сравнению c одиночным атомом (заряд по Бейдеру W = –1.20е для N, –1.19е для О). Функция локализации электронов ELF [25, 31] и локатор локализованных орбиталей LOL [26] позволяют выделить области локализации электронов с низкой кинетической энергией (спаренных электронов ковалентных связей и неподеленных пар; рис. S8, см. Дополнительные материалы, сечение в плоскости молекулы ДМФА). Для обоих гетероатомов процедура ELF выявляет по два моносинаптических бассейна: два V(N) с наполнением 0.91е каждый и объемом по 8.8 Å3, и два V(O) с наполнением 2.66е (объем 56 Å3) и 2.75е (объем 94 Å3) (рис. S9a, см. Дополнительные материалы). Дисинаптические бассейны ELF в молекуле ДМФА характеризуются обычным для ковалентных связей наполнением: V(Cметил,H) = 2.0e, V(Cформил,H) = 2.18e, V(Cметил,N) = 1.71e, V(Cкарбонил,N) = 2.32e, V(C,O) = 2.26e. В молекуле Br2 (рис. S9b, см. Дополнительные материалы) дисинаптический бассейн V(Br,Br) невелик по объему (1.47 Å3), как и его наполнение, 0.91е.
Вероятно, в силу разности наполнения области отрицательного электростатического потенциала проявляются только в окрестностях карбонильного атома кислорода (рис. S10a, см. Дополнительные материалы, сечение в плоскости молекулы ДМФА). Для изоповерхности с электронной плотностью 0.001 а. е. найдены несколько максимумов потенциала, и только один минимум потенциала (максимум отрицательного потенциала, рис. S10b, см. Дополнительные материалы). Этот минимум располагается в плоскости молекулы ДМФА, в транс-положении к атому азота.
В молекулах Br2, HBr и воды МЭП распределен резко неравномерно (рис. S11, см. Дополнительные материалы), в них есть области положительного и отрицательного потенциала. Максимумы потенциала (сигма-полости) расположены на продолжении связей Br–Br, H–Br и H–O. Исходя из электростатических представлений [24], следовало бы ожидать координации электрофила (его сигма-полости) по месту локализации минимума молекулы ДМФА. Очевидно, что структуры комплексов II и III не соответствуют этим ожиданиям; более того, не вполне соответствует и структура комплекса I. Более детальный анализ распределения потенциала несколько проясняет ситуацию. Одна из причин может заключаться в несимметричном распределении потенциала. На рис. S12 (см. Дополнительные материалы) представлены минимумы МЭП для разных изоэлектронных поверхностей и аттракторы LOL и ELF. С увеличением электронной плотности единственный минимум МЭП (для изоповерхности 0.001 а. е.) расщепляется на два, и два минимума приближаются к аттракторам LOL и ELF. Все минимумы МЭП и аттракторы LOL и ELF лежат в плоскости молекулы ДМФА, в транс- и цис-конфигурации (E и Z) относительно атома азота. Минимум МЭП в транс-положении всегда несколько более отрицателен, нежели в цис-положении (табл. S3, см. Дополнительные материалы). Очевидно (рис. S12, см. Дополнительные материалы), что структура комплекса I комплементарна минимумам МЭП изоповерхностей с плотностью электронов 0.02 а.е. и более (а также аттракторам LOL и ELF). В комплексе II атом брома не может занять оптимальное с точки зрения электростатики транс-(Z-)-положение в плоскости молекулы из-за стерических препятствий, чинимых атомом водорода метильной группы Н11, который размещается в этой же плоскости. При этом возникает короткий контакт С–Н···Br (рис. 1). Образование комплекса III с координацией по азоту не укладывается в рамки представлений о чисто электростатическом связывании (c N-комплексами это бывает [32]).
Нековалентное связывание в комплексах ДМФА. Основной вклад в связывание в комплексах вносят короткие контакты Br···O=С, Br···N, H···O=С с участием гетероатомов ДМФА, обозначенные полужирным пунктиром на рис. 1–5. Межатомные расстояния в этих контактах меньше суммы ван-дер-ваальсовых радиусов, плотность электронов в критических точках связывания (3,–1) превышает 0.01 а. е. В Е- и N-комплексах Br2 и HBr эти контакты являются единственными. В Z-комплексах появляется дополнительное связывание С–Н···Br и C–H···O с участием атомов водорода цис-метильной группы ДМФА; в Е-комплексах воды проявляется дополнительное C–H···O связывание с участием формильного водорода и кислорода воды. Эти контакты отмечены тонкой пунктирной линией на рис. 1–5. В ряде случаев межатомные расстояния в этих контактах превышают сумму ван-дер-ваальсовых радиусов, а плотность в критических точках существенно меньше значений, типичных для водородной и галогеновой связи. Однако вторая компонента гессиана плотности отрицательна, распределение электронной плотности характерно для пути связывания, и сами эти контакты уверенно диагностируются процедурой RDG [23]. Подобное вторичное связывание C–H···Br было обнаружено экспериментально в комплексе ацетон–бром [52], в комплексах диацетилпиперазина с интергалогенами [53] и в комплексе триметиламин-N-оксида с хлоридом иода [54]. Характеристики электронной плотности связывающих контактов приведены в таблице ST4. Расчетная энергия комплексообразования DESCF симбатна сумме электронных плотностей во всех критических точках связывающих контактов (рис. S13, см. Дополнительные материалы). Наклон этой зависимости (0.40±0.034) соответствует обычной величине для слабых водородных и галогеновых связей [28, 54]. Аналогичные зависимости могут быть получены также для плотности кинетической и потенциальной энергии в критических точках (3,–1) (поскольку все они рассчитываются из электронной плотности). Вероятно, для каждого электрофила существует индивидуальная зависимость DE–rBCP [54], но отличия между ними незначительны.
Перенос заряда в молекулярных комплексах ДМФА. Роль переноса заряда в комплексообразовании галогенов традиционно считалась определяющей, и иногда все еще считается таковой. Перенос заряда в комплексах ДМФА оценен (табл. S5, см. Дополнительные материалы) по изменению заселенностей бассейнов отдельных атомов в молекуле ДМФА и электрофила (Br2, H2O, HBr). Степень переноса на одну молекулу электрофила в бинарных комплексах максимальна для HBr (в комплексе VII – 0.051е, VIII – 0.030е, IX – 0.028е), минимальна для воды. Малая степень переноса заряда отмечалась при экспериментальном изучении для ряда сильных водородносвязанных комплексов [55].
Простые закономерности переноса заряда в комплексах I–XVIII видны из рис. S14a (см. Дополнительные материалы). В комплексах с Br2 1:1 в наибольшей степени заряд переносится в Е-конфигурации (комплекс I), в наименьшей – в Z-комплексе (комплекс II). При комплексообразовании по кислороду в наибольшей степени обедняются электронами бассейны терминальных атомов водорода молекулы ДМФА, в меньшей степени – кислорода и углерода; бассейн азота скорее обогащается. При комплексообразовании по азоту в молекуле ДМФА обогащается бассейн карбонильного атома углерода, и обедняются бассейны азота, кислорода и атомов водорода. Молекула брома при этом существенно поляризуется (табл. S5, см. Дополнительные материалы). Перенос заряда в комплексах I– XVIII не коррелирует с энергией образования комплексов (рис. S14b, см. Дополнительные материалы). Для комплексов с галогеновой связью такое встречается довольно часто [32]; возможно, это общая ситуация для комплексов с неидентичными (неодинаковой природы) центрами взаимодействия [31].
Деформационная плотность в комплексах ДМФА и брома. Численные значения переноса заряда и изменений в заселенности не отражают в полной мере значительных изменений в распределении электронной плотности при комплексообразовании. Некоторое представление могут дать изоэлектронные поверхности деформационной плотности. На рис. S15, S16a, b (см. Дополнительные материалы) синим выделены области, в которых электронная плотность уменьшается при комплексообразовании, красным – области, в которых электронная плотность увеличивается. Ранее подобный характер смещения электронной плотности от межатомной оси в тороидальную область отмечался для C–H···O водородных связей [27], с близкой или меньшей степенью переноса заряда. Вероятно, деформационная плотность в целом более чувствительна к комплексообразованию, нежели перенос заряда; даже при неуловимо малом переносе заряда изменения в распределении электронной плотности становятся экспериментально наблюдаемыми [55].
Геометрия ионных продуктов и интермедиатов. Тройные комплексы ДМФА с бромом и бромид-ионом ожидаемо прочнее, нежели молекулярные, и энергия Гиббса для них отрицательна. Две низколежащие структуры XIX и XX представлены на рис. 6.
Рис. 6. Общий вид тройных комплексов ДМФА–Br2–Br–
В этих структурах бромид-анион связывается с молекулой ДМФА посредством двух водородных связей C–H···Br–, донорами которых служат формильная группа и метильная группа в транс-положении к кислороду. Молекула Br2 размещается в E- или Z-положении. В комплексе XIX (Е-Br2–Br–) все тяжелые атомы образуют плоскость (MPP = 0.000 Å). В комплексе XX (Z-Br2–Br–) только бромид-анион и тяжелые атомы ДМФА образуют плоскость (MPP = 0.054 Å). Расчет для дибромбромат-аниона приводит к симметричной линейной структуре с межатомным расстоянием Br–Br 2.575 Å. В кристаллических структурах солей с симметричным анионом [Br–Br–Br]– межатомное расстояние Br···Br варьирует в пределах 2.523–2.551 Å [56]. Расчетные структуры других ионных продуктов и интермедиатов представлены на рис. 7. Линейное расположение атомов N–C–O в катионе XXII соответствует найденному в катионе ацетилия [H3C–C=O]+ с межатомным расстоянием C–O 1.116 Å [57]. Симметричная структура получается для катиона бис(N,N-диметилформамид)брома XXI, и несимметричная для катиона бис(N,N-диметилформамид)водорода XXIV. Разница в межатомных расстояниях Н···О в катионе XXIV невелика, однако существенна; совершенно симметричная структура оказывается локальным максимумом, с одной мнимой частотой. Среди экспериментально изученных соединений с фрагментом =О···Н···О= известны как симметричные [58], так и несимметричные структуры [59]. Катионы тетраметилформамидиния XXV и диметилкарбамоилия XXIII (MPP = 0.0000) – ожидаемо плоские структуры в части скелета тяжелых атомов. В несимметричном монокатионе XXIV все межатомные расстояния в родственных субструктурах А и В существенно различаются, в наибольшей степени – в центральной части. Обе водородные связи в этом фрагменте очень короткие; кратчайшая (фрагмент А) приближается к длине ординарной О–Н связи в кислотах [60]. Однако есть и общие для обоих фрагментов ДМФА черты. По сравнению с исходным ДМФА, удлинены связи С=О, N–CH3, укорочены связи OC–N, OC–H; укорочены нековалентные контакты О1···Н11 (между метильными атомами водорода и карбонильными атомами кислорода), удлинены контакты Н6···Н12 (между формильными и метильными атомами водорода). В симметричном монокатионе XXI длины связей и углы идентичны в обеих ДМФА-составляющих. Все неводородные атомы размещаются в одной плоскости (MPP = 0.005), и в этой же плоскости размещены два формильных атома водорода и по одному атому водорода каждой метильной группы. Межатомные расстояния Br···O существенно превышают длину ковалентной связи Br–O (1.58 Å [60]). Неводородные атомы катиона N,N,N′,N′-тетраметилформамидиния XXV образуют неидеальную плоскость (MPP = 0.169), в которой размещаются также три атома водорода: один от центрального sp2-атома углерода, и по одному от каждой антиперипланарной метильной группы. В известных кристаллических структурах солей тетраалкилформамидиния [44] центральный фрагмент плоский; по одному атому водорода α-метиленовых групп (если таковые имеются) также располагаются в этой плоскости (см. структуры 12 и 17 в работе [44]). При таком расположении этих атомов межатомное расстояние Н···Н неизбежно меньше суммы ван-дер-ваальсовых радиусов (рис. 8, в синей рамке), однако связывающие взаимодействия для них не выявлены.
Рис. 7. Общий вид молекулы предполагаемых ионных интермедиатов XXI–XXIII
Рис. 8. Общий вид катионов – продуктов реакции
В предполагаемом интермедиате XXIII все неводородные атомы близки к созданию единой плоскости (MPP = 0.017). В кето-фрагменте А связи С=О и Ме2N–CO укорочены по сравнению с исходным ДМФА, связи Н3С-N удлинены; в эфирном фрагменте В межатомное расстояние С–О (бывшая связь С=О) увеличено по сравнению с ДМФА, связь Ме2N–CO укорочена, связи Н3С–N удлинены.
Особенности электронного строения ионных интермедиатов и продуктов. Для всех ковалентных связей и нековалентных связывающих контактов, указанных на рис. 6–8, найдены пути связывания и критические точки связывания. Характеристики электронной плотности в критических точках связывания (3,–1) приведены в табл. S6 (см. Дополнительные материалы).
Электронная плотность в критических точках связывания в центральном фрагменте катиона XXIV необычайно высока по сравнению с большинством водородных связей (как и плотность потенциальной и кинетической энергии электронов), и ближе к типичным ковалентным связям. В одной из них (фрагмент А, рис. 8) даже лапласиан отрицателен, и отношение |V(r)/G(r)| > 2. Подобные величины электронной плотности (r = 1.13 и 0.95 е/ Å3) в критических точках связывания О···Н были найдены [61] при экспериментальном исследовании несимметричного катиона Цунделя, – составной части нитраниловой кислоты. Электронная плотность в критических точках связывания связей С=О уменьшается при образовании катиона XXIV, тогда как для связи ОС–N – возрастает. Функция ELF рассматривает смежные бассейны атомов водорода и кислорода (центральный фрагмент) как моносинаптические (рис. S17а, см. Дополнительные материалы), невзирая на геометрическую близость; для каждого из них выявлен свой собственный аттрактор. Напротив, все внешние электроны атомов азота относит к дисинаптическим бассейнам V(N,C); при этом наполнение бассейна V(N,C) с участием углерода карбонильной группы вдвое выше, чем для бассейнов V(N,C) углеродов метильных групп (1.8е) и бассейнов V(О,C) карбонильных групп (1.9е). Близкую картину распределения электронов с низкой кинетической энергией выявляет процедура LOL (рис. S17b, см. Дополнительные материалы). В коротких контактах O···Br предполагаемого интермедиата XXI величины электронной плотности, плотности потенциальной и кинетической энергии электронов намного превышают соответствующие характеристики молекулярных комплексов с участием Br2 (табл. S3, S6, см. Дополнительные материалы), и даже выше, чем соответствующие значения для галогеновой связи Br···Br в анионе [Br–Br–Br]–. Электронная плотность в критических точках С–О связей в катионе XXIII намного ниже, чем в исходном ДМФА (табл. S3, S6).
Внешние электроны 2s2p-атомов азота катиона XXV вовлечены только в дисинаптические бассейны V(N,C) с очень высоким наполнением для двух центральных; моносинаптические не обнаруживаются (рис. S18а, см. Дополнительные материалы). В дибромбромат-анионе, напротив, дисинаптические бассейны V(Br,Br) очень невелики по объему (0.51 Å3) и слабо наполнены (рис. S18b). Наполнение дисинаптических бассейнов в анионе [Br–Br–Br]– в разы меньше, чем в молекуле брома, и на порядок меньше наполнения дисинаптических бассейнов типичных ковалентных связей (например, в молекуле ДМФА). Низкие значения ELF дисинаптических бассейнов отмечались ранее для родственной структуры – дихлорхлорат-аниона [Cl–Cl–Cl]–, на основе экспериментального исследования распределения электронной плотности [62].
Молекулярный электростатический потенциал в значительной степени делокализован в катионе XXIV и анионе [Br–Br–Br]– (рис. S19, см. Дополнительные материалы).
Бассейны терминальных атомов брома в анионе [Br–Br–Br]– обогащены электронами (заряд по Бейдеру, атомный заряд –0.519 а. е.), бассейн центрального атома обеднен (атомный заряд +0.038 а. е.). Бассейн центрального атома водорода в катионе XXIV сильно обеднен электронами (атомный заряд +0.64 а. е.; экспериментальная оценка – +0.70 а. е. для катиона Цунделя [61]), однако его объем (1.36 Å3) очень невелик и для типичных межмолекулярных расстояний полностью перекрывается бассейнами других атомов (например, кислорода – 17.7 Å3). Вероятно, высокая степень делокализации заряда и МЭП в катионе XXIV и анионе [Br–Br–Br]– позволяет им сосуществовать в виде стабильной соли 2. Соли этих ионов с маленькими противоионами нестабильны или не существуют [63]. Меньшая по сравнению с ковалентными связями электронная плотность в связывающих контактах О···Н···О и Br···Br определяет высокую лабильность этих связей и склонность к быстрому образованию/распаду соответствующих частиц в растворе.
О термохимии реакции и механизме превращений. Термодинамика молекулярных комплексов. Расчетные значения термодинамических параметров образования молекулярных комплексов приведены в табл. S7 (см. Дополнительные материалы). Результаты расчета указывают на энергетическую выгодность образования молекулярных комплексов при низкой температуре (энтальпия комплексообразования ∆H отрицательна). Это соответствует экспериментальным наблюдениям [7, 13, 11]. К оценкам энергии Гиббса следует относиться с осторожностью; именно в этих оценках обычно кроется наибольшая погрешность расчета [32].
Термохимия ионных комплексов и интермедиатов. Особенностями рассматриваемой реакции являются образование ионных продуктов из неионных исходных и высокая конверсия исходных реагентов при их эквимольном соотношении и высокий выход конечных продуктов (с учетом стехиометрии, в оптимальных условиях). Причины появления и маршруты возникновения первичных ионных частиц неочевидны, особенно с точки зрения расчетных термодинамических характеристик. Величины полной электронной энергии (ESCF), поправки на энергию нулевых колебаний (EZPE), энтальпии, энтропийные составляющие и энергии Гиббса для этих ионов приведены в табл. S8 (см. Дополнительные материалы). В отсутствие прямых экспериментальных доказательств природы промежуточных продуктов три версии появления ионов заслуживают рассмотрения.
Гетеролиз связи Br–Br. Расчет в приближении свободных молекул указывает на невыгодность образования ионов из неионных предшественников. Очевидно, существуют другие процессы, обеспечивающие выделение энергии, необходимой для генерирования ионов в изучаемой реакции.
Для образования дибромбромат-аниона расчет дает следующие оценки:
Br2 + Br– → [Br–Br–Br]–,
DH = –125 кДж/моль, DG = –94.4 кДж/моль.
Полученные ранее расчетные оценки тепловых параметров этой реакции очень сильно зависят от выбранного приближения [39]; для наиболее высокого уровня CCSD(T) получено значение 127.4 кДж/моль. Экспериментально определенная энергия разрыва связи в дибромбромат-анионе D(Br2–Br–) (энтальпия обратной реакции) в газовой фазе равна 127±7 кДж/моль [64].
Для протонирования ДМФА (образования катиона XXIV) можно записать:
2 DMF + Н+ → XXIV, DH = –1016.1 кДж/моль
(–242.9 ккал/моль).
Суммарное значение экспериментально определенных энтальпии монопротонирования ДМФА в газовой фазе (PA, 212.1 ккал/моль [9]) и энтальпии взаимодействия ДМФА с монопротонированным ДМФА (30.4 ккал/моль [10]), равное 242.5 ккал/моль, отличается от расчетного менее чем на 0.5 ккал/моль. Эти два примера убеждают в правомочности расчетных оценок тепловых эффектов в рамках выбранного приближения.
Последующие реакции катионных форм экзотермичны в расчете:
Br+ + 2 DMF → XXI,
DH = –744 кДж/моль, DG = –659 кДж/моль;
Br+ + DMF → XXII + HBr,
DH = –630 кДж/моль, DG = –641 кДж/моль;
XXII + DMF → XXIII,
DH = –175 кДж/моль, DG = –115 кДж/моль;
XXIII → XXV + CO2, DH = –61.9 кДж/моль,
DG = –105 кДж/моль.
Более детальный анализ схемы вряд ли имеет смысл; вполне вероятно, что эти реакции катионных форм брома могут протекать самопроизвольно и обеспечивать общий экзоэффект, наблюдаемый в эксперименте. В целом можно констатировать, что лимитирующей стадией процесса в этой схеме является гетеролиз связи Br–Br. Автоионизация Br2 (и других галогенов) в воде и неводных растворителях предполагалась неоднократно, преимущественно на основании косвенных свидетельств [53]. Однако все известные на сегодняшний день катионные формы брома стабилизированы неорганическими лигандами, и получены в высокоэлектрофильной среде [43, 65]. Возможно, ДМФА при обычных условиях недостаточно инертен для роли стабилизирующего Br+-лиганда, как в гипотетическом катионе XXI. Эта простая схема (преддиссоциация/гетеролиз Br2) не учитывает ускоряющее действие света.
Гомолиз связи Br–Br. Радикалы брома вездесущи [66], их появление можно без особого риска предполагать в любой системе, где наличествуют бромсодержащие соединения и дневной свет. Однако радикалы любой природы в реакциях с альдегидами преимущественно атакуют sp3-гибридный углерод [67], за нечастыми исключениями. Участие диалкилкарбамоильных радикалов неоднократно предполагалось или декларировалось [68], особенно часто в окислительных условиях, следуя стратегии «переноса одного атома водорода» (hydrogen atom transfer, HAT [69]). В отсутствие основания окисление ДМФА до реакционноспособного радикала затрагивает исключительно N-метильную группу [2]. Таким образом, схеме с первой стадией – гомолизом молекулы Br2 – противоречат селективность реакции с бромом и высокая скорость процесса.
Согласованный отрыв протона и перенос электрона. Более сложная схема учитывает роль воды и автокатализ. Предположительно на первой стадии/стадиях образуется тройной комплекс из молекулы ДМФА, Br2 и основания B; роль основания могут выполнять вторая молекула ДМФА [5–7], молекула воды, бромид-анион.
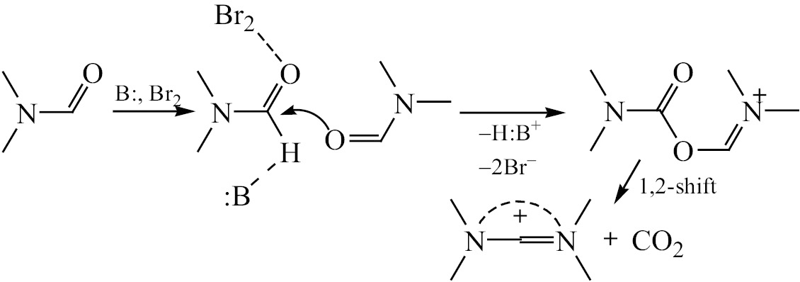
Ключевой стадией является атака второй молекулы ДМФА как О-нуклеофила по карбонильной группе тройного комплекса, в которой происходит согласованное окисление молекулы ДМФА в составе комплекса (перенос двух электронов) – отрыв протона – присоединение второй молекулы ДМФА с образованием катиона XXIII. Механизм согласованного отрыва протона и переноса электрона (proton coupled electron transfer, PCET) успешно объясняет протекание реакций, для которых раздельный перенос электрона и атома водорода выглядят термодинамически затруднительными [70]. В следующей стадии (необязательно реализуемой) происходит 1,2-сигма-сдвиг диметиламиногруппы [71] с выбросом молекулы CO2, что приводит к катиону N,N,N′,N′-тетраметилформамидиния XXV (в виде соли 3 с дибромбромат-анионом, схема 2). Образующийся при отрыве протона HBr с избытком брома и ДМФА образует дибромбромат 2. Принципиальное отличие схемы PCET от двух предыдущих заключается в стадии образования тройного комплекса типа XIII–XX, предшествующей окислению (переносу электрона). По совокупности наблюдений и расчетов, эта схема представляется наиболее вероятной для изучаемой реакции брома и ДМФА.
Схема 2
ВЫВОДЫ
Для самопроизвольно протекающей реакции ДМФА с бромом изучены некоторые количественные закономерности, предложена схема превращений, рассчитаны молекулярное и электронное строение предполагаемых промежуточных и выделенных конечных продуктов. Наиболее вероятная схема превращений включает ряд молекулярных комплексов и ионных интермедиатов. Связывание в комплексах брома и ДМФА обеспечивается сочетанием галогеновой и водородной связей, с величинами электронной плотности (а также плотности потенциальной и кинетической энергии) в критических точках, типичными для этих связей (в ряде случаев – менее общепринятого критерия 0.01 а. е.). Перенос заряда, часто декларируемый как движущая сила комплексообразования, является следствием образования комплекса, а не причиной. Расчетные энтальпии образования катиона бис(N,N-диметилформамид)водорода и дибромбромат-аниона хорошо согласуются с экспериментальными оценками энтальпии образования этих катиона и аниона в газовой фазе. Связывание в катионе бис(N,N-диметилформамид)водорода обеспечивается водородной связью (двумя О···Н), связывание в дибромбромат-анионе – галогеновой связью Br···Br. Специфические характеристики распределения электронной плотности, плотности потенциальной и кинетической энергии электронов в этих контактах объясняют эффективность связывания в сочетании с легкостью обмена лигандами (высокой скоростью образования и распада). Дибромбромат бис(N,N-диметилформамид)водорода обладает рядом уникальных свойств: представляет собой своеобразного химического монстра, состроенного из двух гипервалентных частиц – катиона [4-H-2] и аниона [10-Br-2]. При обычных условиях это соединение ведет себя как каноничная ионная жидкость, совмещающая высокую вязкость с высокой собственной электропроводностью. В отличие от абсолютного большинства ионных жидкостей, это солеобразное соединение перегоняется без разложения в сравнительно неглубоком вакууме при сравнительно невысокой температуре.
ЭКСПЕРИМЕНТАЛЬНАЯ ЧАСТЬ
Растворители для физико-химических измерений (метанол, ацетонитрил, хлороформ) очищали от восстанавливающих примесей, как описано ранее [34, 53]. Другие коммерчески доступные органические растворители использовались в синтезе без дополнительной очистки. Воду для финальных операций дважды перегоняли, ее характеристики приведены в [72]. Бром фильтровали от механических примесей и перегоняли, отбирая среднюю фракцию с т. кип. 56–59°С. ДМФА очищали обычными методами [73], для экспериментов в безводных условиях перегоняли непосредственно перед проведением опыта, отбирая среднюю фракцию в пределах 0.5°С. Выделяющийся в ходе реакции СО2 собирали над слоем воды.
Рутинные спектры 1Н и 13С записаны на спектрометре Bruker Avance II (400 МГц для 1Н) с использованием стандартного набора параметров при 24°С, внутренний стандарт – тетраметилсилан (для CDCl3), внешний стандарт – (CD3)2C=O (для растворов в CHCl3). Спектры УФ записаны на спектрометре Specord M40. Спектры ИК записаны для образцов в тонкой пленке между пластинками бромида калия. Измерения электропроводности проведены как описано в работе [53], в двухэлектродной ячейке с гладкими (неплатинированными) электродами, калиброванной по раствору хлорида калия, константа ячейки 0.179 см–1.
Газохроматографические определения произведены на приборе ЛХМ-8МД, газ-носитель – гелий, детектор по теплопроводности. Для анализа ДМФА неподвижная фаза – Versamid 900, температура колонок – 170°C, испарителя – 200°C, катарометра – 260°C. Для углекислого газа колонки 3×1000 мм заполнены активированным углем АГ-3, температура колонок – 70°C, испарителя – 120°C, катарометра – 80°C. Содержание бромид-аниона и дибромбромат-аниона определяли методом аргентометрического титрования. Определение дибромбромат-аниона основано на реакции с ацетоном: в отсутствие других восстановителей из 1 моля дибромбромат-аниона образуется 2 моля бромид-ионов. Реакция протекает быстро, количественно и необратимо. Результаты таких определений для аналитически чистых образцов хорошо согласуются с результатами элементного анализа, проведенного методом сжигания.
Реакция ДМФА с бромом в присутствии воды (типичный опыт). К ДМФА (4.70 г, 6.43·10–2 моль) приливали воду (1.20 г, 6.67·10–2 моль), затем нагревали до 100°C и прибавляли по каплям бром (10.90 г, 6.82·10–2 моль) с такой скоростью, чтобы температура не поднималась выше 88°C. Выделяющийся газ собирали над слоем воды (всего 360 мл или 323 мл при пересчете на н. у., 1.45·10–2 моль). По окончании (12 мин) смесь нагревали при 100°C еще 30 мин. Из реакционной массы отгоняли летучие компоненты в вакууме водоструйного насоса, затем в вакууме масляного насоса с азотной ловушкой в интервале 76–81°C отгоняли дибромбромат бис(диметилформамид)водорода. Выход 7.70 г (1.99·10–2 моль), красное масло, при повторной перегонке т. кип. 72–74°C (0.05 мм рт. ст.). Спектр ЯМР 1Н (CDCl3), d, м. д.: 17.8 с (1Н), 8.37 с (2Н), 3.28 с (6Н), 3.10 с (6Н). Найдено, %: С 18.76; Н 4.36; N 7.44; Br 59.27. C6H15Br3N2O2. Вычислено, %: С 18.63; Н 3.91; N 7.24; Br 61.96.
Кубовый остаток растворяли в этаноле (6 мл) и высаживали диэтиловым эфиром (20 мл). Получили гидробромид диметиламина в виде белого твердого вещества (1.40 г, 1.11·10–2 моль). После перекристаллизации из этанола т. пл. 134–136°C. Аргентометрически определенное содержание бромид-иона 63.3% (теор.: 63.42%). Спектр ЯМР 1Н (CDCl3), d, м. д.: 2.68 т (3J 6.0 Гц).
Реакция ДМФА с бромом в отсутствие воды (типичный опыт). К ДМФА (4.75 г, 6.50·10–2 моль), нагретому до 100°C, прибавляли по каплям бром (10.80 г, 6.68·10–2 моль) с такой скоростью, чтобы температура не поднималась выше 103°C (25 мин). За это время выделилось 46 мл газа. Смесь нагревали при 90–100°C еще 50 мин; за это время выделилось еще 24 мл газа. При осторожном нагревании в вакууме масляного насоса с азотной ловушкой (30–70°C, 0.05 мм рт. ст.) из реакционной массы возгоняли твердое оранжевое вещество, предположительно дибромбромат 2-метил-2-азониапропен-1-ил-N,N-диметилкарбамата (2.25 г, 5.85·10–3 моль). По результатам аргентометрического титрования продуктов реакции с ацетоном, содержание аниона [Br–Br–Br]– 61.58%, для C6H13Br3N2O2 рассчитано 62.28%. При дальнейшем нагревании (72–80°C, 0.05 мм рт. ст.) из реакционной массы отгоняли жидкий дибромбромат бис(диметилформамид)водорода (6.50 г, 1.68·10–2 моль). В кубе оставалось красное твердое вещество – дибромбромат N,N,N′,N′-тетраметилформамидиния (1.35 г, 3.96·10–3 моль). После перекристаллизации из метанола получили красные кристаллы, т. пл. 82–84°C. Спектр ЯМР 1Н (CDCl3), d, м. д.: 7.72 с (1Н), 3.42 с (6Н), 3.35 с (6Н). Определенное аргентометрически содержание аниона [Br–Br–Br]– 71.6%, для C5H13Br3N2 рассчитано 70.32%. Найдено, %: С 17.65; Н 3.86; N 7.35; Br 66.24. C5H15Br3N2. Вычислено, %: С 17.62; Н 3.84; N 8.22; Br 70.32.
Реакция дибромбромата 2-метил-2-азониапропен-1-ил-N,N-диметилкарбамата с метанолом. В двугорлую колбу, соединенную с газоотводной трубкой, помещали свежеполученный неочищенный дибромбромат 2-метил-2-азониапропен-1-ил-N,N-диметилкарбамата (2.80 г, 7.27·10–3 моль), затем приливали ~0.5 мл метанола. Дибромбромат 2-метил-2-азониапропен-1-ил-N,N-диметилкарбамата быстро растворялся, смесь разогревалась с выделением СО2 (114 мл, 5.18·10–3 моль). Из реакционной массы отгоняли летучие компоненты в вакууме водоструйного насоса, остаток (2.65 г) растворяли в метаноле (5 мл) и выдерживали сутки в морозильной камере. Выпавший осадок дибромбромата N,N,N′,N′-тетраметилформамидиния отфильтровывали и сушили. Выход 1.10 г.
Дибромбромат бис(N,N-диметилформамид)водорода (встречный синтез). В колбу помещали N,N-диметилформамид (11.0 мл, 10.40 г, 0.142 моль) и подавали газообразный бромистый водород до увеличения массы 11.6 г (0.141 моль). Смесь затвердевала, затем приливали бром (12.00 г, 7.51·10–2 моль) и полученную смесь перегонали. Выход 24.50 г (6.33·10–2 моль, 89% в пересчете на исходный диметилформамид).
Tеоретические расчеты выполнены с использованием пакета ORCA 5.0.3 [74] в рамках теории функционала плотности (DFT). Для полной оптимизации геометрии без ограничений по симметрии использовали сочетание полноэлектронного валентно-расщепленного базиса DGauss-DZVP с добавлением поляризационных функций [75] и гибридного функционала ωB97X-V [76] с разделением по диапазонам и поправкой на дисперсию VV10 [77]. Базис DGauss-DZVP оптимизирован для DFT-расчетов соединений с тяжелыми атомами (версия 0, получена из базы данных базисных наборов [78]). Функционал ωB97X-V протестирован на большом наборе данных референсной базы GMTKN55 и рекомендован в исследовании [79, 80] как один из лучших гибридных функционалов для общей термохимии, кинетики, внутри- и межмолекулярных нековалентных взаимодействий, включая галогеновые связи и взаимодействия с ионными частицами.
Для всех оптимизированных структур на том же уровне были рассчитаны частоты гармонических колебаний в целях подтверждения истинности минимумов потенциальной энергии (отрицательных значений не обнаружено) и определения термических поправок к энтальпии (H) и энергии Гиббса (G) при 298 K и 1 атм. Термохимические характеристики комплексообразования вычисляли как разницу соответствующих энергий комплекса и суммы энергий несвязанных мономеров в их равновесных геометриях, например, для энергии комплексообразования ΔESCF:
ΔESCF = ESCF,complex – S(ESCF,acceptor + ESCF,donor).
Параметр молекулярной планарности [81] рассчитан как корень квадратный из суммы квадратов расстояний n-ого атома до средней для всех n атомов плоскости, деленный на корень квадратный из числа атомов в плоскости. Для расчета МЭП и анализа электронной плотности (RDG, ELF, LOL) в рамках квантовой теории атомов в молекулах (QTAIM) использовали пакет Multiwfn v.3.8 [82, 83], для визуализации результатов – пакеты VMD [84] и Mercury [85].
ИНФОРМАЦИЯ ОБ АВТОРАХ
Михайлов Василий Александрович, ORCID: https://orcid.org/0000-0002-4184-1805
ФИНАНСОВАЯ ПОДДЕРЖКА
Работа выполнена при поддержке Министерства науки и высшего образования Российской Федерации (грант FRES 2023-0001).
КОНФЛИКТ ИНТЕРЕСОВ
Авторы заявляют об отсутствии конфликта интересов.
ДОПОЛНИТЕЛЬНЫЕ МАТЕРИАЛЫ
Дополнительные материалы для этой статьи доступны по doi 10.31857/S0044460X24010022 для авторизованных пользователей.
About the authors
O. M. Zarechnaya
L. M. Litvinenko Institute of Physical Organic and Coal Chemistry
Email: v_mikhailov@yahoo.com
Russian Federation, Donetsk
V. A. Mikhailov
L. M. Litvinenko Institute of Physical Organic and Coal Chemistry
Author for correspondence.
Email: v_mikhailov@yahoo.com
ORCID iD: 0000-0002-4184-1805
Russian Federation, Donetsk
References
- Izutsu K. Electrochemistry in Nonaqueous Solutions. Weinheim: Wiley-VCH, 2010. P. 18.
- Rudd E.J., Finkelstein M., Ross S.D. // J. Org. Chem. 1972. Vol. 37. P. 1763. doi: 10.1021/jo00976a021
- Schultz G., Hargittai I. // J. Phys. Chem. 1993. Vol. 97. P. 4966. doi: 10.1021/j100121a018
- Katayama M., Komori K., Ozutsumi K., Ohtaki H. // Z. Phys. Chem. 2009. Vol. 218. P. 659. doi: 10.1524/zpch.218.6.659.33452
- Ratajczyk P., Sobczak S., Katrusiak A. // Cryst. Growth Des. 2019. Vol. 19. P. 896. doi: 10.1021/acs.cgd.8b01452
- Shastri A., Das A.K., Krishnakumar S., Singh P.J., Raja Sekhar B.N. // J. Chem. Phys. 2017. Vol. 147. art. 224305. doi: 10.1063/1.5006126
- Sałdyka M., Mielke Z., Haupa K. // Spectrochim. Acta (A). 2018. Vol. 190. P. 423. doi: 10.1016/j.saa.2017.09.046
- Basma N., Cullen P.L., Clancy A.J., Shaffer M.S.P., Skipper N.T., Headen T.F., Howard C.A. // Mol. Phys. 2019. Vol. 117. P. 3353. doi: 10.1080/00268976.2019.1649494
- Hunter E.P.L., Lias S.G. // J. Phys. Chem. Ref. Data. 1998. Vol. 27. P. 413. doi: 10.1063/1.556018
- Meot-Ner M. // J. Am. Chem. Soс. 1984. Vol. 106. P. 278. doi: 10.1021/ja00314a003
- Adelman R.L. // J. Org. Chem. 1964. Vol. 29. P. 1837. doi: 10.1021/jo01030a041
- Cilense M.F., Benedetti A.V., Vollet D.R. // Thermochim. Acta. 1983. Vol. 63. P. 151. doi: 10.1016/0040-6031(83)80080-X
- Kuhn S.J., McIntyre J.S. // Can. J. Chem. 1965. Vol. 43. P. 995. doi: 10.1139/v65-134
- Tsubomura H., Lang R.P. // J. Am. Chem. Soc. 1961. Vol. 83. P. 2085. doi: 10.1021/ja01470a013
- Laurence C., Graton J., Berthelot M., El-Ghomari M.J. // Chem. Eur. J. 2011. Vol. 17. P. 10431. doi: 10.1002/chem.201101071
- Guiheneuf G., Abboud J.-L.M., Lachkar A. // Can. J. Chem. 1988. Vol. 66. P. 1032. doi: 10.1139/v88-171
- Matsui Y., Date Y. // Bull. Chem. Soc. Japan. 1970. Vol. 43. P. 2828. doi: 10.1246/bcsj.43.2828
- Yao Y., Zhao K., Zhuang Y., Chen X., Lu Y., Liu Y. // Chem. Open. 2022. Vol. 11. e202100301. doi: 10.1002/open.202100301
- Orefice M., Eldosouky A., Škulj I., Binnemans K. // RSC Adv. 2019. Vol. 9. P. 14910. doi: 10.1039/C9RA01696A
- Михайлов В.А. // Укр. хим. ж. 1990. Vol. 56. P. 765.
- Bader R.F.W. // J. Phys. Chem. (A). 1998. Vol. 102. P. 7314. doi: 10.1021/jp981794v
- Espinosa E., Alkorta I., Elguero J., Molins E. // J. Chem. Phys. 2002. Vol. 117. P. 5529. doi: 10.1063/1.1501133
- Boto R.A., Contreras-García J., Tierny J., Piquemal J.-P. // Mol. Phys. 2015. P. 1. doi: 10.1080/00268976.2015.1123777
- Politzer P., Murray J. In: Chemical Reactivity in Confined Systems / Eds P.K. Chattaraj, D. Chakraborty. Wiley, 2021. P. 113. doi: 10.1002/9781119683353.ch7
- Becke A.D., Edgecombe K.E. // J. Chem. Phys. 1990. Vol. 92. P. 5397. doi: 10.1063/1.458517
- Schmider H.L., Becke A.D. // J. Mol. Struct. 2000. Vol. 527. P. 51. doi: 10.1016/S0166-1280(00)00477-2
- Koch U., Popelier P.L.A. // J. Phys. Chem. 1995. Vol. 99. P. 9747. doi: 10.1021/j100024a016
- Mata I., Alkorta I., Espinosa E., Molins E. // Chem. Phys. Lett. 2011. Vol. 507. P. 185. doi: 10.1016/j.cplett.2011.03.055
- Matta C.F., Hernández-Trujillo J., Tang T., Bader R.F.W. // Chem. Eur. J. 2003. Vol. 9. P. 1940. doi: 10.1002/chem.200204626
- Della Porta P., Zanasi R., Monaco G. // J. Comput. Chem. 2015. Vol. 36. P. 707. doi: 10.1002/jcc.23841
- Silvi B., Alikhani M.E., Ratajchak H. // J. Mol. Model. 2020. Vol. 26. art.62. doi: 10.1007/s00894-019-4283-1
- Alkorta I., Silva A.F., Popelier P.L.A. // Molecules. 2020. Vol. 25. art. 2674. doi: 10.3390/molecules25112674
- Kazama H., Tsushima S., Takao K. // Cryst. Growth Des. 2019. Vol. 19. P. 6048. doi: 10.1021/acs.cgd.9b01214
- Дорохова Т.В., Михайлов В.А., Каниболоцкий А.Л., Прокопьева Т.М., Савелова В.А., Попов А.Ф. // ТЭХ. 2008. Т. 44. С. 298; Dorokhova T.V., Mikhailov V.A., Kanibolotskii A.L., Prokop’eva T.M., Savelova V.A., Popov A.F. // Theor. Exp. Chem. 2008, Vol. 44. P. 307. doi: 10.1007/s11237-008-9042-9
- Ruasse M.-F., Aubard J., Galland B., Adenier A. // J. Phys. Chem. 1986. Vol. 90. P. 4382. doi: 10.1021/j100409a034
- Zundel G. // Angew. Chem. Int. Ed. 1969. Vol. 8. P. 499. doi: 10.1002/anie.196904991
- Fuoss R.M., Kraus C.A. // J. Am. Chem. Soc. 1933. Vol. 55. P. 476. doi: 10.1021/ja01329a006
- Agmon N., Bakker H.J., Campen R.K., Henchman R.H., Pohl P., Roke S., Thamer M., Hassanali A. // Chem. Rev. 2016. Vol. 116. P. 7642. doi: 10.1021/acs.chemrev.5b00736
- Haller H., Ellwanger M., Higelin A., Riedel S. // Angew. Chem. Int. Ed. 2011. Vol. 50. P. 11528. doi: 10.1002/anie.201105237
- Gully T.A., Voßnacker P., Schmid J.R., Beckers H., Riedel S. // ChemistryOpen. 2021. Vol. 10. P. 255. doi: 10.1002/open.202000263
- Yuan W., Yang X., He L., Xue Y., Qin S., Tao G. // Front. Chem. 2018. Vol. 6. Art. 59. doi: 10.3389/fchem.2018.00059
- Perkins C.W., Martin J.C., Arduengo A.J., Lau W., Alegria A., Kochi J.K. // J. Am. Chem. Soc. 1980. Vol. 102. P. 7753. doi: 10.1021/ja00546a019
- Ivlev S.I., Gaul K., Chen M., Karttunen A.J., Berger R., Kraus F. // Chem. Eur. J. 2019. Vol. 25. P. 5793. doi: 10.1002/chem.201900442
- Alder R.W., Blake M.E., Bufali S., Butts C.P., Orpen A.G., Schütz J., Williams S.J. // J. Chem. Soc. Perkin Trans. 1. 2001. Vol. 14. P. 1586. doi: 10.1039/B104110J
- Wlodarczyk J.K., Küttinger M., Friedrich A.K., Schumacher J.O. // J. Power Sources. 2021. Vol. 508, art. 230202. doi: 10.1016/j.jpowsour.2021.230202
- Xu Y., Xie C., Li X. // Trans. Tianjin Univ. 2022. Vol. 28. P. 186. doi: 10.1007/s12209-022-00327-w
- Huber K.P., Herzberg G. Molecular Spectra and Molecular Structure. IV. Constants of Diatomic Molecules. New York: Van Nostrand Reinhold Co., 1979.
- Powell B.M., Heal K.M., Torrie B.H. // Mol. Phys. 1984. Vol. 53. P. 929. doi: 10.1080/00268978400102741
- Császár A.G., Czakó G., Furtenbacher T., Tennyson J., SzalayV., Shirin S.V., Zobov N.F., Polyansky O.L. // J. Chem. Phys. 2005. Vol. 122. Art. no. 214305. doi: 10.1063/1.1924506
- Graner G., Rossetti C., Bailly D. // Mol. Phys. 1986. Vol. 58. P. 627. doi: 10.1080/00268978600101431
- Nemec V., Fotović L., Vitasović T., Cinčić D. // CrystEngComm. 2019. Vol. 21. P. 3251. doi: 10.1039/C9CE00340A
- Jones R.H., Knight K.S., Marshall W.G., Coles S.J., Horton P.N., Pitak M.B. // CrystEngComm. 2013. Vol. 15. P. 8572. doi: 10.1039/C3CE41472H
- Suponitsky K.Yu., Burakov N.I., Кanibolotsky A.L., Mikhailov V.A. // J. Phys. Chem. (A). 2016. Vol. 120. P. 4179. doi: 10.1021/acs.jpca.6b02192
- Zarechnaya O.M., Anisimov A.A., Belov E.Yu., Burakov N.I., Kanibolotsky A.L., Mikhailov V.A. // RSC Adv. 2021. Vol. 11. P. 6131. doi: 10.1039/D0RA08165E
- Saunders L.K., Pallipurath A.R., Gutmann M.J., Nowell H., Zhang N., Allan D.R. // CrystEngComm. 2021. Vol. 23. P. 6180. doi: 10.1039/D1CE00355K
- Pichierri F. // Chem. Phys. Lett. 2011. Vol. 515. P. 116. doi: 10.1016/j.cplett.2011.09.003
- Boer F.P. // J. Am. Chem. Soc. 1966. Vol. 88. P. 1572. doi: 10.1021/ja00959a059
- Hussain M.S., Schlemper E.O. // J. Chem. Soc. Dalton Trans. 1980. Vol. 35. P. 750. doi: 10.1039/DT9800000750
- Stuart D., Wetmore S.D., Gerken M. // Angew. Chem. 2017. Vol. 129. P. 16598. doi: 10.1002/ange.201710263
- Allen F.H., Watson D.G., Brammer L., Orpen A.G., Taylor R. // Int. Tables Cryst. 2006. Vol. C. P. 790. doi: 10.1107/97809553602060000621
- Molčanov K., Jelsch C., Wenger E., Stare J., Madsen A.Ø., Kojić-Prodić B. // CrystEngComm. 2017. Vol. 19. P. 3898. doi: 10.1039/C7CE00501F
- Keil H., Sonnenberg K., Muller C., Herbst-Irmer R., Beckers H., Riedel S., Stalke D. // Angew. Chem. Int. Ed. 2021. Vol. 60. P. 2569. doi: 10.1002/anie.202013727
- Sonnenberg K., Mann L., Redeker F.A., Schmidt B., Riedel S. // Angew. Chem. Int. Ed. 2020. Vol. 59. P. 5464. doi: 10.1002/anie.201903197.
- Nizzi K. E., Pommerenning C.A., Sunderlin L. // J. Phys. Chem. (A). 1998. Vol. 102. P. 7674. doi: 10.1021/JP9824508
- Christe K.O., Bau R., Zhao D. // Z. anorg. allg. Chem. 1991. Vol. 593. P. 46. doi: 10.1002/Zaac.19915930106
- Wang H., Liu H., Wang M., Huang M., Shi X., Wang T., Cong X., Yan J., Wu J.// Iscience. 2021. Vol. 24. N. 6. Art. 102693. doi: 10.1016/j.isci.2021.102693
- Saikia I., Borah A.J., Phukan P. // Chem. Rev. 2016. Vol. 116. P. 6837. doi: 10.1021/acs.chemrev.5b00400
- Beato E.P., Mazzarella D., Balletti M., Melchiorre P. // Chem. Sci. 2020. Vol. 11. P. 6312. doi: 10.1039/D0SC02313B
- Talukdar R. // Org. Biomol. Chem. 2020. Vol. 18. P. 8294. doi: 10.1039/D0OB01652G
- Mayer J.M. // J. Am. Chem. Soc. 2023. Vol. 145. P. 7050. doi.org/10.1021/jacs.2c10212
- Lowry T.H., Richardson K.S. Mechanism and Theory in Organic Chemistry. HarperCollins, 1987. P. 425.
- Zabolotniy A.A., Trush E.N., Zarechnaya O.M., Mikhailov V.A. // J. Ionic Liq. 2022. Vol. 2. Art. 100045. doi: 10.1016/j.jil.2022.100045
- Juillard J. In: Recommended Methods for Purification of Solvents and Tests for Impurities / Ed. J.F. Coetzee. Pergamon, 1982.
- Neese F., Wennmohs F., Becker U., Riplinger C. // J. Chem. Phys. 2020. Vol. 152. Art. 224108. doi: 10.1063/5.0004608
- Godbout N., Salahub D.R., Andzelm, J., Wimmer E. // Can. J. Chem. 1992. Vol. 70. P. 560. doi: 10.1139/v92-079
- Mardirossian N., Head-Gordon M. // Phys. Chem. Chem. Phys. 2014. Vol. 16. P. 9904. doi: 10.1039/C3CP54374A
- Vydrov O.A., Van Voorhis T. // J. Chem. Phys. 2010. Vol. 133. Art. 244103. doi: 10.1063/1.3521275.
- Pritchard B.P., Altarawy D., Didier B.T., Gibson T.D., Windus T.L. // J. Chem. Inf. Model. 2019. Vol. 59. P. 4814. doi: 10.1021/acs.jcim.9b00725; www.basissetexchange.org
- Goerigk L., Hansen A., Bauer C., Ehrlich S., Najibi A., Grimme S. // Phys. Chem. Chem. Phys. 2017. Vol. 19. P. 32184. doi: 10.1039/C7CP04913G
- Goerigk L., Mehta N. // Aus. J. Chem. 2019. Vol. 72. P. 563. doi: 10.1071/CH19023
- Lu T., Chen F. // J. Comput. Chem. 2012. Vol. 33. P. 580. doi: 10.1002/jcc.22885
- Zhang J., Lu T. // Phys. Chem. Chem. Phys. 2021. Vol. 23. P. 20323. doi: 10.1039/D1CP02805G
- Lu T. // J. Mol. Model. 2021. Vol. 27. P. 263. doi: 10.1007/s00894-021-04884-0
- Humphrey W., Dalke A., Schulten K. // J. Mol. Graphics. 1996. Vol. 14. P. 33. doi: 10.1016/0263-7855(96)00018-5
- Macrae C.F., Sovago I., Cottrell S.J., Galek P.T.A., McCabe P., Pidcock E., Platings M., Shields G.P., Stevens J.S., Towler M., Wood P.A. // J. Appl. Cryst. 2020. Vol. 53. P. 226. doi: 10.1107/S1600576719014092
Supplementary files












