Влияние разных видов дрожжей на продолжительность жизни и плодовитость Drosophila melanogaster
- Авторы: Яковлева Е.Ю.1, Максимова И.А.2, Мерзликин Д.С.1, Качалкин А.В.2,3, Марков А.В.4
-
Учреждения:
- Московский государственный университет им. М. В. Ломоносова
- Московский государственный университет им. М.В. Ломоносова
- Институт биохимии и физиологии микроорганизмов им. Г. К. Скрябина РАН
- Палеонтологический институт им. А. А. Борисяка РАН
- Выпуск: Том 85, № 3 (2024)
- Страницы: 165-186
- Раздел: (воспроизводится в журнале “Current Contents”)
- URL: https://bakhtiniada.ru/0044-4596/article/view/265870
- DOI: https://doi.org/10.31857/S0044459624030013
- EDN: https://elibrary.ru/vdkrhe
- ID: 265870
Цитировать
Полный текст
Аннотация
В ряде исследований показано, что микробиота влияет на параметры жизненного цикла Drosophila melanogaster. В частности, рост бактериальной нагрузки снижает продолжительность жизни, но может приводить к росту плодовитости. Влияние дрожжевой микробиоты, ключевого источника пищи дрозофил, на параметры жизненного цикла изучено значительно меньше. В настоящей работе мы оценили влияние естественной дрожжевой микробиоты, а также отдельных видов дрожжей на продолжительность жизни, возрастную динамику плодовитости и смертности в контрольной линии мух и линии мух с обедненной дрожжевой микробиотой. В тестировании использовались дрожжи Starmerella bacillaris, Zygosaccharomyces bailii и Saccharomyces cerevisiae. Показано, что при культивировании мух на стандартном богатом корме снижение количества симбиотических дрожжей, как на субстрате, так и на поверхности тела и в кишечнике мухи, ведет к росту средней продолжительности жизни и снижению плодовитости. Это согласуется с гипотезой “одноразовой сомы”. При этом рост продолжительности жизни не компенсирует снижение плодовитости, поэтому снижение численности дрожжей ведет к снижению итоговой приспособленности мух. Подсев дрожжей S. cerevisiae на корм смещает репродукцию контрольной линии на более ранний возраст, тогда как два других вида дрожжей существенно повышают плодовитость. Подсев на корм дрожжей S. bacillaris и S. cerevisiae, не характерных для микробиоты тестируемых линий мух, снижает продолжительность жизни сильнее, чем дрожжи Z. bailii, типичные для микробиоты контрольной линии. Дрожжевая микробиота сокращает продолжительность жизни самцов дрозофил значимо сильнее, чем самок. Результаты указывают на глубокие коэволюционные взаимосвязи компонентов дрожжевой микробиоты с организмом хозяина, требующие дальнейшего исследования с позиции хологеномной эволюционной теории.
Полный текст
Симбиоз многоклеточных и одноклеточных организмов – факт давно известный, но его важность в эволюционном контексте была осознана сравнительно недавно. О симбионтах, передаваемых по наследству (hereditary symbiosis), как о важном факторе видообразования и появления эволюционных новшеств (наряду с наследуемыми мутациями) высказались Линн Маргулис и Рене Фестер в книге “Симбиоз как источник эволюционных инноваций: видообразование и морфогенез” (“Symbiosis as a Source of Evolutionary Innovation: Speciation and Morphogenesis”) (Margulis, Fester, 1991). В настоящее время этот спектр идей носит название хологеномной эволюционной теории (hologenome theory of evolution) (Zilber-Rosenberg, Rosenberg, 2008; Rosenberg et al., 2009; Bordenstein, Theis, 2015; Simon et al., 2019). Согласно поисковой системе PubMed, данный термин впервые упоминается в работе 2007 г., посвященной роли микроорганизмов в приспособленности кораллов (Rosenberg et al., 2007).
Главная идея концепции состоит в том, что в качестве единицы отбора необходимо рассматривать хологеном – макроорганизм и ассоциированную с ним микробиоту, так как эволюционные изменения макроорганизмов могут быть связаны не только с изменением генофонда популяции, но и с изменениями состава и структуры микробиома или с изменениями в геномах симбионтов, которые позволяют хозяину адаптироваться к изменяющимся условиям (Currie et al., 2006; Anbutsu et al., 2017).
В настоящее время уделяется большое внимание изучению роли симбиотической микробиоты в онтогенезе и эволюции многоклеточных организмов (McFall-Ngai, 2002; Rosenberg et al., 2007; Douglas, 2018a). Мухи Drosophila melanogaster являются удобным модельным объектом для таких исследований. Известно, что микробиота передается по наследству путем поедания потомками субстрата, на котором ранее кормились их родители (Blum et al., 2013). В многочисленных экспериментах показано, что симбиотическая микробиота играет важную роль в жизни дрозофил как на личиночной стадии, так и на стадии имаго (Starmer, 1981; Starmer et al., 1986; Storelli et al., 2011; Ridley et al., 2012; Дмитриева и др., 2016; Панченко и др., 2017; Ивницкий и др., 2018; Klepsatel et al., 2018). Микробиота содержится не только в пищеварительном тракте мухи, но и на поверхности тела, и важна не только для питания и пищеварения (Cooper, 1960; Ryu et al., 2010; Ridley et al., 2012), но и влияет на выживание, иммунитет, устойчивость к токсинам, темпы личиночного развития и эффективность использования питательных веществ (Blum et al., 2013; Erkosar et al., 2013; Sannino et al., 2018; Kosakamoto et al., 2020; Chandler et al., 2022; Onuma et al., 2023). Микробиота оказывает влияние даже на поведение (Schretter et al., 2018), в том числе при выборе брачного партнера (Markov et al., 2009; Sharon et al., 2010; Leftwich et al., 2018). В ряде исследований показано, что ассоциированная микробиота меняется с возрастом (Ren et al., 2007; Claesson et al., 2011; Smith et al., 2017; Lee et al., 2019; Dmitrieva et al., 2021), влияет на продолжительность жизни (ПЖ) и возрастную динамику плодовитости и смертности (Starmer, 1981; Starmer et al., 1986; Chippindale et al., 1993; Brummel et al., 2004; Anagnostou et al., 2010; Дмитриева и др., 2016; Панченко и др., 2017; Ивницкий и др., 2018; Gould et al., 2018; Klepsatel et al., 2018; Dmitrieva et al., 2019; Arias-Rojas, Iatsenko, 2022; Zhang et al., 2023).
В основном работы, изучающие разные аспекты влияния микробиоты на ПЖ дрозофил, сфокусированы на ее бактериальной составляющей; причем рассматривается не просто вся бактериальная микробиота, но отдельные ее компоненты (Clark et al., 2015; Gould et al., 2018; Maynard, Weinkove, 2018; Lee et al., 2019, 2022; Matthews et al., 2020, 2021; Arias-Rojas, Iatsenko, 2022). Можно уверенно говорить о пользе, которую многие бактерии, встречающиеся в кишечнике и на кутикуле дрозофил, приносят макроорганизму. Однако подобный эффект нельзя назвать “бесплатным”. Показано, что бактерии снижают ПЖ мух за счет гиперактивации врожденного иммунного ответа по Imd пути, нарушения функции и структуры кишечника (Fast et al., 2018a; Yamashita et al., 2021; Lee et al., 2022). Некоторые признаки старения, такие как накопление аллантоина и снижение активности генов ответа на стресс, оказываются частично обусловлены бактериями (Yamauchi et al., 2020; Shukla et al., 2021). Негативное влияние на ПЖ мух оказывает и бактериальная нагрузка. Чем больше обилие бактерий в организме хозяина, тем сильнее растет его ПЖ при добавлении в пищу антибиотиков (Lee et al., 2019). Изучено влияние отдельных видов бактерий на плодовитость дрозофил (Gould et al., 2018; Matthews et al., 2021).
Известно, что дрожжи являются важным, если не основным, источником питания дрозофил как на личиночной, так и на имагинальной стадиях жизненного цикла (Cooper, 1960; Begon, 1982; Anagnostou et al., 2010), тем не менее влияние дрожжевой микробиоты на параметры жизненного цикла дрозофил изучено слабо. Еще меньше изучено влияние отдельных видов дрожжей. Так, в обширном обзоре Арьяса-Рохаса и Яценко (Arias-Rojas, Iatsenko, 2022), посвященном влиянию микробиоты на старение D. melanogaster, только 2 из 121 процитированной работы затрагивают дрожжевой компонент микробиоты (Yamada et al., 2015; Keebaugh et al., 2019).
В связи с этим в настоящем исследовании основное внимание уделено дрожжевой составляющей. К настоящему времени известно, что численность некоторых видов дрожжей может по-разному влиять на параметры жизненного цикла мух (Chippindale et al., 1993; Anagnostou et al., 2010). Кроме того, дрожжи по-разному влияют на ПЖ мух в зависимости от питательности среды, на которой содержатся дрозофилы (Yamada et al., 2015; Keebaugh et al., 2019). Показано, что у различных видов дрозофил складываются устойчивые взаимоотношения с конкретными видами или группами видов дрожжей в зависимости от состава субстрата или биогеографического распределения видов дрозофил (Starmer et al., 1990).
В эксперименте Чиппиндейла и коллег (Chippindale et al., 1993) исследуется влияние дрожжей на ПЖ, но конкретные виды дрожжей не обозначены. В исследовании Анагносту и соавт. (Anagnostou et al., 2010) изучается влияние дрожжей видов Kluyveromyces lactis, Metschnikowia pulcherrima, Peterozyma toletana (бывш. Pichia toletana) и Saccharomyces cerevisiae на выживаемость и время развития преимагинальных стадий, массу тела мух, но не продолжительность жизни взрослых особей. Кроме того, использованные в исследовании штаммы дрожжей были выделены не из мух, на которых проводилось тестирование.
Только в работах Ямада и Киба (Yamada et al., 2015; Keebaugh et al., 2019) протестировано влияние дрожжей Issatchenkia orientalis (синоним Pichia kudriavzevii), выделенных из мух, на их ПЖ, в качестве контроля были использованы дрожжи S. cerevisiae. Авторы выявили, что дрожжи I. orientalis продлевают мухам жизнь на обедненной диете и сокращают ее на стандартной. Влияние пекарских дрожжей на ПЖ слабо выражено (Keebaugh et al., 2019). В другой работе (Li et al., 2023) авторы изучали влияние на дрозофил мутантных S. cerevisiae с нокаутом отдельных генов из коллекции YKOC и то, как эти дрожжи влияют на сон, активность и продолжительность жизни мух. Выяснилось, что 17% мутантных дрожжей меняют продолжительность жизни дрозофил больше чем на 10%, в сравнении с контрольными S. cerevisiae. И изменения продолжительности жизни были не только в сторону уменьшения, но и в сторону увеличения. Мутации в тех штаммах S. cerevisiae, которые влияли на ПЖ и активность дрозофил, были связаны с генами метаболизма жирных кислот, аминокислот, витамина B6 и т. п., т. е. дрожжи влияют на сон и продолжительность жизни своих хозяев в процессе их обеспечения питательными веществами.
В ходе эволюционного эксперимента, проводимого на кафедре биологической эволюции биологического факультета МГУ, изучается роль микробиоты в адаптации D. melanogaster к различным диетам (Дмитриева и др., 2016; Панченко и др., 2017; Ивницкий и др., 2018; Dmitrieva et al., 2019). Нами было показано, что значимые различия по ПЖ, наблюдаемые в различных линиях мух, главным образом обусловлены не генами мух, а ассоциированной микробиотой (Yakovleva et al., 2023).
В настоящей статье мы рассматриваем влияние микробиоты дрозофил, выделенной из наших лабораторных линий, а также штаммов дрожжей Starmerella bacillaris и Zygosaccharomyces bailii, входящих в ее состав, на ПЖ и динамику плодовитости дрозофил. Такой выбор видов дрожжей позволяет не только оценить их влияние на параметры жизненного цикла, но и понять, зависит ли эффект от того, является ли вид дрожжей типичным для данной линии мух или для дрозофил в целом.
МАТЕРИАЛЫ И МЕТОДЫ
Используемые линии дрозофил и штаммы дрожжей. Исходная популяция мух Drosophila melanogaster Meigen (Diptera, Drosophilidae) произошла от диких особей, пойманных на юго-западе Москвы осенью 2014 г. Экспериментальные популяции, полученные от исходной, содержались при температуре 22–25°C и естественном освещении в боксах из оргстекла, размером 160 × 200 × 200 мм. В каждом боксе находилось 12 открытых цилиндрических стеклянных пробирок (диаметром 22 мм и высотой 100 мм), содержащих по 10 мл корма. Еженедельно в бокс помещали четыре пробирки со свежим кормом и удаляли четыре пробирки, простоявшие в боксе три недели. Также в бокс помещали поилку, представляющую собой пробирку, наполненную водой и закрытую смоченной ватой. Поилку заменяли еженедельно (Yakovleva et al., 2016).
В настоящем исследовании использовано две линии дрозофил:
- Мн – контрольная линия, содержащаяся с 2014 г. в изолированном боксе на стандартном лабораторном корме Н (60 г инактивированных дрожжей, 35 г манной крупы, 50 г сахара, 45 г измельченного изюма, 8 г агара, 2 г пропионовой кислоты на 1 л корма). Сложившуюся дрожжевую микробиоту данной линии мы называем “естественной” в настоящем исследовании;
- Мбд – линия мух с обедненной дрожжевой микробиотой, культивируемая на корме Н с добавлением антимикотического препарата нистатина (2 таблетки 500 тыс. ЕД на 1 л корма). Линия получена в ноябре 2018 г. от линии Мн. Мухи из линии Мн были посажены в пробирки на корм Н с добавлением нистатина, культивировались в пробирках в течение трех месяцев, а далее были переведены на содержание в боксе, аналогично линии Мн.
Помимо естественной микробиоты линии Мн, в работе изучалось влияние следующих отдельных видов дрожжей на параметры жизненного цикла дрозофил:
- Starmerella bacillaris – доминирует в дрожжевом сообществе мух, адаптированных к корму с повышенным содержанием соли (Ивницкий и др., 2018);
- Zygosaccharomyces bailii – доминирует в дрожжевом сообществе мух, культивируемых на стандартном (благоприятном) лабораторном корме;
- Saccharomyces cerevisiae – пекарские дрожжи, используются в качестве контроля, так как редко встречаются у дрозофил как в природе, так и в лабораторных линиях (Hoang et al., 2015), но входят в состав стандартного лабораторного корма в инактивированном виде.
Далее в статье используются обозначения S.b – корм Н, засеянный видом дрожжей S. bacillaris, Z.b – Z. bailii, S.c – S. cerevisiae.
Чистые культуры обозначенных видов дрожжей выделены из линий дрозофил, содержащихся в лаборатории. Более подробно они были описаны в статье С. Б. Ивницкого с соавт. (2018).
Проверка состава дрожжевой микробиоты дрозофил перед началом тестирования (предварительный посев). Перед началом тестирования, для того чтобы убедиться, что в линии Мбд отсутствуют дрожжи, а в линии Мн, наоборот, естественная микробиота присутствует, был произведен микробиологический посев мух. Десять случайным образом выловленных дрозофил из каждой линии обездвиживались углекислым газом и помещались в стерильную центрифужную микропробирку с 1 мл стерильной воды, растирались стерильной стеклянной палочкой, а затем встряхивались в течение 15 мин на вортекс-шейкере Heidolph Multi Reax (Германия) на максимальной скорости (1980 об./мин). Полученная суспензия объемом 50 мкл наносилась на поверхность плотной питательной среды GPYA (глюкоза – 20 г/л, пептон – 10 г/л, дрожжевой экстракт – 5 г/л, агар – 20 г/л) с добавлением антибиотика левомицетина (из расчета 1 г/л), предварительно разлитой в чашки Петри диаметром 85 мм, и растиралась с помощью стерильного шпателя Дригальского. Посев производился в 10-кратной повторности. Чашки с посевами инкубировались в течение 4–5 сут при температуре 20–22°C. Принадлежность выросших колоний микроорганизмов к бактериям или дрожжам определялась по микроморфологии с помощью микроскопа Primo Star (Carl Zeiss, Германия).
Тестирование влияния отдельных компонентов дрожжевой микробиоты на продолжительность жизни и динамику плодовитости дрозофил. Линии мух Мн и Мбд тестировались на корме Н, не содержащем жизнеспособных дрожжей, а также на корме Н, засеянном одним из следующих видов дрожжей: S. bacillaris, Z. bailii или S. cerevisiae. Для приготовления корма Н, засеянного одним из указанных видов дрожжей, использовался 1 мл стерильной воды, в котором разводилась биомасса чистой культуры одного из видов дрожжей объемом 3 мм3. Полученная суспензия встряхивалась в течение 3 мин на вортекс-шейкере Heidolph Multi Reax (Германия) в режиме 1980 об./мин. Готовая суспензия в стерильных условиях наносилась на корм Н из расчета 10 мкл на чашку Петри, диаметром 35 мм, и растиралась стерильным стеклянным шпателем Дригальского. Далее подготовленные чашки Петри заклеивались пленкой Parafilm и в течение 2.5 сут инкубировались при температуре 24–26°C, чтобы дрожжи успели размножиться на поверхности корма.
Когорты мух для тестирования на ПЖ формировались следующим образом. Имаго, выловленные случайно при помощи эксгаустера из линий Мн и Мбд, были посажены по 2 самки и 2 самца на 5 сут в 10 стандартных пробирок с кормом Н (“родители”). Для определения пола мухи обездвиживались холодом. Поколение потомков (F0), полученное из этих пробирок, участвовало в тестах. Выращивание мух в течение одного поколения на одном и том же благоприятном корме Н (без нистатина) проводилось с целью снятия возможных материнских эффектов и прямого влияния нистатина на параметры приспособленности (Mousseau et al., 2009; Markov et al., 2016).
Мух F0, вышедших из куколок в течение трех дней (за это время удавалось накопить достаточное количество мух для тестирования), выпускали в такие же боксы, как и те, в которых ведется эволюционный эксперимент. “Датой рождения” тестируемых мух условно считали второй день трехдневного интервала. Одновременно в боксы выпускали по 115–125 мух. Все тестируемые когорты подготавливали и выпускали в боксы одновременно, это обеспечило синхронное воздействие на них изменений атмосферного давления, влажности, освещенности и других случайных неконтролируемых или частично контролируемых параметров среды. Дизайн эксперимента представлен на рис. 1: в бокс ставили либо по три чашки Петри с кормом Н, либо одну чашку с кормом Н и две чашки с кормом Н, засеянным одним из видов дрожжей. Корм заменяли каждые три дня. Через час после постановки свежего корма в бокс проводили подсчет отложенных яиц. Подсчет умерших мух производили ежедневно вплоть до гибели последней мухи, определяли пол погибших мух. В бокс также помещали поилку – пробирку с водой, закрытую влажной ватой. Для возможности отслеживать случайную контаминацию эксперимента микробиотой извне в тест был включен бокс, содержащий корм Н и поилку, но не содержащий мух (центральный квадрат на рис. 1). С данным боксом проводили те же манипуляции, как и с боксами, в которых содержались мухи.
Рис. 1. Дизайн эксперимента по оценке влияния различных видов дрожжей на продолжительность жизни и плодовитость дрозофил из линий Мн и Мбд.
Посев микробиоты, развивающейся на освоенном мухами корме (контрольный посев). Через семь недель после начала тестирования был произведен посев трехдневного корма из всех вариантов теста с целью контроля развивающейся дрожжевой микробиоты в боксах. Кроме того, для отслеживания возможной контаминации в чистые боксы, не содержащие мух, были поставлены чашки Петри с кормом Н, засеянным каждым из видов дрожжей, используемых в тесте. Через три дня микробиота с данных чашек также исследовалась посевом.
В стерильной пробирке, содержащей 10 мл стерильной воды, разводился корм объемом 3 мм3. Суспензия высевалась по той же методике, как и в предварительном посеве (в 10-кратной повторности на каждый вариант теста). Чашки с посевами инкубировались в течение 4–5 сут при комнатной температуре (20–22°C).
Далее производили подсчет колониеобразующих единиц (КОЕ) дрожжей с помощью бинокулярной лупы (ЛОМО, Россия) в 10 полях зрения, выбранных случайным образом. результаты усредняли и пересчитывали на площадь чашки Петри диаметром 85 мм.
Виды дрожжей, используемые в эксперименте, хорошо различаются по морфологическим признакам, поэтому ДНК-идентификация большинства типов дрожжей, встречающихся на посевах, не проводилась. Колонии, морфологически отличающиеся от всех подсеянных на корм дрожжей, идентифицированы путем анализа нуклеотидных последовательностей ITS региона рДНК, аналогично тому, как описано в работе Дмитриевой с соавт. (Dmitrieva et al., 2023). Полученные последовательности депонированы в базе данных GenBank NCBI под номерами OR462337-OR462340.
Анализ данных. Данные по возрастной динамике смертности представлены в виде кривых выживания – графиков, на которых по оси абсцисс отложен возраст имаго в сутках (от момента выхода из куколки), а по оси ординат – процент особей, доживших до данного возраста. По данным о ПЖ рассчитывается средняя и медианная ПЖ, а также стандартное отклонение, коэффициент вариации (КВ) и квартильный коэффициент вариации (quartile coefficient of dispersion, ККВ): ((Q3 – Q1)/2Me) × 100%, где Q1, Q3 – первый и третий квартили соответственно, Me – медиана (она же второй квартиль) (Francis, 2008) в каждой из подопытных линий без разделения по полу, а также для самок и самцов в отдельности. 95%-ный доверительный интервал для средней ПЖ построен методом бутстрэппинга, так как для некоторых линий данные по ПЖ не описываются нормальным распределением.
Оценку влияния подсева дрожжей, линии мух и пола на ПЖ и среднюю плодовитость проводили путем многофакторного дисперсионного анализа. Поиск значимых различий между линиями проводили с помощью теста Ньюмена–Кейлса (Keuls, 1952), который, в отличие от t-критерия Стьюдента, подходящего только для парных сравнений, учитывает проблему множественных проверок статистических гипотез (multiple comparisons problem), но в отличие от теста Тьюки (Tukey, 1949) более мощный и менее консервативный. Большинство рядов данных, представленных в исследовании, распределены нормально (проверено с помощью критерия Шапиро–Уилка), однако критерий Ньюмена–Кейлса устойчив к нарушениям данного требования.
Чтобы оценить, по-разному ли на среднюю ПЖ самцов и самок влияет подсев дрожжей, данные по ПЖ мух, живущих на корме с подсевами, были нормированы на среднюю ПЖ мух (соответствующего пола), живущих на корме Н без подсева. Это позволяет исключить влияние полового диморфизма по ПЖ и выделить только “чистый” эффект влияния подсева дрожжей на ПЖ самцов и самок.
По данным о числе яиц, откладываемых самкой в первый час после смены корма (пока численность яиц не стала нулевой), вычислено среднее число яиц на одну самку (абсолютная плодовитость). Для более удобного восприятия данных и элиминирования случайных колебаний динамика среднего числа яиц в расчете на одну самку, представленная на графиках, сглажена методом скользящей средней. На основе данных по возрастной динамике плодовитости вычислен показатель среднего возраста самки, откладывающей яйца (СВС). Эта величина равна сумме произведений возраста самок (в днях) на число яиц, отложенных самками в данном возрасте, деленное на общее число учтенных яиц, отложенных самками рассматриваемой линии за всю жизнь. Сопоставляя значения данного показателя для разных линий, можно сделать вывод о том, на более ранний или на более поздний возраст смещен пик репродукции.
Ожидаемое число яиц, которое самка откладывает за всю жизнь, рассчитано как сумма произведений средней плодовитости самки в определенном возрасте на вероятность дожить до данного возраста. Для краткости будем называть данный показатель суммарным коэффициентом плодовитости (СКП).
Поиск значимых взаимосвязей между средней ПЖ, СВС и СКП проведен путем парных линейных регрессий.
Для анализа состава дрожжевой микробиоты, развивающейся на корме, имеют значение качественный состав дрожжей и их соотношение в каждом из вариантов теста. В связи с этим количество подсчитанных КОЕ дрожжей было пересчитано в проценты и изображено в виде круговых диаграмм.
Расчеты и анализ данных проводились в программах Microsoft Excel и R (https://www. R-project. org/). Иллюстрации в работе выполнены в программах Microsoft Excel, Adobe Photoshop, Adobe Illustrator и R.
РЕЗУЛЬТАТЫ
Предварительный посев. Посевы мух из линий Мн и Мбд на дрожжевую микробиоту перед началом тестирования на ПЖ и плодовитость носили качественный характер. Основная задача данного посева состояла в том, чтобы убедиться, что у контрольной линии Мн дрожжевая микробиота присутствует, а с мух Мбд, содержащихся продолжительное время на корме с антимикотическим препаратом, дрожжевая микробиота не высевается. Данная гипотеза подтвердилась. На рис. 2а представлен пример посева гомогената мух Мн, на котором обнаружено большое количество дрожжей. Впоследствии при контрольном посеве (см. ниже) дрожжевое сообщество линии Мн, живущей на корме Н, было определено – оно полностью состоит из типичного для дрозофил вида Pichia occidentalis. На рис. 2б для сравнения приведен пример посева мух Мбд, на нем обнаружены только колонии бактерий, устойчивых к используемой в работе концентрации левомицетина. Результат воспроизвелся во всех повторностях посева.
Рис. 2. Пример предварительного посева гомогената мух из линии Мн (а) и линии Мбд (б) перед началом тестирования.
Продолжительность жизни. Согласно двухфакторному дисперсионному анализу, и линия (Мн или Мбд) (p < 0.0001), и тип корма (Н или Н, засеянный одним из трех видов дрожжей) (p < 0.0001), и взаимодействие этих факторов (p = 0.00688) значимо влияют на среднюю ПЖ. Значимое влияние не только линии и типа корма, но и их соотношения означает, что есть виды дрожжей, которые влияют на среднюю ПЖ по-разному в разных линиях дрозофил.
Для начала приведем результаты средней ПЖ дрозофил во всех вариантах теста без разделения по полу (рис. 3а, табл. 1). Мухи Мбд с обедненным дрожжевым микробиомом, тестируемые на корме без подсева дрожжей (Н), живут достоверно дольше, чем мухи во всех остальных вариантах теста. Мухи Мбд на Н прожили в среднем более 78 дней, тогда как мухи Мн, имеющие свою естественную микробиоту, на том же корме прожили меньше почти на 14 дней – только 64.3 дня (различия статистически значимы).
Рис. 3. Средняя ПЖ (сут) мух а) обоих полов, б) самцов, в) самок линий Мн и Мбд на корме Н без подсева или на корме Н с подсевом дрожжей S.b – S. bacillaris, S.c – S. cerevisiae, Z.b – Z. bailii. 95%-ный доверительный интервал, построенный методом бутстрэппинга. Различные буквы означают достоверные различия на 5%-ном уровне значимости.
Таблица 1. Характеристики ПЖ мух Мбд и Мн на корме с подсевами различных видов дрожжей
Линия | Мбд | Мн | ||||||
Подсев* | нет | S.b | S.c | Z.b | нет | S.b | S.c | Z.b |
Мухи без разделения по полу | ||||||||
Число особей | 126 | 119 | 118 | 121 | 114 | 122 | 116 | 120 |
Средняя ПЖ, сут | 78.1 | 64.2 | 62.8 | 65.1 | 64.3 | 57.4 | 55.8 | 60.8 |
Медианная ПЖ, сут | 80.0 | 66.0 | 62.5 | 64.0 | 65.5 | 57.0 | 57.0 | 61.5 |
Стандартное отклонение | 17.2 | 16.1 | 14.7 | 15.9 | 16.1 | 15.3 | 11.9 | 16.8 |
КВ, % | 22.3 | 25.1 | 23.4 | 24.5 | 25.0 | 26.7 | 21.3 | 27.6 |
ККВ, % | 17.2 | 14.4 | 18.2 | 15.6 | 18.1 | 21.1 | 12.5 | 19.7 |
Самцы | ||||||||
Число самцов | 61 | 59 | 55 | 58 | 57 | 57 | 60 | 65 |
Средняя ПЖ, сут | 83.9 | 61.8 | 61.0 | 64.5 | 62.7 | 54.0 | 52.1 | 62.6 |
Медианная ПЖ, сут | 84.0 | 61.0 | 61.0 | 63.0 | 63.0 | 53.0 | 56.0 | 62.0 |
Стандартное отклонение | 15.6 | 14.7 | 12.6 | 17.9 | 11.8 | 12.6 | 12.1 | 14.8 |
КВ, % | 18.6 | 23.8 | 20.7 | 27.8 | 18.9 | 23.4 | 23.2 | 23.7 |
ККВ, % | 11.9 | 11.1 | 14.8 | 16.7 | 15.1 | 18.9 | 14.3 | 17.7 |
Самки | ||||||||
Число самок | 65 | 60 | 63 | 63 | 57 | 65 | 56 | 55 |
Средняя ПЖ, сут | 72.6 | 66.6 | 64.3 | 65.6 | 65.9 | 60.4 | 59.9 | 58.7 |
Медианная ПЖ, сут | 73.0 | 69.0 | 69.0 | 66.0 | 69.0 | 60.0 | 59.5 | 60.0 |
Стандартное отклонение | 17.4 | 17.2 | 16.2 | 14.0 | 19.4 | 16.9 | 10.4 | 18.7 |
КВ, % | 24.0 | 25.8 | 25.2 | 21.3 | 29.4 | 28.0 | 17.3 | 31.9 |
ККВ, % | 15.8 | 13.8 | 16.3 | 11.0 | 21.7 | 22.5 | 13.7 | 21.3 |
Примечание. * S.b, Z.b, S.c – подсев дрожжей видов S. bacillaris, Z. bailii и S. cerevisiae на корм Н соответственно. КВ – коэффициент вариации, ККВ – квартильный коэффициент вариации.
В линии Мбд любой вид подсеянных на корм дрожжей значимо понижает среднюю ПЖ примерно до уровня средней ПЖ контрольных мух (Мн на Н). На корме S.b ПЖ мух Мбд значимо снижается почти на 14 дней, с 78.1 до 64.2 дня (Мбд на S.b по сравнению с Мбд на Н). При этом “добавление” своего естественного микробиома значимо снижает среднюю ПЖ еще почти на 7 дней, с 64.2 до 57.4 дня (Мн на S.b по сравнению с Мбд на S.b, различия статистически значимы). ПЖ мух Мбд на корме с подсевом пекарских дрожжей (S.c) значимо снижается более чем на 15 дней (Мбд на S.c по сравнению с Мбд на Н), а добавление еще и естественного микробиома значимо сокращает жизнь на 7 дней дополнительно (Мн на S.c по сравнению с Мбд на S.c, различия статистически значимы). Средняя ПЖ мух Мбд на корме Z.b значимо снижается примерно на 13 дней (Мбд на Z.b по сравнению с Мбд на Н), а добавление к подсеву дрожжей естественного микробиома мух сокращает жизнь еще примерно на 4 дня, однако различие средней ПЖ не достигает уровня статистической значимости (Мн на Z.b по сравнению с Мбд на Z.b).
Подсев дрожжей влияет на ПЖ самцов и самок не одинаково (рис. 3б, в, 4, табл. 1).
Согласно дисперсионному анализу, и корм, и линия, и взаимодействие факторов значимо влияют на среднюю ПЖ самцов (p < 1 × 10–5). Самцы Мбд на Н прожили в среднем 83.9 дней, что значимо дольше, чем самцы во всех остальных вариантах теста. В линии Мбд снижение ПЖ самцов, как и снижение ПЖ всей когорты, не зависит от вида дрожжей, посеянных на корм. Самцы Мбд на корме с подсевом любого из трех видов дрожжей живут в среднем столько же, сколько самцы Мн на Н. Но снижение средней ПЖ самцов, вызванное подсевом какого-либо из видов дрожжей на корм, выражено сильнее, чем по когорте в целом: самцы Мбд на Н живут на 19.4–22.9 дня дольше, чем самцы Мбд на корме с подсевом или самцы Мн на Н, тогда как по когорте в целом это снижение составило лишь 13.9–15.3 дней (рис. 3б, 4а, б, табл. 1).
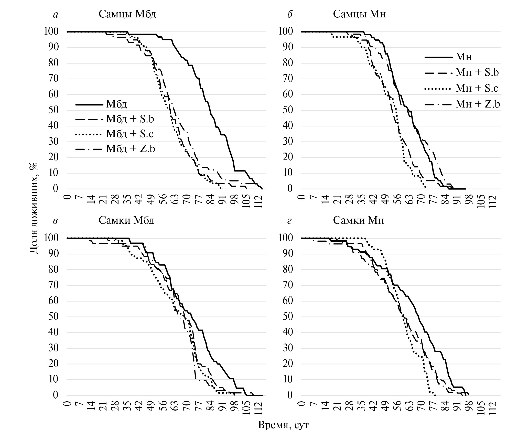
Рис. 4. Кривые выживания экспериментальных линий: а – самцы Мбд, б – самцы Мн, в – самки Мбд, г – самки Мн. По горизонтальной оси – возраст когорты, сут; по вертикальной – доля выживших мух, %. Обозначения подсевов аналогичны рис. 3.
В линии Мн средняя ПЖ самцов снизилась только на корме с подсевами дрожжей, не характерных для мух, культивируемых на стандартном корме, т. е. S. bacillaris и S. cerevisiae. Причем средняя ПЖ самцов Мн на кормах S.b и S.c сократилась сильнее, чем для когорты в целом, на 8.7 и 10.6 дней против 6.9 и 8.5 дней соответственно. Самцы Мн на Н и Z.b имеют примерно одинаковую среднюю ПЖ (62.7 и 62.6 дней соответственно, различия статистически не значимы).
Согласно дисперсионному анализу, линия и корм значимо влияют на среднюю ПЖ самок (p < 0.0014), но взаимодействие факторов незначимо (p = 0.9400). Это означает, что подсев дрожжей на корм влияет на самок обеих линий мух сходным образом. Самки Мбд на корме Н живут в среднем на 6–13.9 дней дольше, чем самки во всех прочих вариантах теста (различия по средней ПЖ статистически значимы) (рис. 3в, 4в, г, табл. 1). При этом самки Мбд на Н живут лишь на 6.7 дня дольше, чем самки Мн на Н, тогда как для когорты эта разница составляет 13.8 дней, а для самцов – 21.2 дня. Статистически значимых различий по средней ПЖ самок во всех остальных вариантах теста обнаружить не удалось. Несмотря на это, наблюдается тенденция к более сильному снижению ПЖ самок при подсеве дрожжей на корм в дополнение к естественной микробиоте мух Мн. Для самцов и когорты в целом ПЖ мух Мн на корме с подсевом S. bacillaris и S. cerevisiae значимо ниже, чем во всех остальных вариантах теста.
Для того чтобы проверить, как влияет подсев дрожжей на представителей разного пола, мы пронормировали ПЖ самок и самцов во всех вариантах теста с подсевом дрожжей на “базовую” ПЖ, т. е. ПЖ самок и самцов соответствующих линий, тестируемых на корме Н без подсева. Благодаря дисперсионному анализу и тесту Ньюмена–Кейлса удалось подтвердить описанные выше наблюдения: средняя ПЖ самцов из линии Мбд снижается при всех видах подсева значимо сильнее, чем средняя ПЖ самок. Для линии Мн эффект на ПЖ самцов и самок от подсева дрожжей S. bacillaris и S. cerevisiae не различается, а при подсеве дрожжей Z. bailii средняя ПЖ самцов снижается не так сильно, как средняя ПЖ самок.
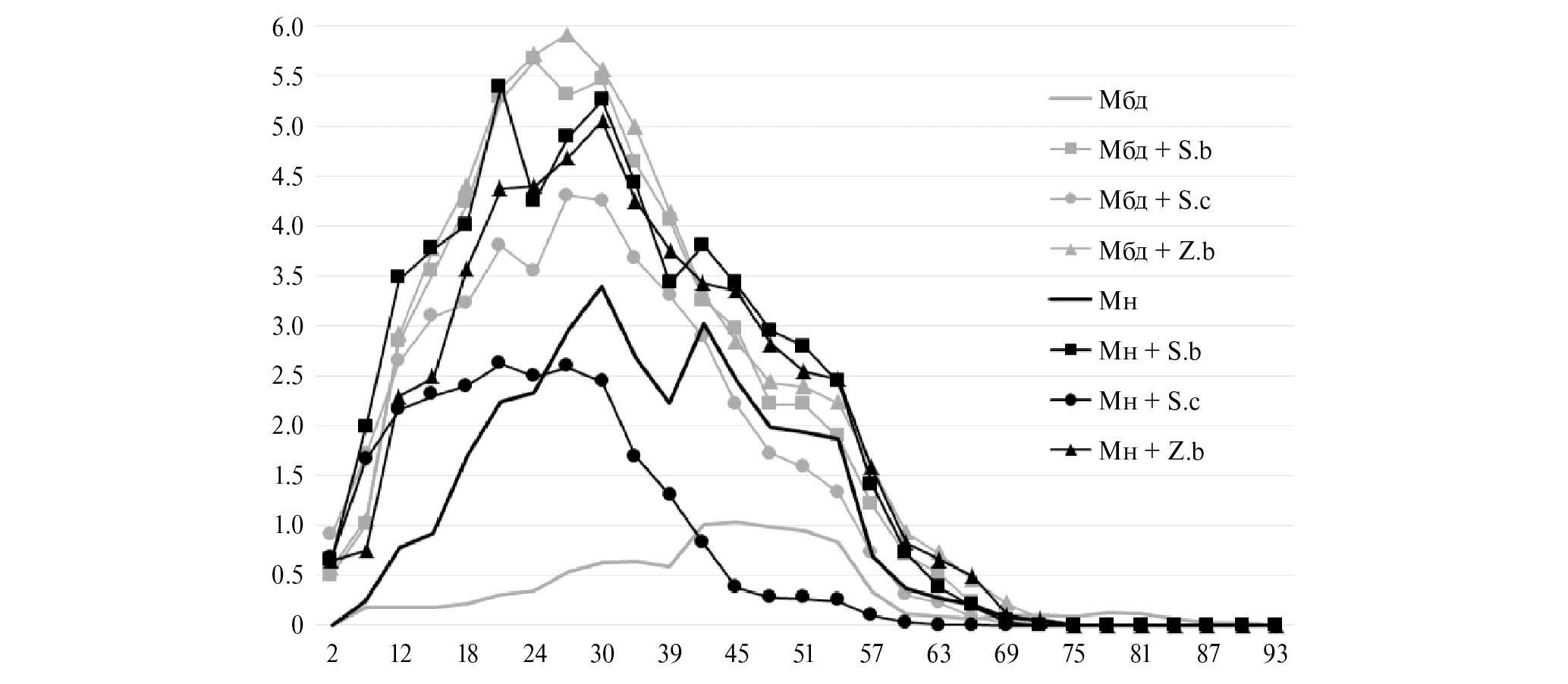
Возрастная динамика плодовитости самок. Плодовитость мух оценивалась по числу яиц, отложенных на свежий корм в течение часа. Сопоставление плодовитости в расчете на одну самку на корме с различными подсевами представлено на рис. 5. В табл. 2 приведены расчеты среднего возраста самки, откладывающей яйца (СВС), и суммарного коэффициента плодовитости (СКП).
Рис. 5. Возрастная динамика плодовитости самок из линий Мбд и Мн на корме Н или том же корме с подсевом одного из трех видов дрожжей. По горизонтальной оси – возраст мух (сут) с момента выхода из куколки, по вертикальной – среднее число яиц в расчете на одну самку. Данные сглажены методом скользящей средней. Обозначения подсевов аналогичны рис. 3.
Таблица 2. Средний возраст самки, откладывающей яйца (СВС), и суммарный коэффициент плодовитости (СКП)
Линия | Мбд | Мн | ||||||
Подсев | нет | S.b | S.c | Z.b | нет | S.b | S.c | Z.b |
СВС, сут | 40.2 | 29.6 | 27.5 | 30.2 | 34.2 | 28.1 | 22.2 | 30.8 |
СКП, яиц | 9.2 | 55.3 | 44.6 | 60.7 | 29.3 | 56.1 | 25.6 | 47.6 |
Примечание. Полужирным шрифтом выделены максимальное и минимальное значения СВС и СКП.
На рис. 5 видно, что дрожжи, как подсеянные, так и присутствующие в естественной микробиоте, усиливают интенсивность откладки яиц. Самая низкая плодовитость наблюдается у самок из линии Мбд, тестируемых на корме без подсевов дрожжей, причем пик заметно сдвинут на поздний возраст, тогда как в других вариантах теста к этому времени уже шел спад плодовитости. Это наглядно характеризуется самым низким из восьми вариантов значением СКП, согласно которому за всю жизнь самка Мбд на Н отложила на свежий корм (в течение первого часа после помещения корма в бокс) в среднем чуть больше 9 яиц, и самым высоким СВС, равным 40.2 дня. Этот возраст как раз примерно совпадает с пиком плодовитости на графике (рис. 5). Кроме того, самки в этом варианте теста не только прожили дольше всех, но и дольше всех откладывали яйца на свежий корм (замедленное репродуктивное старение).
При этом подсев дрожжей сильнее влияет на плодовитость мух Мбд и сглаживает различия между линиями. Согласно рис. 5, суммарная плодовитость на корме с подсевом дрожжей S. bacillaris в обеих линиях сопоставима. СВС составил 29.6 и 28.1 дней в линиях Мбд и Мн соответственно, а СКП – 55.3 и 56.1 яиц соответственно. А на корме с двумя другими подсевами при сопоставимом СВС плодовитость самок Мбд была выше, чем самок Мн: 44.6 яиц против 25.6 яиц на корме с пекарскими дрожжами и 60.7 против 47.6 яиц на корме с дрожжами Z. bailii. Согласно результатам дисперсионного анализа и теста Ньюмена–Кейлса, средняя плодовитость в данных вариантах теста также значимо не различается. Подсев дрожжей на корм “возвращает” пик репродукции самок Мбд на более ранний возраст, примерно такой же, как у Мн (табл. 2, СВС).
Согласно дисперсионному анализу, вид дрожжей, подсеянных на корм, значимо влияет на среднюю плодовитость самок (p < 0.0002), в отличие от линии мух (p = 0.9246) или взаимодействия факторов (p = 0.1607). В линии Мн плодовитость на корме Н примерно сопоставима с плодовитостью на корме с пекарскими дрожжами, при этом подсев пекарских дрожжей сдвинул репродукцию самок Мн на более ранний возраст. А плодовитость на корме с дрожжами Z. bailii (напомним, что они встречаются у дрозофил, культивируемых на стандартном корме) сопоставима с плодовитостью на корме с подсевом дрожжей S. bacillaris (не встречающихся в микробиоме мух, культивируемых на стандартном корме, но характерных для линий, живущих на соленом корме), причем эта плодовитость значительно выше, чем при тестировании на корме Н без подсева и корме с пекарскими дрожжами (рис. 5, черная линия с маркерами). На плодовитость самок Мбд подсевы разных видов дрожжей действуют примерно так же, как на Мн (о чем свидетельствует незначимость переменной “линия”). Число яиц, откладываемых самками на корм с пекарскими дрожжами меньше, чем на корм с двумя другими подсевами, тогда как плодовитости на корме с дрожжами Z. bailii и S. bacillaris примерно сопоставимы (рис. 5, серые линии с маркерами).
Состав и структура дрожжевой микробиоты, развивающейся на корме. Для оценки состава микробиоты, развивающейся в боксах, через семь недель после начала теста был проведен посев корма, освоенного мухами в течение трех дней (рис. 6):
- Для мух из линии Мн характерны дрожжи вида P. occidentalis. В линии Мн во всех вариантах теста этот вид дрожжей стабильно высевается.
- Во всех пробах обнаруживается тот вид дрожжей, который был засеян на корм исследователем.
- Ни один из трех видов дрожжей, подсевавшихся на корм искусственно (S. bacillaris, S. cerevisiae, Z. bailii), не был высеян из тех боксов, где мухи не тестировались на корме с подсевом данного вида дрожжей. Это свидетельствует об отсутствии случайной контаминации путем переноса микробиоты из одного экспериментального бокса в другой.
- На корме из бокса “Мбд на Н” не было обнаружено никакой дрожжевой микробиоты, поэтому данный вариант посева не представлен на рис. 6 (однако была обнаружена устойчивая к левомицетину бактериальная микробиота, анализ которой выходит за рамки данного исследования). Данный результат совпадает с результатами предварительного посева – в посевах гомогената мух линии Мбд перед началом теста не было обнаружено никакой дрожжевой микробиоты (рис. 2б). Это свидетельствует об отсутствии случайного загрязнения боксов с мухами Мбд микробиотой из других боксов.
- Во всех вариантах теста с участием мух Мбд и какого-либо из подсевов дрожжей обнаружены дрожжи P. occidentalis, характерные для линии Мн, предковой к линии Мбд (рис. 6б, г, е). В обсуждении мы рассмотрим гипотезы, объясняющие, по какой причине может быть получен столь интересный и неожиданный результат.
Рис. 6. Структура дрожжевой микробиоты, развившейся на трехдневном корме Н без подсева (а) или на корме Н с подсевом дрожжей S. bacillaris (б, в), S. cerevisiae (г, д), Z. bailii (е, ж), обжитом мухами из линии Мн (а, в, д, ж) и линии Мбд (б, г, е). Вариант теста, где мухи из линии Мбд тестируются на корме без подсева, не изображен, так как микробиота в этом варианте теста не была обнаружена.
В ходе контрольного посева исследовался также корм из бокса, не содержащего мух (центральный квадрат на рис. 1). На данном корме, простоявшем в боксе три дня, никакой микробиоты не было обнаружено. Для отслеживания возможной контаминации в чистые боксы, не содержащие мух, на три дня ставились чашки Петри с кормом Н, засеянным каждым из видов дрожжей, используемых в тесте. Контрольный посев этого корма выявил только те дрожжи, которые были засеяны на него изначально, никакая другая микробиота за три дня на них не развивалась, что свидетельствует о герметичности экспериментальных боксов и низкой вероятности контаминации эксперимента дрожжами извне.
ОБСУЖДЕНИЕ
Взаимосвязь между диетой, ПЖ и динамикой плодовитости
Взаимодействие дрозофил и микробиоты, а также компонентов микробиоты между собой создает сложную систему взаимных влияний. Бактерии внутри мухи могут вытеснять друг друга (Sannino et al., 2018) или подавлять выделением антибиотиков (Lee et al., 2023), что, в свою очередь, может повышать ПЖ хозяина. Бактериальная компонента микробиоты способствует переносу дрожжей из личинки через метаморфоз во взрослую муху (Guilhot et al., 2021). Взаимодействия между хозяином и микробиотой прослеживаются не только на уровне организмов в целом, но и на уровне отдельных метаболических путей. Микробиота дрозофил может продуцировать витамины, необходимые для развития мух (Sannino et al., 2018). Показано, что тиамин (витамин B1), который важен для развития личинок и их перехода на стадию куколки, дрозофилы получают от симбиотических бактерий. Если в микробиоте мух будут только бактерии, не способные синтезировать тиамин, то личинки будут медленно развиваться, не смогут превратиться в куколку и погибнут. Однако влияние ассоциированной микробиоты на организм хозяина зависит от многих сторонних факторов. Один и тот же вид бактерий может как повышать, так и сокращать ПЖ мух, что показала Анжела Дуглас в своем обзоре влияния Lactobacillus plantarum на дрозофил (Douglas, 2018b). Бактерия L. plantarum в некоторых работах ведет себя как полезный пробиотик, тогда как в других приводит к нарушению кишечного эпителия и сокращению ПЖ. Такое различие автор объясняет влиянием возраста мух, отличиями в генотипах линий дрозофил, разными штаммами L. plantarum и различиями в лабораторном корме. Данный пример показывает, почему результаты исследований, полученных в разных лабораториях, могут быть не полностью сопоставимы.
Еще в 1927 г. Штейнфельд установил, что дрозофилы, пищеварительный тракт которых лишен микробиоты, живут дольше, чем контрольные мухи (цит. по: Gould et al., 2018). В ряде работ показано, что изменения в составе микробиоты (в том числе увеличение доли гамма-протеобактерий с возрастом) вызывают дисбактериоз и дисфункцию кишечного барьера у пожилых мух, приводя к гибели (Clark et al., 2015; Lee et al., 2022). В исследовании Гулда и коллег (Gould et al., 2018) были оценены ПЖ, плодовитость и время развития мух, лишенных кишечной микробиоты, и тех же мух, живущих на корме, засеянном одним из пяти главных компонент их бактериальной кишечной микробиоты или всеми их комбинациями (от двух до пяти компонентов). Выяснилось, что мухи, лишенные бактериальной микробиоты, живут значимо дольше, чем мухи, содержащиеся на корме, засеянном отдельными видами бактерий или любыми их комбинациями. Однако плодовитость (оцениваемая в единицу времени) самок с более низкой ПЖ выше, чем у долгожительниц, причем это не связано с разной двигательной активностью дрозофил. Данный результат согласуется с идеей об “эволюционном компромиссе” (trade-off) между размножением и долголетием. Гулд и коллеги определили приспособленность как функцию времени развития, ПЖ и плодовитости, определяющую скорость роста численности популяции, и показали, что она одинакова для короткоживущих и долгоживущих мух. Иными словами, в зависимости от состава микробиоты мухи перераспределяют ресурсы между ПЖ и плодовитостью, на практике подтверждая эволюционную гипотезу “одноразовой сомы”. Вальтерc показал, что та же закономерность наблюдается и у диких мух (Walters et al., 2020).
Полученные нами результаты с участием дрожжевой микробиоты во многом схожи по тенденциям с результатами Гулда и коллег. Наибольшую ПЖ имеют мухи Мбд, содержавшиеся на корме с нистатином, характеризующиеся обедненной дрожжевой микробиотой и тестируемые на корме без привнесения дрожжей (Мбд на Н). Такие мухи в среднем живут дольше, чем мухи той же линии (Мбд) на корме с подсевами дрожжей, и дольше, чем мухи Мн, сохраняющие свою естественную микробиоту.
Подсев дрожжей на корм в дополнение к естественной дрожжевой микробиоте может как понизить среднюю ПЖ мух, так и оставить ее неизменной. В линии Мн только подсевы “чужеродных” дрожжей S. bacillaris и S. cerevisiae, не встречающихся в микробиоме мух, живущих на стандартном корме, значимо сокращают среднюю ПЖ (на 6.9 и 8.5 дней соответственно). Подсев дрожжей Z. bailii не снизил значимо ПЖ в линии Мн. Дрожжи Z. bailii встречаются и даже являются массовыми в некоторых репликах линий мух, содержащихся на стандартном корме Н (Dmitrieva et al., 2019). Несмотря на то, что в используемой в настоящем исследовании линии Мн данный вид дрожжей не обнаружен, он может быть более благоприятен для линии Мн, чем другие виды дрожжей, не встречающиеся у мух, культивируемых на корме Н.
Полученные результаты указывают на то, что дрожжевая микробиота, как подсеянная на корм, так и естественная (находящаяся на поверхности тела и в кишечнике мух Мн), значительно сокращает среднюю ПЖ дрозофил: разница между средней ПЖ Мбд на Н и самой короткоживущей когортой (Мн на S.c) составила 22.3 дня (рис. 3а). У самцов этот эффект проявляется сильнее, чем у самок (рис. 3б, в). Любая дрожжевая микробиота сокращает жизнь самцов примерно на треть, но дополнительная микробиота (подсеянная на корм) снижает ПЖ самцов Мн, только если данный вид дрожжей не встречается в составе естественной микробиоты мух, живущих в стандартных условиях. Средняя ПЖ самок также снижается в присутствии дрожжевой микробиоты, но эффект не такой сильный, как для самцов. ПЖ самок в самом “худшем случае” (в присутствии своей микробиоты и подсева пекарских дрожжей) сокращается менее чем на 20% по сравнению с самыми долгоживущими самками Мбд, тестируемыми на корме без подсева.
Гулд и коллеги (Gould et al., 2018) в попытках объяснить полученные ими результаты предположили, что наблюдаемое сокращение ПЖ мух при засеве корма компонентами бактериальной микробиоты может быть обусловлено прямым вредом, наносимым бактериями хозяину: потребление питательных веществ, выделение токсичных метаболитов, вызывающих у хозяина иммунный ответ (Rolig et al., 2015), или нанесение физического повреждения клеткам хозяина бактериальными системами секреции, как показали Фаст с коллегами (Fast et al., 2018b). Причем на среднюю ПЖ самцов и самок изменения в бактериальной микробиоте оказывают сходное влияние. Однако вряд ли такое объяснение подойдет для нашего случая с дрожжевой микробиотой. Ведь дрожжи являются одним из важнейших источников питания мух на личиночной и имагинальных стадиях жизненного цикла (Cooper, 1960; Begon, 1982; Anagnostou et al., 2010). Также нами показано, что сила влияния дрожжей на среднюю ПЖ для самцов и самок (особенно из линии Мбд) различается.
В эксперименте Чиппиндейла с коллегами (Chippindale et al., 1993) мух не лишали дрожжевой микробиоты, а лишь варьировали объем доступных живых пекарских дрожжей в корме. Эксперимент показал увеличение средней ПЖ мух в линиях, тестируемых на корме, засеянном наименьшим количеством живых дрожжей. По-видимому, в нашем тесте, так же как и в тесте Чиппиндейла, умеренная дрожжевая диета продлевает жизнь мухам обоих полов, например, путем снижения окислительного стресса, через понижение уровня инсулина и/или инсулиноподобного фактора роста (IGF) и подавления сигнального пути TOR и т. д. (Zheng et al., 2005; Partridge et al., 2011; Tatar et al., 2014).
Заметим, что корм Н и без подсева живых дрожжей является очень калорийным, а подсев живых дрожжей еще повышает его калорийность и значимо снижает ПЖ мух (Keebaugh et al., 2019). Мэйр с коллегами (Mair et al., 2005) предложили этому объяснение. Они провели тест, в котором снизили потребление мухами дрожжей и сахара и показали, что у мух, потребляющих меньше дрожжей, ПЖ увеличилась гораздо сильнее, чем у мух, получающих меньше сахара. Иными словами, не количество калорий, а именно качественный состав пищи влияет на ПЖ (Min, Tatar, 2006). Данный результат уточнил Грандисон с коллегами (Grandison et al., 2009), показав, что дефицит метионина в корме сокращает плодовитость, а соотношение метионина и других незаменимых аминокислот влияет на ПЖ. Жизнь сокращается только в том случае, если дрозофилы получают “стандартное” количество метионина и других незаменимых кислот одновременно (как в стандартном лабораторном корме), все остальные комбинации метионина и аминокислот обеспечивают долгую жизнь. По-видимому, именно с этим фактом связано то, что не во всех тестах с ограниченной диетой удается продлить жизнь модельным организмам (Mattison et al., 2012; Taormina, Mirisola, 2014).
Показано, что присутствие живых дрожжей S. cerevisiae в корме влияет на размер и плодовитость дрозофил, значительно увеличивает скорость их развития, но, очевидно, сокращает их жизнь (Lewis, Hamby, 2019; Murgier et al., 2019). Среди механизмов сокращения ПЖ, возможно, стоит рассматривать влияние белков с амилоидными свойствами, входящих в состав клеточной стенки дрожжей S. cerevisiae, которые могут быть индукторами развития системных амилоидозов (Рекстина и др., 2016; Калебина и др., 2021). Некоторые из веществ-промоутеров амилоидозов, поступая с кормом, могут на начальном этапе заметно увеличивать двигательную активность мух, но впоследствии сокращают их активность и ПЖ (Pokrzywa et al., 2017). Что согласуется с наблюдаемыми нами результатами: подсев дрожжей S. cerevisiae на корм существенно сокращает ПЖ мух (в особенности самцов) и смещает репродукцию самок на более ранний возраст (особенно в линии Мн) (рис. 3–5).
Нельзя исключать, что на ПЖ может повлиять консистенция корма, ведь корм, засеянный живыми дрожжами, значительно более липкий, чем незасеянный. Такую гипотезу рассматривали Чиппиндейл с коллегами (Chippindale et al., 1993), но не нашли ей статистического подтверждения. В нашем тесте корм, засеянный дрожжами, был липким, но большей смертности от прилипания мух к корму визуально отмечено не было. Именно для исключения подобных недоразумений в бокс ставилась чашка с кормом Н без подсева, чтобы у мух в доступе всегда была пища, даже если корм с дрожжами изначально оказался бы для них ненадлежащей консистенции.
Белки, источником которых для мух являются дрожжи, – не просто пища, но и “строительный материал” для формирования половых продуктов. Это отчасти может объяснить, почему дрожжевая микробиота сокращает ПЖ самок слабее, чем ПЖ самцов: часть энергии и питательных веществ от потребляемых дрожжей самка тратит на формирование яиц, поэтому та часть пищи, которую самка расходует на другие метаболические процессы, меньше, чем у самцов, не формирующих “дорогостоящие” яйца.
Учет плодовитости самок показал, что дрожжи способствуют, во-первых, более интенсивной откладке яиц на свежий корм, во-вторых, сдвигу репродукции на более ранний возраст и ускоренному репродуктивному старению. Это справедливо как для естественной дрожжевой микробиоты мух (сравнение Мбд на корме Н с Мн на корме Н), так и для вариантов с подсевами дрожжей на корм, причем подсев дрожжей на корм сглаживает различия по плодовитости между линиями с естественной и обедненной дрожжевой микробиотой (рис. 5).
Добавление дрожжевой микробиоты к естественной микробиоте приводит к росту плодовитости или по меньшей мере не снижает ее (как в варианте Мн + S.c, рис. 5). Повышение общей плодовитости выражено у мух в присутствии S. bacillaris и Z. bailii. Сдвиг репродукции на ранний возраст и ускоренное репродуктивное старение сильнее выражены в присутствии S. cerevisiae, чем в присутствии S. bacillaris и Z. bailii (рис. 5).
Между средней ПЖ самок и средним возрастом самки, откладывающей яйца (СВС), наблюдается значимая положительная взаимосвязь (p < 0.03): у самок, живущих дольше, репродуктивное старение замедлено, репродукция смещена на более поздний возраст и, как правило, увеличен возраст, когда самка еще откладывает яйца, по сравнению с самками, имеющими более низкую ПЖ (рис. 5, 7).
Рис. 7. Взаимосвязь средней ПЖ со средним возрастом самки, откладывающей яйца (СВС), и суммарным коэффициентом плодовитости (СКП).
При этом нет четкой обратной зависимости между ПЖ и суммарной плодовитостью (СКП) (p = 0.274), это означает, что связь между двумя данными показателями объясняется эволюционным компромиссом не полностью, и есть еще недоучтенные факторы (рис. 7). Одним из таких факторов может быть бактериальный компонент симбиотической микробиоты, оказывающий влияние на мух и дрожжи. Данный вопрос требует дополнительного исследования.
Роль дрозофил в поддержании симбиотического дрожжевого сообщества
Ранее считалось, что кишечная микробиота дрозофил является в основном транзитной, т. е. поступает в кишечник с пищей, а ее развитие в самом кишечнике минимально (Blum et al., 2013). Однако позднее появились работы, свидетельствующие о более сложном и специфичном взаимодействии некоторых бактерий с желудочно-кишечным трактом дрозофил, что способствует формированию стабильной кишечной микробиоты, как минимум бактериальной (Obadia et al., 2017; Pais et al., 2018; Vandehoef et al., 2020). Известно, что дрожжи в сообществе влияют друг на друга (Liu et al., 2015), и мухи влияют на свое симбиотическое дрожжевое сообщество (Starmer et al., 1990; Stamps et al., 2012), но механизмы этих взаимодействий изучены довольно слабо.
По-видимому, наши результаты свидетельствуют о том, что между дрозофилами и дрожжами также могут формироваться устойчивые специфические связи. Один из необычных результатов состоит в том, что в вариантах теста, где мухи Мбд жили на корме с подсевом живых дрожжей, обнаружен не только вид дрожжей, внесенный на корм, но и дрожжи P. occidentalis, типичные для предковой линии Мн (рис. 6б, г, е). Однако они не обнаружены в посевах гомогенатов мух Мбд перед началом теста (рис. 2б) и не высеваются из бокса, где мухи Мбд тестируются на корме Н без подсева. Повторение данного результата в трех боксах с подсевом различных видов дрожжей, во-первых, исключает возможность контаминации, во-вторых, позволяет с большой вероятностью утверждать, что на поверхности тела и/или в кишечнике мух Мбд (полученных из линии Мн путем содержания на корме с антимикотическим препаратом) могут сохраняться клетки дрожжей P. occidentalis в малоактивном состоянии. Жизнь на корме Н, не содержащем жизнеспособных дрожжей, не приводит к активации их роста. Тогда как жизнь на корме Н с подсевом какого-либо вида живых дрожжей приводит к их активации, причем настолько, что за три дня они становятся доминирующими в боксах Мбд + S.b (56%) и Мбд + S.c (94%), а в боксе Мбд + Z.b их доля в дрожжевом сообществе, развивающемся на корме, составляет более трети (около 35%). Подобные взаимоотношения (индукция роста одних видов в присутствии других) часто наблюдаются у прокариот (Epstein, 2013; Harcombe et al., 2018), наличие их у эукариот требует дополнительных исследований. Однако в наших предыдущих экспериментах было показано, что дрожжи P. occidentalis являются постоянным компонентом кишечной микробиоты дрозофил разных лабораторных линий (Dmitrieva et al., 2019, 2023), а в литературе постоянно встречаются сведения об обнаружении этого вида дрожжей как непосредственно на дрозофилах и в их экскрементах, так и на плодах или других часто посещаемых дрозофилами субстратах (Hedrick, Burke, 1951; Barker et al., 1984; Morais et al., 1995; Trindade et al., 2002; Starmer et al., 2003; Arroyo-López et al., 2006).
Дрожжевое сообщество, формирующееся за три дня на освоенном мухами корме, может указывать на то, насколько тот или иной вид дрожжей присущ дрозофилам. Так как дрожжи Z. bailii встречаются в линиях Мн, то, скорее всего, они коэволюционировали вместе с мухами данной линии и хорошо приспособлены к жизни в их дрожжевом сообществе (данный вид дрожжей составляет 65% дрожжевого микробиома в варианте теста Мбд + Z.b); вид S. bacillaris редко обнаруживается у мух линии Мн, но встречается в нашем эволюционном эксперименте в линии дрозофил, адаптирующихся к корму с повышенным содержанием соли, поэтому его доля в дрожжевом сообществе в боксе Мбд + S.b составляет чуть меньше половины (44%); S. cerevisiae крайне редко встречается у дрозофил (Hoang et al., 2015) и не встречается у мух в нашем эволюционном эксперименте, возможно, поэтому данный вид не адаптирован к жизни в мушином дрожжевом сообществе и его доля в варианте теста Мбд + S.c составляет всего 6%. Однако в вариантах теста с мухами Мн доли рассматриваемых видов дрожжей в сложившемся на корме сообществе иные. Скорее всего, это обусловлено влиянием естественного микробиома мух Мн на подсеянные дрожжи. Этот вопрос уходит в плоскость взаимодействия между видами и штаммами дрожжей в зависимости от исходного соотношения их численности и пока остается за рамками данного исследования.
На основе структуры дрожжевых сообществ на рис. 6б, г, е и сопоставления ее со структурой сообществ для линии Мн (рис. 6а, в, д, ж) можно предположить, что наличие дрожжей любого из трех видов достаточно для активации роста дрожжей P. occidentalis. Далее, то, в каком соотношении будут представлены дрожжи различных видов на корме, зависит и от изначально засеянного на него вида дрожжей, и от взаимодействия между видами дрожжей, и от самой мухи (с ее исходным микробиомом).
Другая гипотеза, объясняющая появление дрожжей P. occidentalis в боксах “линия Мбд + подсев”, связана с взаимодействием дрожжевого и бактериального компонентов микробиоты. Возможно, в линии мух Мбд, содержащихся на антимикотическом препарате нистатине, бактерии при ослаблении конкуренции с дрожжами развиваются активнее и не дают отдельным оставшимся клеткам дрожжей размножаться в варианте теста Мбд на Н без подсева. В присутствии же подсеянных дрожжей, возможно, образуется спирт, часть чувствительных к нему бактерий погибает, и единичные клетки дрожжей, оставшихся на поверхности тела и/или в кишечнике мух Мбд, приобретают возможность расти и размножаться. Так, известно, что многие дрожжи способны сбраживать сахар даже в аэробных условиях (эффект Кребтри), данный процесс хоть и является энергетически менее выгодным, но сопровождается образованием спирта, повышением температуры и выделением углекислого газа, что может приводить к подавлению бактерий (Thomson et al., 2005; Piškur et al., 2006; Goddard, 2008).
Также стоит принять во внимание, что нистатин является препаратом актиномицетного происхождения и подавляет рост грибов, в том числе дрожжевых. Механизм действия данного препарата основан на разрушении клеточных мембран, тогда как P. occidentalis является аскоспоровым видом дрожжей, и, вероятно, его аскоспоры в меньшей степени подвержены воздействию данного антибиотика, чем вегетативные клетки, и в его отсутствии способны дать начало размножению дрожжей, сохранившихся в виде спор.
ВЫВОДЫ
Многократно показано, что микробиота, ассоциированная с D. melanogaster, влияет на скорость развития личинок, ПЖ имаго, динамику их смертности, плодовитость и т. д. Существует значительное количество исследований, посвященных многоплановому, опосредованному разными факторами влиянию бактериальной микробиоты и отдельных ее компонентов на параметры жизненного цикла дрозофил. В то же время в состав мушиной микробиоты также входят дрожжи – неотъемлемый источник пищи для мух как на личиночной, так и на имагинальной стадиях развития. Влияние дрожжевого компонента на параметры жизненного цикла изучено слабо, еще меньше известен вклад отдельных видов дрожжей в этот процесс. В настоящей работе мы оценили влияние естественной микробиоты мух, а также двух неизученных ранее видов дрожжей, характерных для микробиоты дрозофил, S. bacillaris и Z. bailii, на ПЖ, динамику смертности и плодовитость контрольных линий мух и мух с обедненной дрожжевой микробиотой.
Известно, что при культивировании мух на стандартном богатом лабораторном корме подавление бактериальной микробиоты повышает среднюю ПЖ и снижает плодовитость. Мы показали, что подавление только дрожжевой микробиоты, как на субстрате, так на поверхности тела и в кишечнике мухи, ведет к росту средней ПЖ и снижению плодовитости. Это согласуется с гипотезой о компромиссе между продолжительностью жизни и плодовитостью, которая лежит в основе теории “одноразовой сомы”.
Как естественная дрожжевая микробиота (которую муха приобретает сразу после выхода из куколки путем поедания обжитого корма), так и подсев дрожжей любого вида на корм приводят к значимому сокращению средней ПЖ мух обоих полов. Причем средняя ПЖ самцов сокращается примерно на треть, а самок – примерно на 20%.
Подсев на корм дрожжей, не характерных для мух, содержащихся на стандартном корме (в нашем случае это S. bacillaris и S. cerevisiae), в дополнение к естественной дрожжевой микробиоте снижает среднюю ПЖ. Причем для самцов этот эффект достигает статистической значимости. Данный результат согласуется с показанным ранее более сильным сокращением ПЖ по мере роста бактериальной нагрузки.
Долгая жизнь и замедленное репродуктивное старение “бездрожжевых” мух не позволяют им достичь той же суммарной плодовитости, что и у мух в присутствии дрожжей. По-видимому, более высокая приспособленность последних объясняет, почему в ходе эволюции дрожжи стали обязательным компонентом ассоциированной с мухами микробиоты.
Подсев дрожжей на корм провоцирует в линии мух с обедненной дрожжевой микробиотой размножение дрожжей P. occidentalis, не высеваемых в отсутствие подсева дрожжей на корм, но характерных для предковой линии. Данный неожиданный результат свидетельствует о необходимости более глубокого изучения сложных взаимосвязей макроорганизма и компонентов его микробиоты, в особенности дрожжевой.
ФИНАНСИРОВАНИЕ
Исследование выполнено за счет гранта Российского научного фонда № 22-24-00227, https://rscf.ru/project/22-24-00227/.
КОНФЛИКТ ИНТЕРЕСОВ
Авторы заявляют об отсутствии какого-либо конфликта интересов.
СОБЛЮДЕНИЕ ЭТИЧЕСКИХ НОРМ
Настоящая статья не содержит описания выполненных авторами исследований с участием людей или использованием теплокровных животных в качестве объектов.
Об авторах
Е. Ю. Яковлева
Московский государственный университет им. М. В. Ломоносова
Автор, ответственный за переписку.
Email: e.u.yakovleva@gmail.com
биологический факультет
Россия, Ленинские горы, 1, Москва, 119991И. А. Максимова
Московский государственный университет им. М.В. Ломоносова
Email: e.u.yakovleva@gmail.com
факультет почвоведения
Россия, Ленинские горы, 1, Москва, 119991Д. С. Мерзликин
Московский государственный университет им. М. В. Ломоносова
Email: e.u.yakovleva@gmail.com
биологический факультет
Россия, Ленинские горы, 1, Москва, 119991А. В. Качалкин
Московский государственный университет им. М.В. Ломоносова; Институт биохимии и физиологии микроорганизмов им. Г. К. Скрябина РАН
Email: e.u.yakovleva@gmail.com
Московский государственный университет им. М.В. Ломоносова, факультет почвоведения
Россия, Ленинские горы, 1, Москва, 119991; Проспект Науки, 5, Московская обл., Пущино, 142290А. В. Марков
Палеонтологический институт им. А. А. Борисяка РАН
Email: e.u.yakovleva@gmail.com
Россия, Профсоюзная, 123, Москва, 117647
Список литературы
- Дмитриева А.С., Ивницкий С.Б., Марков А.В., 2016. Адаптация Drosophila melanogaster к неблагоприятному кормовому субстрату сопровождается расширением трофической ниши // Журн. общ. биологии. Т. 77. № 4. С. 249–261.
- Ивницкий С.Б., Максимова И.А., Панченко П.Л., Дмитриева А.С., Качалкин А.В. и др., 2018. Роль микробиома в адаптации Drosophila melanogaster к кормовому субстрату с повышенной концентрацией NaCl // Журн. общ. биологии. Т. 79. № 5. С. 393–403.
- Калебина Т.С., Рекстина В.В., Горковский А.А., Королев А.Г., Ерещенко М.И. и др., 2021. Сочетанное воздействие белка с амилоидными свойствами Bgl2p и других компонентов клеточных стенок дрожжей Saccharomyces cerevisiae на состояние кожных покровов и поведение мышей // Иммунопатология, аллергология, инфектология. № 3. С. 86–97. https://www.doi.org/10.14427/jipai.2021.3.86
- Панченко П.Л., Корнилова М.Б., Перфильева К.С., Марков А.В., 2017. Симбиотическая микробиота вносит вклад в адаптацию Drosophila melanogaster к неблагоприятной кормовой среде // Изв. РАН. Сер. биол. № 4. С. 341–351.
- Рекстина В.В., Горковский А.А., Безсонов Е.Е., Калебина Т.С., 2016. Амилоидные белки поверхности микроорганизмов: структура, свойства и значение для медицины // Вестн. РГМУ. № 1. С. 4–13.
- Anagnostou C., Dorsch M., Rohlfs M., 2010. Influence of dietary yeasts on Drosophila melanogaster life-history traits // Ent. Exp. et Appl. V. 136. № 1. P. 1–11.
- Anbutsu H., Moriyama M., Nikoh N., Hosokawa T., Futahashi R., et al., 2017. Small genome symbiont underlies cuticle hardness in beetles // PNAS. V. 114. P. 8381–8391. https://doi.org/10.1073/pnas.1712857114
- Arias-Rojas A., Iatsenko I., 2022. The role of microbiota in Drosophila melanogaster aging // Front. Aging. V. 3. Art. 909509. https://doi.org/10.3389/fragi.2022.909509
- Arroyo-López F.N., Durán-Quintana M.C., Ruiz-Barba J.L., Querol A., Garrido-Fernández A., 2006. Use of molecular methods for the identification of yeast associated with table olives // Food Microbiol. V. 23. № 8. P. 791–796.
- Barker J.S.F., East P.D., Phaff H.J., Miranda M., 1984. The ecology of the yeast flora in necrotic Opuntia cacti and of associated Drosophila in Australia // Microb. Ecol. № 10. P. 379–399. https://doi.org/10.1007/BF02015562
- Begon M., 1982. Yeast and Drosophila. The Genetics and Biology of Drosophila. L.: Academic Press. P. 345–384.
- Blum J.E., Fischer C.N., Miles J., Handelsman J., 2013. Frequent replenishment sustains the beneficial microbiome of Drosophila melanogaster // mBio. V. 4. Art. e00860.
- Bordenstein S.R., Theis K.R., 2015. Host biology in light of the microbiome: Ten principles of holobionts and hologenomes // PLoS Biol. V. 13. № 8. Art. e1002226.
- Brummel T., Ching A., Seroude L., Simon A.F., Benzer S., 2004. Drosophila lifespan enhancement by exogenous bacteria // PNAS. V. 101. P. 12974–12979.
- Chandler J.A., Innocent L.V., Martinez D.J., Huang I.L., Yang J.L., et al., 2022. Microbiome-by-ethanol interactions impact Drosophila melanogaster fitness, physiology, and behavior // iScience. V. 25. № 4. Art. 104000.
- Chippindale A.K., Leroi A.M., Kim S.B., Rose M.R., 1993. Phenotypic plasticity and selection in Drosophila life-history evolution. I. Nutrition and the cost of reproduction // J. Evol. Biol. V. 6. P. 171–193.
- Claesson M.J., Cusack S., O’Sullivan O., Greene-Diniz R., Weerd H., de, et al., 2011. Composition, variability, and temporal stability of the intestinal microbiota of the elderly // PNAS. V. 108. P. 4586–4591.
- Clark R.I., Salazar A., Yamada R., Fitz-Gibbon S., Morselli M., et al., 2015. Distinct shifts in microbiota composition during Drosophila aging impair intestinal function and drive mortality // Cell Rep. V. 12. № 10. P. 1656–1667.
- Cooper D.M., 1960. Food preferences of larval and adult Drosophila // Evolution. V. 14. P. 41–55.
- Currie C.C., Poulsen M., Mendenhall J., Boomsma J., Billen J., 2006. Coevolved crypts and exocrine glands support mutualistic bacteria in fungus-growing ants // Science. V. 311. P. 81–83.
- Dmitrieva A.S., Ivnitsky S.B., Maksimova I.A., Panchenko P.L., Kachalkin A.V., Markov A.V., 2019. Symbiotic yeasts affect adaptation of Drosophila melanogaster to food substrate with high NaCl concentration // PLoS One. V. 14. № 11. Art. e0224811.
- Dmitrieva A.S., Maksimova I.A., Kachalkin A.V., Markov A.V., 2021. Age-related changes in the yeast component of the Drosophila melanogaster microbiome // Microbiology. V. 90. № 2. P. 229–236. https://doi.org/10.1134/S0026261721020028
- Dmitrieva A.S., Yakovleva E.Y., Maksimova I.A., Belov A.A., Markov A.V., 2023. Changes in the symbiotic yeast of Drosophila melanogaster during adaptation to substrates with an increased NaCl content // Biol. Bull. Russ. Acad. Sci. V. 13. № 1. P. 1–8. https://doi.org/10.1134/S2079086423010036
- Douglas A.E., 2018a. The Drosophila model for microbiome research // Lab Animal. V. 47. № 6. P. 157–164.
- Douglas A.E., 2018b. Contradictory results in microbiome science exemplified by recent Drosophila research // mBio. V. 9. № 5. Art. e01758–18. https://doi.org/10.1128/mbio.01758-18
- Epstein S.S., 2013. The phenomenon of microbial uncultivability // Curr. Opin. Microbiol. V. 16. № 5. P. 636– 642. https://doi.org/10.1016/j.mib.2013.08.003
- Erkosar B., Storelli G., Defaye A., Leulier F., 2013. Host-intestinal microbiota mutualism: ‘‘learning on the fly” // Cell Host Microbe. V. 13. P. 8–14.
- Fast D., Duggal A., Foley E., 2018a. Monoassociation with Lactobacillus plantarum disrupts intestinal homeostasis in adult Drosophila melanogaster // mBio. V. 9. № 4. Art. e01114-18.
- Fast D., Kostiuk B., Foley E., Pukatzki S., 2018b. Commensal pathogen competition impacts host viability // PNAS. V. 115. P. 7099–7104.
- Francis А., 2008. Business Mathematics and Statistics. 6th ed. L.: Cengage learning EMEA. 666 p.
- Goddard M.R., 2008. Quantifying the complexities of Saccharomyces cerevisiae’s ecosystem engineering via fermentation // Ecology. V. 89. P. 2077–2082. https://doi.org/10.1890/07-2060.1
- Gould A.L., Zhang V., Lamberti L., Jones E.W., Obadia B., et al., 2018. Microbiome interactions shape host fitness // PNAS. V. 115. № 51. P. E11951–E11960.
- Grandison R., Piper M., Partridge L., 2009. Amino-acid imbalance explains extension of lifespan by dietary restriction in Drosophila // Nature. V. 462. P. 1061–1064. https://doi.org/10.1038/nature08619
- Guilhot R., Rombaut A., Xuéreb A., Howell K., Fellous S., 2021. Influence of bacteria on the maintenance of a yeast during Drosophila melanogaster metamorphosis // Anim. Microbiome. V. 68. № 3. P. 1–8. https://doi.org/10.1186/s42523-021-00133-0
- Harcombe W.R., Chacón J.M., Adamowicz E.M., Chubiz L.M., Marx C.J., 2018. Evolution of bidirectional costly mutualism from byproduct consumption // PNAS. V. 115. № 47. P. 12000–12004. https://doi.org/10.1073/pnas.1810949115
- Hedrick L.R., Burke G.C., 1951. Two new yeasts from Hawaiian fruit flies // Mycopathol. Mycol. Appl. V. 6. P. 92–95. https://doi.org/10.1007/BF02279182
- Hoang D., Kopp A., Chandler J.A., 2015. Interactions between Drosophila and its natural yeast symbionts – Is Saccharomyces cerevisiae a good model for studying the fly-yeast relationship? // Peer J. V. 3. Art. e1116.
- Keebaugh E.S., Yamada R., Ja W.W., 2019. The nutritional environment influences the impact of microbes on Drosophila melanogaster life span // mBio. V. 10. № 4. Art. e00885. https://doi.org/10.1128/mbio.00885-19
- Keuls M., 1952. The use of the “Studentized range” in connection with an analysis of variance // Euphytica. V. 1. P. 112–122.
- Klepsatel P., Procházka E., Gáliková M., 2018. Crowding of Drosophila larvae affects lifespan and other life-history traits via reduced availability of dietary yeast // Exp. Gerontol. V. 110. P. 298–308.
- Kosakamoto H., Yamauchi T., Akuzawa-Tokita Y., Nishimura K., Soga T., et al., 2020. Local necrotic cells trigger systemic immune activation via gut microbiome dysbiosis in Drosophila // Cell Rep. V. 32. № 3. Art. 107938.
- Lee H.Y., Lee S.H., Min K.J., 2022. The increased abundance of commensal microbes decreases Drosophila melanogaster lifespan through an age-related intestinal barrier dysfunction // Insects. V. 13. № 2. Art. 219. https://doi.org/10.3390/insects13020219
- Lee H.Y., Lee S.H., Lee J.H., Lee W.J., Min K.J., 2019. The role of commensal microbes in the lifespan of Drosophila melanogaster // Aging. V. 11. № 13. P. 4611– 4640. https://doi.org/10.18632/aging.102073
- Lee H.Y., Lee J.H., Kim S.H., Jo S.Y., Min K.J., 2023. Probiotic Limosilactobacillus reuteri (Lactobacillus reuteri) extends the lifespan of Drosophila melanogaster through insulin/IGF-1 signaling // Aging Dis. V. 14. № 4. Р. 1407–1424. https://doi.org/10.14336/AD.2023.0122
- Leftwich P.T., Hutchings M.I., Chapman T., 2018. Diet, gut microbes and host mate choice: Understanding the significance of microbiome effects on host mate choice requires a case by case evaluation // Bioessays. V. 40. № 12. Art. 1800053.
- Lewis M.T., Hamby K.A., 2019. Differential impacts of yeasts on feeding behavior and development in larval Drosophila suzukii (Diptera: Drosophilidae) // Sci. Rep. V. 9. Art. 13370. https://doi.org/10.1038/s41598-019-48863-1
- Li Y., Xu S., Wang L., Shi H., Wang H., et al., 2023. Gut microbial genetic variation modulates host lifespan, sleep, and motor performance // ISME J. V. 17. № 10. P. 1733– 1740. https://doi.org/10.1038/s41396-023-01478-x
- Liu G.-L., Chi Z., Wang G.-Y., Wang Z.-P., Li Y., Chi Z.-M., 2015. Yeast killer toxins, molecular mechanisms of their action and their applications // Crit. Rev. Biotechnol. V. 35. № 2. P. 222–234.
- Mair W., Piper M.D.W., Partridge L., 2005. Calories do not explain extension of life span by dietary restriction in Drosophila // PLOS Biol. V. 3. № 7. P. 1305–1311.
- Margulis L., Fester R., 1991. Symbiosis as a Source of Evolutionary Innovation: Speciation and Morphogenesis. Cambridge: MIT Press. 454 p.
- Markov A.V., Ivnitsky S.B., Kornilova M.B., Naimark E.B., Shirokova N.G., Perfilieva K.S., 2016. Maternal effect obscures adaptation to adverse environments and hinders divergence in Drosophila melanogaster // Biol. Bull. Russ. Acad. Sci. V. 6. 429–435. https://doi.org/10.1134/S2079086416050054
- Markov А.V., Lazebny O.E., Goryacheva I.I., Antipin M.I., Kulikov A.M., 2009. Symbiotic bacteria affect mating choice in Drosophila melanogaster // Anim. Behav. V. 77. P. 1011–1017.
- Matthews M.K., Malcolm J., Chaston J.M., 2021. Microbiota influences fitness and timing of reproduction in the fruit fly Drosophila melanogaster // Microbiol. Spectr. V. 9. № 2. Art. e0003421. https://doi.org/10.1128/Spectrum.00034-21
- Matthews M.K., Wilcox H., Hughes R., Veloz M., Hammer A., et al., 2020. Genetic influences of the microbiota on the life span of Drosophila melanogaster // Appl. Environ. Microbiol. V. 86. № 10. Art. e00305-20. https://doi.org/10.1128/AEM.00305-20
- Mattison J.A., Roth G.S., Beasley M.T., Tilmont E.M., Handy A.M., et al., 2012. Impact of caloric restriction on health and survival in rhesus monkeys from the NIA study // Nature. V. 489. № 7415. P. 318–321.
- Maynard C., Weinkove D., 2018. The Gut Microbiota and Ageing. Biochemistry and Cell Biology of Ageing: Part I. Biomedical Science. N.Y.: Springer. P. 351–371. https://doi.org/10.1007/978-981-13-2835-0_12
- McFall-Ngai M.J., 2002. Unseen forces: the influence of bacteria on animal development // Develop. Biol. V. 242. P. 1–14.
- Min K.J., Tatar M., 2006. Drosophila diet restriction in practice: Do flies consume fewer nutrients? // Mech. Ageing Dev. V. 127. № 1. P. 93–96.
- Morais P.B., Martins M.B., Klaczko L.B., Mendonca-Hagler L.C., Hagler A.N., 1995. Microbiology yeast succession in the Amazon fruit Parahancornia amapa as resource partitioning among Drosophila spp. // Appl. Environ. Microbiol. V. 61. № 12. P. 4251–4257.
- Mousseau T.A., Uller T., Wapstra E., Badyaev A.V., 2009. Evolution of maternal effects: past and present // Philos. Trans. R. Soc. Lond. B. Biol. Sci. V. 364. P. 1035–1038.
- Murgier J., Everaerts C., Farine J.P., Ferveur J.F., 2019. Live yeast in juvenile diet induces species-specific effects on Drosophila adult behaviour and fitness // Sci. Rep. V. 9. Art. 8873. https://doi.org/10.1038/s41598-019-45140-z
- Obadia B., Güvener Z.T., Zhang V., Ceja-Navarro J.A., Brodie E.L., et al., 2017. Probabilistic invasion underlies natural gut microbiome stability // Curr. Biol. V. 27. P. 1999–2006.
- Onuma T., Yamauchi T., Kosakamoto H., Kadoguchi H., Kuraishi T., et al., 2023. Recognition of commensal bacterial peptidoglycans defines Drosophila gut homeostasis and lifespan // PLoS Genet. V. 19. № 4. Art. e1010709.
- Pais I.S., Valente R.S., Sporniak M., Teixeira L., 2018. Drosophila melanogaster establishesa species-specific mutualistic interaction with stable gut-colonizing bacteria // PLoS Biol. V. 16. Art. e2005710.
- Partridge L., Alic N., Bjedov I., Piper M.D.W., 2011. Ageing in Drosophila: The role of the insulin/Igf and TOR signalling network // Exp. Gerontol. V. 46. P. 376–381.
- Piškur J., Rozpędowska E., Polakova S., Merico A., Compagno C., 2006. How did Saccharomyces evolve to become a good brewer? // Trends Genet. V. 22. № 4. P. 183–186. https://doi.org/10.1016/j.tig.2006.02.002
- Pokrzywa M., Pawełek K., Kucia W.E., Sarbak S., Chorell E., et al., 2017. Effects of small-molecule amyloid modulators on a Drosophila model of Parkinson’s disease // PLoS One. V. 12. № 9. Art. e0184117. https://doi.org/10.1371/journal.pone.0184117
- Ren C., Webster P., Finkel S., Tower J., 2007. Increased internal and external bacterial load during Drosophila aging without lifespan trade-off // Cell Metab. V. 6. P. 144–152.
- Ridley E., Wong A., Westmiller S., Douglas A., 2012. Impact of the resident microbiota on the nutritional phenotype of Drosophila melanogaster // PLoS One. V. 7. Art. e36765.
- Rolig A.S., Parthasarathy R., Burns A.R., Bohannan B.J.M., Guillemin K., 2015. Individual members of the microbiota disproportionately modulate host innate immune responses // Cell Host Microbe. V. 18. P. 613–620.
- Rosenberg E., Koren O., Reshef L., Efrony R., Zilber-Rosenberg I., 2007. The role of microorganisms in coral health, disease and evolution // Nat. Rev. Microbiol. V. 5. № 5. P. 355–362.
- Rosenberg E., Sharon G., Zilber-Rosenberg I., 2009. The hologenome theory of evolution contains Lamarckian aspects within a Darwinian framework // Environ. Microbiol. V. 11. № 12. P. 2959–2962.
- Ryu J.H., Ha E.M., Lee W.J., 2010. Innate immunity and gut-microbe mutualism in Drosophila // Dev. Comp. Immunol. V. 34. № 4. P. 369–376.
- Sannino D.R., Dobson A.J., Edwards K., Angert E.R., Buchon N., 2018. The Drosophila melanogaster gut microbiota provisions thiamine to its host // mBio. V. 9. № 2. e00155-18.
- Schretter C.E., Vielmetter J., Bartos I., Marka Z., Marka S., et al., 2018. A gut microbial factor modulates locomotor behaviour in Drosophila // Nature. V. 563. P. 402–406.
- Sharon G., Segal D., Ringo J.M., Hefetz A., Zilber-Rosenberg I., Rosenberg E., 2010. Commensal bacteria play a role in mating preference of Drosophila melanogaster // PNAS. V. 107. P. 20051–20056.
- Shukla A.K., Johnson K., Giniger E., 2021. Common features of aging fail to occur in Drosophila raised without a bacterial microbiome // iScience. V. 24. № 7. P. 1–22.
- Simon J.C., Marchesi J.R., Mougel C., Selosse M.A., 2019. Host-microbiota interactions: From holobiont theory to analysis // Microbiome. V. 7. № 1. P. 1–5.
- Smith P., Willemsen D., Popkes M., Metge F., Gandiwa E., et al., 2017. Regulation of life span by the gut microbiota in the short-lived African turquoise killifish // eLife. V. 6. Art. e27014.
- Stamps J.A., Yang L.H., Morales V.M., Boundy-Mills K.L., 2012. Drosophila regulate yeast density and increase yeast community similarity in a natural substrate // PLoS One. V. 7. № 7. Art. e42238.
- Starmer W.T., 1981. A comparison of Drosophila habitats according to the physiological attributes of the associated yeast communities // Evolution. V. 35. № 1. P. 38–52.
- Starmer W.T., Barker J.S.F., Phaff H.J., Fogleman J.C., 1986. Adaptations of Drosophila and yeasts: their interactions with the volatile 2-propanol in the cactus–microorganism–Drosophila model system // Aust. J. Biol. Sci. V. 39. № 1. P. 69–78.
- Starmer W.T., Lachance M.A., Phaff H.J., Heed W.B., 1990. The biogeography of yeasts associated with decaying cactus tissue in North America, the Caribbean and northern Venezuela // Evol. Biol. V. 24. P. 253–296.
- Starmer W.T., Schmedicke R.A., Lachance M.A., 2003. The origin of the cactus-yeast community // FEMS Yeast Res. V. 3. № 4. P. 441–448.
- Storelli G., Defaye A., Erkosar B., Hols P., Royet J., Leulier F., 2011. Lactobacillus plantarum promotes Drosophila systemic growth by modulating hormonal signals through TOR-dependent nutrient sensing // Cell Metab. V. 14. P. 403–414.
- Taormina G., Mirisola M.G., 2014. Calorie restriction in mammals and simple model organisms // BioMed Res. Int. V. 2014. Art. 308690.
- Tatar M., Post S., Yu K., 2014. Nutrient control of Drosophila longevity // Trends Endocrinol. Metab. V. 25. № 10. P. 509–517.
- Thomson J.M., Gaucher E.A., Burgan M.F., De Kee D.W., Li T., et al., 2005. Resurrecting ancestral alcohol dehydrogenases from yeast // Nat. Genet. V. 37. P. 630– 635. https://doi.org/10.1038/ng1553
- Trindade R.C., Resende M.A., Silva C.M., Rosa C.A., 2002. Yeasts associated with fresh and frozen pulps of Brazilian tropical fruits // Syst. Appl. Microbiol. V. 25. № 2. P. 294–300.
- Tukey J., 1949. Comparing individual means in the analysis of variance // Biometrics. V. 5. P. 99–114.
- Vandehoef C., Molaei M., Karpac J., 2020. Dietary adaptation of microbiota in Drosophila requires NF-κB-dependent control of the translational regulator 4E-BP // Cell Rep. V. 31. № 10. Art. 107736.
- Walters A.W., Matthews M.K., Hughes R.C., Malcolm J., Rudman S., et al., 2020. The microbiota influences the Drosophila melanogaster life history strategy // Mol. Ecol. V. 29. № 3. P. 639–953.
- Yakovleva E.U., Merzlikin D.S., Zavialov A.E., Maslov A.A., Mironova E.A., Markov A.V., 2023. Both genes and microbiome modulate the effect of selection for longevity in Drosophila melanogaster // Biol. Bull. Russ. Acad. Sci. V. 13. № 3. P. 258–274. https://doi.org/10.1134/S2079086423030106
- Yakovleva E.U., Naimark E.B., Markov A.V., 2016. Adaptation of Drosophila melanogaster to unfavorable growth medium affects lifespan and age-related fecundity // Biochemistry. V. 81. № 12. P. 1445–1460. https://doi.org/10.1134/S0006297916120063
- Yamada R., Deshpande S.A., Bruce K.D., Mak E.M., Ja W.W., 2015. Microbes promote amino acid harvest to rescue undernutrition in Drosophila // Cell. Rep. V. 10. P. 865–872. https://doi.org/10.1016/j.celrep.2015.01.018
- Yamashita K., Oi A., Kosakamoto H., Yamauchi T., Kadoguchi H., et al., 2021. Activation of innate immunity during development induces unresolved dysbiotic inflammatory gut and shortens lifespan // Dis. Models Mech. V. 14. № 9. Art. dmm049103.
- Yamauchi T., Oi A., Kosakamoto H., Akuzawa-Tokita Y., Murakami T., et al., 2020. Gut bacterial species distinctively impact host purine metabolites during aging in Drosophila // iScience. V. 23. № 9. P. 1–28.
- Zhang F., Wang L., Jin J., Pang Y., Shi H., et al., 2023. Insights into the genetic influences of the microbiota on the life span of a host // Front. Microbiol. V. 14. Art. 1138979. https://doi.org/10.3389/fmicb.2023.1138979
- Zheng J., Mutcherson R., Helfand S.L., 2005. Calorie restriction delays lipid oxidative damage in Drosophila melanogaster // Aging Cell. V. 4. № 4. P. 209–216.
- Zilber-Rosenberg I., Rosenberg E., 2008. Role of microorganisms in the evolution of animals and plants: the hologenome theory of evolution // FEMS Microbiol. Rev. V. 32. № 5. P. 723–735.
Дополнительные файлы










