Synthesis and thermodynamic properties of thulium titanate
- Authors: Gagarin P.G.1, Guskov A.V.1, Guskov V.N.1, Khoroshilov A.V.1, Gavrichev K.S.1
-
Affiliations:
- Kurnakov Institute General and Inorganic Chemistry Russian Academy of Sciences
- Issue: Vol 69, No 9 (2024)
- Pages: 1329-1340
- Section: ФИЗИЧЕСКИЕ МЕТОДЫ ИССЛЕДОВАНИЯ
- URL: https://bakhtiniada.ru/0044-457X/article/view/280502
- DOI: https://doi.org/10.31857/S0044457X24090135
- EDN: https://elibrary.ru/JSOOVE
- ID: 280502
Cite item
Full Text
Abstract
The temperature stages of the crystallization process of thulium titanate of pyrochlore structural type during heating of the hydroxide precursor obtained by the reverse precipitation method have been studied by DSC/TG, X-ray phase analysis and electron microscopy. The molar heat capacity of Tm2Ti2O7 was measured in the temperature range 2–1870 K and on the basis of smoothed heat capacity the calculation of thermodynamic functions at 0–1900 K and the Gibbs energy of formation from oxides and from elements were performed. The contribution to the heat capacity of the Schottky anomaly at 20–320 K is highlighted.
Full Text
Введение
Титанат тулия Tm2Ti2O7 кристаллизуется в структурном типе пирохлора. В отличие от большинства цирконатов и гафнатов редкоземельных элементов, титанат тулия плавится конгруэнтно при температуре 1820 ± 30°С и не имеет фазовых переходов во всей области существования, включая высокотемпературное разупорядочение с образованием твердого раствора структурного типа дефектного флюорита [1–4]. Авторы [5, 6] на основе измерений проводимости сообщили о возможном частичном разупорядочении структуры пирохлора с уменьшением интенсивности характеристических дифракционных отражений при температурах >1670°С. Синтез спеканием оксидов тулия и титана и изучение структуры титаната тулия впервые выполнены в работе [7], а последующие рентгеноструктурные исследования монокристаллических образцов [8, 9] подтвердили его принадлежность к структурному типу пирохлора (Fd3m). Другим способом синтеза титанатов редкоземельных элементов является совместное осаждение гидроксидов с последующим термическим удалением воды и гидроксильных групп и отжиг при температурах 1200–1500°С. При этом установлено, что интенсивность и четкость дифракционных отражений не зависят от времени отжига, а повышаются с ростом температуры [10]. Для синтеза титанатов также применяется термическое разложение азотнокислых солей [11] и ударно-волновой синтез [12]. Титанаты редкоземельных элементов RE2Ti2O7 структурного типа пирохлора, в том числе Tm2Ti2O7, привлекают внимание исследователей благодаря сочетанию электрических, магнитных и термических свойств наряду с высокими температурами плавления, отсутствием структурных превращений и химической устойчивостью [13]. Они представляют практический интерес благодаря ионной проводимости [14], прозрачности в видимом диапазоне [15], низкой теплопроводности [16] и т.д. В последнее время титанаты RE рассматриваются в качестве потенциальных материалов для иммобилизации радиоактивных отходов, в частности плутония [17]. Титанаты лантаноидов представляют удобные объекты для магнитных исследований, являясь антиферромагнитными материалами с высокой степенью фрустрации [18, 19]. Вместе с тем при изучении магнитных свойств титаната тулия сделан вывод о том, что взаимодействие ионов тулия с кристаллическим полем доминирует над обменными взаимодействиями, снимая вырождение основного фрустрированного состояния [20]. Измерение теплоемкости титаната тулия в области самых низких температур (<10 K) показало ее плавное стремление к нулевому значению при уменьшении температуры и отсутствии скачка теплоемкости [21], который наблюдается для большинства других титанатов лантаноидов в результате антиферромагнитного упорядочения [19]. Выполненные методом адиабатической калориметрии измерения молярной теплоемкости Tm2Ti2O7 позволили авторам [21] рассчитать стандартные термодинамические функции титаната тулия в интервале температур 5–320 K и оценить вклад аномалии Шоттки в теплоемкость при этих температурах. Энтальпия образования Tm2Ti2O7 при 298 K рассчитана в [22] на основе анализа энтальпий образования цирконатов и гафнатов [23, 24] и уточнена в работе [25] на основании экспериментальных данных по энтальпии растворения титаната тулия в расплаве молибдата натрия при 976 K. Определение термодинамических функций веществ в области низких (<320 K) температур является необходимым, но недостаточным условием для понимания природы термической и химической стойкости, термодинамического моделирования фазовых равновесий и разработки технологии получения высокотемпературных материалов.
Цель настоящей работы – изучение процессов, происходящих при синтезе методом обратного осаждения, измерение теплоемкости титаната тулия Tm2Ti2O7 методами релаксационной, адиабатической и дифференциальной сканирующей калориметрии в области температур 2–1870 K и расчет термодинамических функций.
Экспериментальная часть
В качестве исходных веществ для синтеза титаната тулия Tm2Ti2O7 использовали TiOSO4 · xH2O (99.99 мас. %, Sigma-Aldrich), Tm2O3 (99.998 мас. %, LANHIT), соляную кислоту (35–38 мас. % HCl, ос. ч.) и раствор аммиака (25–28 мас. % NH4OH) производства ООО “Химмед”. Термический анализ проводили методом дифференциальной сканирующей калориметрии/термогравиметрии (ДСК/ТГ) на установке синхронного термического анализа STA 449F1 Jupiter (NETZSCH-Gerätebau GmbH), рентгенофазовый анализ – на дифрактометре Bruker D8 Advance (CuKα-излучение, λ = 1.5418 Å, Ni-фильтр, детектор LYNXEYE, геометрия на отражение) в интервале углов 2θ = 10°–80°. Морфологию образцов исследовали с помощью электронного микроскопа TescanAmber с неиммерсионной колонной BrightBeam и ультравысоким разрешением 1.3 нм при ускоряющем напряжении 1 кВ. Ускоряющее напряжение составляло от 2 до 10 кВ. Измерения теплоемкости титаната тулия в области 2–42 K проводили методом релаксационной калориметрии на установке PPMS-9 (QuantumDesign Inc. [26]) при охлаждении образца. Точность измерения теплоемкости методом релаксационной калориметрии, по данным изготовителя, составляла ±5%. Образцы для измерений теплоемкости этим методом готовили в виде таблеток (диаметр 3 мм, толщина ~1 мм) прессованием из порошкообразного титаната тулия с последующим отжигом при 1673 K в течение 4 ч. Теплоемкость Tm2Ti2O7 измеряли методом адиабатической калориметрии в интервале температур 6–341 K с использованием автоматической установки БКТ-3 с блоком Аксамит-9 (ИП Малышев). Измерения температуры образца проводили с помощью Fe–Rh-термометра сопротивления (шкала ITS-90). Проверка качества получаемых значений, выполненная по результатам измерения теплоемкости бензойной кислоты марки К-2, показала, что отклонение от литературных данных [27] в области 10–50 K не превышает 2% и уменьшается при более высоких температурах (50–340 K) до 0.25%. В области температур 329–1869 K измерения теплоемкости проводили в дифференциальном сканирующем калориметре DSC 404 F1 Pegasus (NETZSCH-Gerätebau GmbH). Для определения теплоемкости использовали метод отношений с изотермическими сегментами (DIN ISO 11357-4) в платинородиевых тиглях с крышкой в инертной атмосфере со скоростью нагревания 10 град/мин. Калибровка прибора была выполнена по металлическим стандартам. Пределы допускаемых абсолютных погрешностей измерения температуры, удельной теплоты и удельной теплоемкости составляют до 3 K, до 3% и от 1 до 3.5% соответственно. Для проверки качества работы установки была измерена теплоемкость корунда. При расчете мольной теплоемкости использовали значение мольной массы M.м.(Tm2Ti2O7) = 545.595 г/моль, вычисленное по данным [28].
Результаты и обсуждение
Синтез проводили методом обратного осаждения. Для этого сульфат титанила растворяли в воде, а оксид тулия – в соляной кислоте. Моляльную концентрацию металлов в растворах в пересчете на оксиды определяли весовым методом, осаждая гидроксиды титана и тулия водным раствором аммиака с последующим высушиванием и прокаливанием до температуры 1000°C. Для получения стехиометрического соотношения металлов в рабочем растворе смешивание рассчитанных количеств исходных растворов проводили весовым методом. (Применение моляльных концентраций, во-первых, обусловлено возможностью использовать более концентрированные растворы за счет того, что точность взвешивания значительно превышает точность определения объема, во-вторых, моляльные концентрации не зависят от температуры.) Приготовленный раствор по каплям при интенсивном перемешивании приливали к концентрированному раствору аммиака, взятому в избытке. Осадок отмывали, центрифугировали и высушивали при 90°C в течение 72 ч. Затем проводили ступенчатый отжиг с выдержкой образца на финальной стадии при температуре 1500°C в течение 4 ч для формирования структуры пирохлора. Температуры ступеней отжига определяли по результатам ДСК/ТГ, полученным на установке синхронного термического анализа STA 449F1 Jupiter (рис. 1).
Рис. 1. ДСК/ТГ высушенного образца прекурсора Tm2Ti2O7
В отличие от приведенных в работе [6] результатов ДСК/ТГ гидроксидного прекурсора, когда при нагревании до 1200°C наблюдали потерю массы, соответствующую ~13 моль воды в расчете на 1 моль титаната тулия, и два экзотермических эффекта при 720 и 800°C, в настоящей работе получена несколько иная картина. Остаток массы при нагревании до 1400°C составил ~85%, что соответствует удалению ~5.5 молей H2O. На ДСК-кривой высушенного образца наблюдаются два термических эффекта. Эндотермический эффект в интервале температур 100–400°C соответствует удалению внешней воды; продолжение нагрева до ~800°C сопровождается потерей большей части гидроксильных групп со следами взаимодействия компонентов при 600–800°C; при достижении 800°C происходит экзотермический процесс образования наноразмерного титаната тулия, при этом наблюдается дополнительная потеря массы, соответствующая ~1 моль H2O. Проведенные дифракционные исследования (рис. 2) показали, что подвергнутые отжигу при 500°С образцы являются аморфными. Отжиг при 1000°С приводит к образованию наноразмерного титаната тулия (r ≤ 40 нм по Дебаю–Шереру) структурного типа пирохлора, в отличие от цирконатов и гафнатов лантаноидов, у которых первоначально образуется метастабильная наноразмерная фаза, а превращение в стабильную фазу пирохлора происходит только при температурах 1550–1600°С [29, 30]. Последующий отжиг Tm2Ti2O7 при 1200°С (4 ч) приводит к увеличению размера частиц, который, однако, остается близким к наноразмеру (r ≤ 96 нм), но финальная обработка при 1500°C в течение 4 ч приводит к существенному улучшению дифракционной картины.
Рис. 2. Рентгеновская дифракция образцов прекурсора Tm2Ti2O7, отожженных при 500, 1000, 1200 и 1500°С
Дифракционные отражения с повышением температуры отжига становятся более четкими, а относительная интенсивность рефлексов, характерных для структуры пирохлора, увеличивается более чем в два раза при переходе от температуры отжига 1200 к 1500°С, что свидетельствует об улучшении закристаллизованности и увеличении размеров кристаллитов. Морфологические исследования (рис. 3) подтвердили изменение структуры от наноразмерной до кристаллической с увеличением температуры отжига.
Рис. 3. Морфология образцов титаната тулия: слева направо температура отжига 1000, 1200 и 1500°С
Дифракционные исследования показали, что полученный образец титаната тулия является однофазным и относится к структурному типу пирохлора (Fd3m) с параметром кубической ячейки а = 10.052(1) Å, что соответствует литературным данным (табл. 1). Согласно результатам электронной микроскопии, полученный при 1500°С образец состоит из кристаллитов размером >100 нм и не является наноразмерным, что подтверждается анализом дифракционных отражений с помощью соотношения Дебая–Шерера. Отсутствие посторонних примесей и элементный состав образца подтверждены методом EDX-спектроскопии. Для оценки равномерности распределения элементов было выполнено картирование по тулию, титану и кислороду.
Таблица 1. Способ синтеза, температура окончательного отжига и структурный тип титаната тулия
Параметр а, Å | Способ синтеза | Температура отжига, °С | Структурный тип | Литература |
10.052(1) | Соосаждение | 1500 | Пирохлор | Настоящая работа |
10.044 | Соосаждение | 1400 | Пирохлор | [6] |
10.038 | Соосаждение | 1710 | Пирохлор | [6] |
10.050 | Спекание | 1200–1350 | Пирохлор | [7] |
10.0638950 | Рост из расплава | 1235 | Пирохлор | [9] |
10.054 | – | – | Пирохлор | [13] |
10.0561(5) | Соосаждение | 1200 | Пирохлор | [21] |
10.0694(6) | Рост из расплава | 1235 | Пирохлор | [25] |
10.0537(2) | Рост из расплава | 1400–1450 | Пирохлор | [25] |
Термодинамические функции. Теплоемкость титаната тулия Tm2Ti2O7 измерена методами релаксационной (в области 2.03–42.40 K), адиабатической (в интервале 5.9–341.4 K) и дифференциальной сканирующей калориметрии при 329–1869 K. Полученные данные приведены в табл. 2 и на рис. 4, из которых видно, что температурная зависимость теплоемкости носит монотонный характер, признаки структурных превращений во всей области измерений отсутствуют, а результаты, полученные разными методами, хорошо согласуются между собой.
Таблица 2. Экспериментальная теплоемкость титаната тулия Tm2Ti2O7
T, K | Cp, Дж/(моль K) | T, K | Cp, Дж/(моль K) | T, K | Cp, Дж/(моль K) |
Релаксационная калориметрия | |||||
2.027 | 0.04362 | 5.910 | 0.1000 | 17.41 | 7.143 |
2.215 | 0.04395 | 6.476 | 0.1222 | 19.04 | 9.699 |
2.419 | 0.04478 | 7.127 | 0.1654 | 20.71 | 12.93 |
2.643 | 0.04499 | 7.795 | 0.2330 | 22.67 | 16.40 |
2.887 | 0.04623 | 8.526 | 0.3394 | 24.79 | 19.68 |
3.157 | 0.04762 | 9.320 | 0.5105 | 27.19 | 23.03 |
3.452 | 0.04979 | 10.19 | 0.7879 | 29.73 | 27.18 |
3.775 | 0.05312 | 11.13 | 1.187 | 32.53 | 31.40 |
4.130 | 0.05602 | 12.22 | 1.801 | 35.55 | 35.74 |
4.517 | 0.06364 | 13.32 | 2.658 | 38.96 | 39.66 |
4.944 | 0.07085 | 14.56 | 3.791 | 42.40 | 45.44 |
5.399 | 0.08193 | 15.94 | 5.267 | ||
Адиабатическая калориметрия | |||||
5.929 | 0.5277 | 92.542 | 96.174 | 189.07 | 176.75 |
9.064 | 0.8974 | 94.500 | 98.193 | 191.03 | 177.94 |
10.130 | 1.2837 | 96.461 | 100.11 | 192.99 | 179.24 |
13.874 | 3.6022 | 98.424 | 102.09 | 194.95 | 180.48 |
15.171 | 4.9365 | 100.38 | 104.19 | 196.91 | 181.41 |
16.795 | 6.8826 | 102.35 | 106.29 | 198.86 | 182.64 |
18.382 | 9.1485 | 104.31 | 108.07 | 200.82 | 183.54 |
20.013 | 11.733 | 106.28 | 109.80 | 203.75 | 185.57 |
23.276 | 16.281 | 108.25 | 111.86 | 207.69 | 187.55 |
24.875 | 19.515 | 110.21 | 113.88 | 211.62 | 189.73 |
25.486 | 19.714 | 112.18 | 115.90 | 215.54 | 191.60 |
26.621 | 22.827 | 114.15 | 117.60 | 219.45 | 193.68 |
27.532 | 24.376 | 116.12 | 119.52 | 223.37 | 195.76 |
28.373 | 25.693 | 118.09 | 121.38 | 227.28 | 197.61 |
30.151 | 27.965 | 120.06 | 123.28 | 231.18 | 199.33 |
31.951 | 29.811 | 122.04 | 125.01 | 235.08 | 201.13 |
33.402 | 33.078 | 124.01 | 127.01 | 238.98 | 202.65 |
35.085 | 35.255 | 125.98 | 128.86 | 242.87 | 204.21 |
36.910 | 37.388 | 127.96 | 130.59 | 246.75 | 205.62 |
38.739 | 39.642 | 129.93 | 132.35 | 250.62 | 207.19 |
40.586 | 42.169 | 131.90 | 133.85 | 254.48 | 208.66 |
42.441 | 44.357 | 133.88 | 135.67 | 258.34 | 210.06 |
44.302 | 46.424 | 135.85 | 137.56 | 262.18 | 211.42 |
46.169 | 48.454 | 137.83 | 139.22 | 266.01 | 212.79 |
48.047 | 50.496 | 139.80 | 140.85 | 269.83 | 214.01 |
49.930 | 52.546 | 141.78 | 142.45 | 273.64 | 215.27 |
51.863 | 54.558 | 143.76 | 143.97 | 277.43 | 216.37 |
53.752 | 56.564 | 145.73 | 145.78 | 281.21 | 217.61 |
55.649 | 58.528 | 147.70 | 147.38 | 284.97 | 218.79 |
57.555 | 60.490 | 149.68 | 148.90 | 288.71 | 219.99 |
59.468 | 62.274 | 151.65 | 150.50 | 292.43 | 220.99 |
61.382 | 63.990 | 153.63 | 152.02 | 296.13 | 222.03 |
63.303 | 65.884 | 155.60 | 153.40 | 299.80 | 222.81 |
65.228 | 67.586 | 157.57 | 155.01 | 303.29 | 223.81 |
67.156 | 69.489 | 159.55 | 156.69 | 306.90 | 224.58 |
69.085 | 71.434 | 161.52 | 158.14 | 310.48 | 225.53 |
71.018 | 73.513 | 163.49 | 159.54 | 314.03 | 226.23 |
72.957 | 75.601 | 165.47 | 161.06 | 317.55 | 227.13 |
74.897 | 77.810 | 167.44 | 162.35 | 321.05 | 227.88 |
76.835 | 80.083 | 169.41 | 163.78 | 324.52 | 228.66 |
77.432 | 83.396 | 171.38 | 165.14 | 327.96 | 229.51 |
78.659 | 82.475 | 173.35 | 166.70 | 331.37 | 230.25 |
78.777 | 82.401 | 175.32 | 167.91 | 334.75 | 231.05 |
80.828 | 84.716 | 177.29 | 169.02 | 338.11 | 231.71 |
82.776 | 86.444 | 179.25 | 170.45 | 341.43 | 232.46 |
84.727 | 88.152 | 181.21 | 171.79 | 344.72 | 232.99 |
86.675 | 90.165 | 183.18 | 173.09 | 347.97 | 233.57 |
88.629 | 92.151 | 185.15 | 174.37 |
|
|
Дифференциальная сканирующая калориметрия | |||||
329.0 | 229.6 | 849.0 | 270.3 | 1369.0 | 281.7 |
339.0 | 232.1 | 859.0 | 270.5 | 1379.0 | 281.8 |
349.0 | 234.3 | 869.0 | 270.8 | 1389.0 | 281.8 |
359.0 | 236.4 | 879.0 | 271.2 | 1399.0 | 281.9 |
369.0 | 238.3 | 889.0 | 271.5 | 1409.0 | 282.1 |
379.0 | 240.1 | 899.0 | 271.5 | 1419.0 | 282.4 |
389.0 | 241.7 | 909.0 | 271.5 | 1429.0 | 282.7 |
399.0 | 243.2 | 919.0 | 271.6 | 1439.0 | 282.9 |
409.0 | 244.5 | 929.0 | 271.9 | 1449.0 | 283.2 |
419.0 | 245.8 | 939.0 | 272.3 | 1459.0 | 283.5 |
429.0 | 247.0 | 949.0 | 272.7 | 1469.0 | 283.7 |
439.0 | 248.1 | 959.0 | 273.2 | 1479.0 | 283.9 |
449.0 | 249.2 | 969.0 | 273.6 | 1489.0 | 283.9 |
459.0 | 250.2 | 979.0 | 270.0 | 1499.0 | 283.9 |
469.0 | 251.1 | 989.0 | 274.2 | 1509.0 | 283.9 |
479.0 | 252.0 | 999.0 | 274.3 | 1519.0 | 283.9 |
489.0 | 252.9 | 1009.0 | 274.5 | 1529.0 | 284.0 |
499.0 | 253.8 | 1019.0 | 274.8 | 1539.0 | 284.3 |
509.0 | 254.7 | 1029.0 | 274.8 | 1549.0 | 284.6 |
519.0 | 255.6 | 1039.0 | 275.0 | 1559.0 | 284.8 |
529.0 | 256.4 | 1049.0 | 275.2 | 1569.0 | 285.1 |
539.0 | 257.1 | 1059.0 | 275.3 | 1579.0 | 285.3 |
549.0 | 257.9 | 1069.0 | 275.6 | 1589.0 | 285.2 |
559.0 | 258.6 | 1079.0 | 275.9 | 1599.0 | 285.2 |
569.0 | 259.2 | 1089.0 | 276.1 | 1609.0 | 285.4 |
579.0 | 259.8 | 1099.0 | 276.4 | 1619.0 | 286.0 |
589.0 | 260.4 | 1109.0 | 276.7 | 1629.0 | 286.4 |
599.0 | 261.0 | 1119.0 | 276.9 | 1639.0 | 286.7 |
609.0 | 261.6 | 1129.0 | 277.1 | 1649.0 | 286.7 |
619.0 | 262.1 | 1139.0 | 277.4 | 1659.0 | 286.7 |
629.0 | 262.6 | 1149.0 | 277.5 | 1669.0 | 286.7 |
639.0 | 262.9 | 1159.0 | 277.5 | 1679.0 | 286.7 |
649.0 | 263.1 | 1169.0 | 277.4 | 1689.0 | 287.1 |
659.0 | 263.3 | 1179.0 | 277.5 | 1699.0 | 287.3 |
669.0 | 263.5 | 1189.0 | 277.6 | 1709.0 | 287.4 |
679.0 | 263.9 | 1199.0 | 277.9 | 1719.0 | 287.6 |
689.0 | 264.4 | 1209.0 | 278.4 | 1729.0 | 287.7 |
699.0 | 265.0 | 1219.0 | 278.9 | 1739.0 | 287.9 |
709.0 | 265.4 | 1229.0 | 279.3 | 1749.0 | 288.0 |
719.0 | 265.8 | 1239.0 | 279.4 | 1759.0 | 288.2 |
729.0 | 266.2 | 1249.0 | 279.5 | 1769.0 | 288.4 |
739.0 | 266.6 | 1259.0 | 279.6 | 1779.0 | 288.5 |
749.0 | 267.0 | 1269.0 | 279.8 | 1789.0 | 288.9 |
759.0 | 267.4 | 1279.0 | 280.0 | 1799.0 | 289.0 |
769.0 | 267.9 | 1289.0 | 280.2 | 1809.0 | 289.2 |
779.0 | 268.3 | 1299.0 | 280.5 | 1819.0 | 289.4 |
789.0 | 268.6 | 1309.0 | 280.6 | 1829.0 | 289.5 |
799.0 | 269.0 | 1319.0 | 280.7 | 1839.0 | 289.6 |
809.0 | 269.5 | 1329.0 | 280.6 | 1849.0 | 289.7 |
819.0 | 270.0 | 1339.0 | 280.8 | 1859.0 | 289.8 |
829.0 | 270.1 | 1349.0 | 281.2 | 1869.0 | 289.8 |
839.0 | 270.2 | 1359.0 | 281.5 |
|
|
Рис. 4. Теплоемкость титаната тулия по данным: 1 – релаксационной (2–42.4 K), 2 – адиабатической (5.9–341.4 K) и 3 – дифференциальной сканирующей (329–1869 K) калориметрии. На врезках показаны области самых низких температур и стыковки результатов измерений методами адиабатической и дифференциальной сканирующей калориметрий
Сглаживание экспериментальных значений теплоемкости выполнено в области температур 0–18 K полиномом вида Cp , а в интервале 14–1900 K программным комплексом CpFit [31, 32].
Параметры сглаживающих функций представлены в табл. 3. Сглаженные значения теплоемкости, а также энтропии и приращения энтальпии, рассчитанные по нашим данным, приведены в табл. 4.
Таблица 3. Параметры сглаживающих функций
Cp , T = 0–18 K | |||||
i | Ai | ||||
1 | 0.01901 | ||||
2 | 0.003366 | ||||
3 | –0.001478 | ||||
4 | 0.00003887 | ||||
5 | 0.00002166 | ||||
6 | –0.0000008760 | ||||
14–1900 K CpFit: Cp(T) = 3RΣαi[(θi /T)2eθi/T / (eθi/T – 1)2] | |||||
(R – универсальная газовая постоянная, αi и θi – варьируемые параметры) | |||||
i | αi | Δ(αi)а | s(αi)б | θi, K | Δ(θi)а, K |
0.3627 | 0.03218 | 0.01639 | 2171 | 277.5 | 141.3 |
0.5149 | 0.3247 | 0.1653 | 67.26 | 10.40 | 5.295 |
4.142 | 0.2073 | 0.1056 | 705.1 | 16.97 | 8.640 |
2.352 | 0.2706 | 0.1378 | 116.0 | 6.814 | 3.470 |
1.313 | 0.07054 | 0.03592 | 6915.38 | 367.2 | 187.0 |
3.883 | 0.1892 | 0.09636 | 370.3 | 11.21 | 5.708 |
аΔ(ji) – 95%-ный доверительный интервал для αi. бs(ji) – cтандартное отклонение для параметров ji.
Таблица 4. Сглаженные значения теплоемкости, энтропии и приращения энтальпии титаната тулия Tm2Ti2O7 в области 0–1900 K, Р = 101.3 кПа
T, K | Cp, Дж/(моль K) | S, Дж/(моль K) | H(T) – H(0 K), Дж/(моль K) |
0 | 0 | 0 | 0 |
1 | 0.020959 | 0.02022 | 0.01027 |
2 | 0.040920 | 0.04110 | 0.04155 |
3 | 0.055193 | 0.06061 | 0.09016 |
4 | 0.063849 | 0.07777 | 0.1500 |
5 | 0.072746 | 0.09288 | 0.2179 |
6 | 0.093921 | 0.1077 | 0.2995 |
7 | 0.14535 | 0.1255 | 0.4157 |
8 | 0.25007 | 0.1510 | 0.6079 |
9 | 0.43471 | 0.1902 | 0.9425 |
10 | 0.72729 | 0.2501 | 1.513 |
12 | 1.7385 | 0.4626 | 3.875 |
14 | 3.4161 | 0.8478 | 8.916 |
16 | 5.6816 | 1.447 | 17.93 |
18 | 8.3743 | 2.268 | 31.93 |
20 | 11.415 | 3.305 | 51.67 |
25 | 19.713 | 6.735 | 129.3 |
30 | 27.810 | 11.06 | 248.4 |
35 | 35.044 | 15.90 | 405.9 |
40 | 41.404 | 21.00 | 597.4 |
45 | 47.132 | 26.21 | 818.9 |
50 | 52.489 | 31.46 | 1068 |
60 | 62.794 | 41.94 | 1645 |
70 | 73.054 | 52.39 | 2324 |
80 | 83.367 | 62.82 | 3106 |
90 | 93.638 | 73.23 | 3991 |
100 | 103.75 | 83.62 | 4978 |
110 | 113.62 | 93.98 | 6065 |
120 | 123.16 | 104.3 | 7250 |
130 | 132.31 | 114.5 | 8527 |
140 | 141.02 | 124.6 | 9894 |
150 | 149.27 | 134.6 | 11350 |
160 | 157.03 | 144.5 | 12880 |
170 | 164.30 | 154.3 | 14490 |
180 | 171.08 | 163.8 | 16160 |
190 | 177.40 | 173.3 | 17910 |
200 | 183.27 | 182.5 | 19710 |
210 | 188.72 | 191.6 | 21570 |
220 | 193.77 | 200.5 | 23480 |
230 | 198.45 | 209.2 | 25440 |
240 | 202.78 | 217.7 | 27450 |
250 | 206.80 | 226.1 | 29500 |
260 | 210.53 | 234.3 | 31590 |
270 | 213.99 | 242.3 | 33710 |
280 | 217.21 | 250.1 | 35860 |
290 | 220.20 | 257.8 | 38050 |
298.15 | 222.49 ± 1.21 | 264.0 ± 2.3 | 39860 ± 210 |
300 | 222.99 | 265.3 | 40270 |
310 | 225.59 | 272.7 | 42510 |
320 | 228.02 | 279.9 | 44780 |
330 | 230.29 | 286.9 | 47070 |
340 | 232.41 | 293.8 | 49380 |
350 | 234.41 | 300.6 | 51720 |
400 | 242.73 | 332.5 | 63660 |
450 | 248.99 | 361.5 | 75960 |
500 | 253.82 | 387.9 | 88530 |
550 | 257.65 | 412.3 | 101300 |
600 | 260.75 | 434.9 | 114300 |
650 | 263.30 | 455.9 | 127400 |
700 | 265.45 | 475.4 | 140600 |
750 | 267.29 | 493.8 | 153900 |
800 | 268.91 | 511.1 | 167300 |
850 | 270.36 | 527.5 | 180800 |
900 | 271.69 | 543.0 | 194400 |
950 | 272.92 | 557.7 | 208000 |
1000 | 274.08 | 571.7 | 221700 |
1100 | 276.26 | 597.9 | 249200 |
1200 | 278.31 | 622.1 | 276900 |
1300 | 280.27 | 644.4 | 304800 |
1400 | 282.15 | 665.3 | 333000 |
1500 | 283.96 | 684.8 | 361300 |
1600 | 285.68 | 703.2 | 390000 |
1700 | 287.31 | 720.5 | 418300 |
1800 | 288.86 | 737.0 | 447200 |
1900 | 290.31 | 752.7 | 476200 |
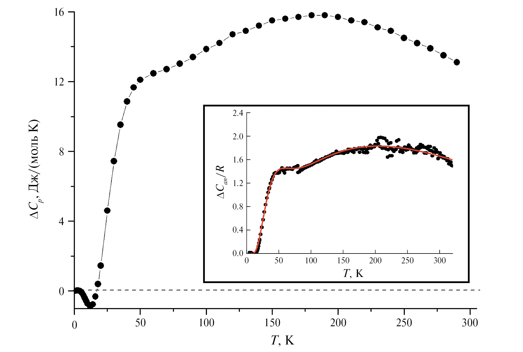
Сглаженные значения теплоемкости, а также рассчитанные величины энтропии и приращения энтальпии в интервале температур 15–320 K в пределах погрешностей адиабатических измерений практически совпадают c результатами работы [21], в то время как в области самых низких температур (0–15 K) данные [21] кажутся завышенными, что, впрочем, не оказывает заметного влияния на величины стандартных функций при 298.15 K. Главной особенностью поведения теплоемкости титаната тулия, экспериментально выявленной в [21] и подтвержденной настоящими исследованиями, является отсутствие признаков скачка теплоемкости в области самых низких (0–5 K) температур, связанного с антиферромагнитным упорядочением спинов 4f-электронов при понижении температуры, в то время как магнитный переход с максимумом при ~1–2 K наблюдается у большинства парамагнитных соединений лантаноидов структурного типа пирохлора, за исключением европия [33]. Полученный результат подтверждает выводы работы [20] о том, что взаимодействие 4f-электронов Tm3+ с кристаллическим полем доминирует над обменными взаимодействиями и снимает вырождение основного фрустрированного состояния. Взаимодействие 4f-электронов с кристаллическим полем продолжается во всем температурном интервале существования парамагнитного соединения, влияние этого процесса на теплоемкость принято называть аномалией Шоттки [34]. Определить вклад аномалии Шоттки в теплоемкость можно из спектроскопических данных либо вычитанием решеточной теплоемкости из экспериментально измеренной. Поскольку определить температурную зависимость решеточной теплоемкости довольно сложно, для оценки вида аномалии Шоттки можно использовать теплоемкость диамагнитного аналога, а именно – титаната лютеция Lu2Ti2O7. С использованием данных по теплоемкости Lu2Ti2O7 из работы [21] определили общий вид аномалии Шоттки (рис. 5). Полученная разность совпадает как по форме, так и по величине с приведенной в [21] (рис. 4, врезка). Исключение составляет область температур >20 K, где разность становится отрицательной, т.е. Cp(Lu2Ti2O7) > Cp(Tm2Ti2O7). Оценить вклад аномалии Шоттки при температурах >320 K невозможно из-за отсутствия данных по теплоемкости титаната лютеция в этой области. Однако имеется возможность сравнить экспериментально полученную и рассчитанную по Нейману–Коппу из теплоемкостей оксидов Tm2O3 [35] и TiO2 [36] молярную теплоемкость титаната тулия (рис. 6).
Рис. 5. Разность теплоемкостей титанатов тулия и лютеция: ΔCp = Cp(Tm2Ti2O7) – Cp(Lu2Ti2O7). Теплоемкость титаната лютеция заимствована из работы [21]. На врезке – разность ΔCp титанатов тулия и лютеция из той же работы
Рис. 6. Молярная теплоемкость Tm2Ti2O7: 1 – измеренная методом ДСК и 2 – рассчитанная по Нейману–Коппу из теплоемкостей простых оксидов
Из рисунка видно, что модельная теплоемкость Tm2Ti2O7, рассчитанная из теплоемкостей простых оксидов Tm2O3 [35] и TiO2 [36] (кривая 2, рис. 6) несколько завышена по сравнению с экспериментально измеренной (кривая 1), однако находится в пределах доверительного интервала ±2.5 точности метода ДСК.
Полученные данные по термодинамическим функциям титаната тулия позволяют с использованием литературных данных рассчитать величину энергии Гиббса образования из оксидов и элементов.
∆fGox(Tm2Ti2O7, 298.15 K) = = ∆fHox(Tm2Ti2O7, 298.15 K) – 298.15 × × [S(Tm2Ti2O7, 298.15 K) – S(Tm2O3, 298.15 K) – – 2 × S(TiO2, 298.15 K)] = –79100 – 298.15 × × [264.0 – 139.7 – 2 × 50.333] = – 79100 – – 298.15 × 23.634 = –86 146 Дж/моль.
∆fG(Tm2Ti2O7, 298.15 K) = ∆fH(Tm2Ti2O7, 298.15 K) – 298.15 × [S(Tm2Ti2O7, 298.15 K) – – 2 × S(Tm, 298.15 K) – 2 × S(Ti, 298.15 K) – – 3.5 × S(O2, 298.15 K)] = –3 903 500 – 298.15 × × [264.0 – 2 × 74.014 – 2 × 30.626 – 3.5 × × 205.036] = –3 903 500 – 298.15 × [264.0 – – 148.028 – 61.252 – 717.626] = –3 903 500 – – 298.15 × (–662.906) = –3 903 500 + 197 645 = = –3 705 855 Дж/моль.
Величины энтальпии образования из оксидов и элементов заимствованы из [25], а данные по энтропии Tm2O3 и TiO2 – из [35, 37].
Заключение
Выполнен синтез титаната тулия методом обратного осаждения и рассмотрены последовательные стадии нагрева гидроксидного прекурсора с использованием методов ДСК/ТГ, рентгенофазового анализа, растровой электронной микроскопии. Показано, что образование наноразмерного титаната тулия структурного типа пирохлора происходит уже при 1000°С. Последующий отжиг при 1200°С приводит к пограничному размеру кристаллитов (~100 нм), и в результате выдержки при 1500°С в течение 4 ч происходит полная кристаллизация образца и улучшение дифракционной картины. Методами релаксационной, адиабатической и дифференциальной сканирующей калориметрии выполнены измерения молярной теплоемкости титаната тулия в интервале температур 2–1870 K и рассчитаны энтропия и приращение энтальпии в области температур до 1900 K. Установлено отсутствие скачка теплоемкости в области самых низких температур (2–10 K) и оценен вклад в теплоемкость аномалии Шоттки при 20–320 K. Показано, что оценка теплоемкости титаната тулия из теплоемкости простых оксидов дает завышенный результат. Рассчитана величина энергии Гиббса образования Tm2Ti2O7 со структурой пирохлора из оксидов и элементов при температуре 298.15 K. Полученные данные могут быть использованы для оценки термодинамической стабильности титаната тулия в области высоких температур, а также для разработки технологии материалов на его основе.
Финансирование работы
Исследование выполнено рамках государственного задания с использованием оборудования ЦКП ФМИ ИОНХ РАН.
Конфликт интересов
Авторы заявляют, что у них нет конфликта интересов.
About the authors
P. G. Gagarin
Kurnakov Institute General and Inorganic Chemistry Russian Academy of Sciences
Author for correspondence.
Email: guskov@igic.ras.ru
Russian Federation, 119991, Moscow
A. V. Guskov
Kurnakov Institute General and Inorganic Chemistry Russian Academy of Sciences
Email: guskov@igic.ras.ru
Russian Federation, 119991, Moscow
V. N. Guskov
Kurnakov Institute General and Inorganic Chemistry Russian Academy of Sciences
Email: guskov@igic.ras.ru
Russian Federation, 119991, Moscow
A. V. Khoroshilov
Kurnakov Institute General and Inorganic Chemistry Russian Academy of Sciences
Email: guskov@igic.ras.ru
Russian Federation, 119991, Moscow
K. S. Gavrichev
Kurnakov Institute General and Inorganic Chemistry Russian Academy of Sciences
Email: guskov@igic.ras.ru
Russian Federation, 119991, Moscow
References
- Тимофеев Н.И., Салибеков Г.Е., Романович И.В. // Изв. АН СССР. Неорган. материалы. 1971. Т. 7. С. 890.
- Щербакова Л.Г., Мамсурова Л.Г., Суханова Г.Е. // Успехи химии. 1979. Т. 48. С. 423.
- Комиссарова Л.Н., Шацкий В.М., Пушкина Г.Я. и др. Соединения редкоземельных элементов. Карбонаты, оксалаты, нитраты, титанаты. М.: Наука, 1984. 235 с.
- Арсеньев П.А., Глушкова В.Б., Евдокимов А.А. и др. Соединения редкоземельных элементов. Цирконаты, гафнаты, ниобаты, танталаты, антимонаты. М.: Наука, 1985. 261 с.
- Шляхтина А.В., Карягина О.К., Щербакова Л.Г. // Неорган. материалы. 2004. Т. 40. С. 67.
- Шляхтина А.В., Кнотько А.В., Ларина Л.Л. и др. // Неорган. материалы. 2004. Т. 40. С. 1495.
- Brixner L.H. // Inorg. Chem. 1964. V. 3. P. 1065.
- Ершова Л.М., Игнатьев Б.В., Кусалова Л.П. и др. // Изв. АН СССР. Неорган. материалы. 1977. Т. 13. С. 2042.
- Farmer J.M., Boather L.A., Chacoumakos B.C. et al. // J. Alloys Compd. 2014. V. 605. P. 63. https://doi.org/10.1016/j.jallcom.2014.03.153
- Саркисов Э.С., Бердников В.Р., Головина Г.П. // Изв. АН СССР. Неорган. материалы. 1967. Т. 3. С. 1637.
- Тимофеева Н.И., Крайнова З.И., Сакович В.Н. // Изв. АН СССР. Неорган. материалы. 1973. Т. 9. С. 1756.
- Колесников А.В., Щербакова Л.Г., Бреусов О.Н. // Докл. АН СССP. 1980. Т. 251. С. 142.
- Subramanian M., Aravamudan G., Subba Rao. // Prog. Solid State Chem. 1983. V. 15. P. 55.
- Kramer S.A., Tuller H.L. // Solid State Ionics. 1995. V. 82. P. 15. https://doi.org/10.1016/0167-2738(95)00156-Z
- Wang Z., Wang X., Zhou G. et al. // J. Eur. Ceram. Soc. 2019. V. 39. P. 3229. https://doi.org/10.1016/j.jeurceramsoc.2019.04.018
- Vassen R., Jarligo M.O., Steinke T. et al. // Surf. Coat. Technol. 2010. V. 205. P. 938. https://doi.org /10.1016/j.surfcoat.2010.08.151
- Yang D.Y., Xu C.P., Fu E.G. et al. // Nucl. Instrum. Methods. Phys. Res., Sect. B. 2015. V. 356–357. P. 69. https://doi.org/10.1016/j.nimb.2015.04.058
- Schiffer P., Ramirez A.P. // Comments Condens. Matter Phys. 1996. V. 18. P. 21.
- Greedan J.E. // J. Alloys Compd. 2006. V. 412. P. 444. https://doi.org/10.1016/j.jallcom.2024.12.084
- Zinkin M.P., Harris M.J., Tun Z. et al. // J. Phys.: Condens. Matter. 1996. V. 8. P. 103.
- Bissengalieva M.R., Knyazev A.V., Bespyatov M.A. et al. // J. Chem. Thermodyn. 2022. V. 165. P. 106646. https://doi.org/10.1016/j.jct.2021.103346
- Резницкий Л.А. // Неорган. материалы. 1993. Т. 29. С. 1310.
- Корнеев В.Р., Глушкова В.Б., Келер Э.К. // Изв. АН СССР. Неорган. материалы. 1971. Т. 7. С. 886.
- Папуцкий Ю.Н., Кржижановская В.А., Глушкова В.Б. // Изв. АН СССР. Неорган. материалы. 1974. Т. 10. С. 1551.
- Helean K.B., Ushakov S.V., Brown C.E. et al. // J. Solid State Chem. 2004. V. 177. P. 1858. https://doi.org/10.1016/j.jssc.2004.01.009
- Rosen P.F., Woodfield B.F. // J. Chem. Thermodyn. 2020. V. 141. P. 105974. https://doi.org/10.1016/j.jct.2019.105974
- Sabbah R., Xu-wu A., Chickos J.S. et al. // Thermochim. Acta. 1999. V. 331. P. 93. https://doi.org/10.1016/S0040-6031(99)00009-X
- Prohaska T., Irrgeher J., Benefield J. et al. // Pure Appl. Chem. 2022. V. 94. P. 573. https://doi.org/10.1515/pac-2019-0603
- Гуськов В.Н., Гавричев К.С., Гагарин П.Г., Гуськов А.В. // Журн. неорган. химии. 2019. Т. 64. С. 1072. https://doi.org/10.1134/S0044457X19100040
- Guskov A.V., Gagarin P.G., Guskov V.N. et al. // Ceram. Int. 2021. V. 47. P. 28004. https://doi.org/10.1016/j.ceramint.2021.06.125
- Voskov A.L., Kutsenok I.B., Voronin G.F. // Calphad. 2018. V. 61. P. 50. https://doi.org/10.1016/j.calphad.2018.02.001
- Voronin G.F., Kutsenok I.B. // J. Chem. Eng. Data. 2013. V. 58. P. 2083. https://doi.org/10.1021/je400316m
- Tari A. The specific heat of matter at low temperatures. L.: Imperial College Press, 2003. 211 p. https://doi.org/10.1142/9781860949395_0006
- Westrum E.F. Jr.// J. Therm. Anal. 1985. V. 30. P. 1209. https://doi.org/10.1007/BF01914288
- Konings R.J.M., Beneš O., Kovács A. et al. // J. Phys. Chem. Ref. Data. 2014. V. 4. P. 013101. https://doi.org/10.1063/1.4825256
- Chase M.W. // J. Phys. Chem. Ref. Data Monograph № 9 NIST-JANAF. Washington, 1998.
- Глушко В.П. Термические константы веществ. Справочник. М., 1965. https://www.chem.msu.su/cgibin/tkv.pl?show=welcome.html&_ga=2.137226480.1380683462.1715071323-1284717817.1617178349
Supplementary files








