Bioglass 45S5 doped with Bi2O3 for medical use
- Authors: Grishchenko D.N.1, Medkov М.A.1
-
Affiliations:
- Institute of Chemistry, Far East Branch of the Russian Academy of Sciences
- Issue: Vol 69, No 9 (2024)
- Pages: 1267-1276
- Section: СИНТЕЗ И СВОЙСТВА НЕОРГАНИЧЕСКИХ СОЕДИНЕНИЙ
- URL: https://bakhtiniada.ru/0044-457X/article/view/280381
- DOI: https://doi.org/10.31857/S0044457X24090063
- EDN: https://elibrary.ru/JSWNTZ
- ID: 280381
Cite item
Full Text
Abstract
Bioglass 45S5 was doped with bismuth oxide in concentrations up to 40 wt.%. The amorphous nature of the synthesized glasses was confirmed by X-ray phase analysis. The influence of Bi2O3 on the properties of bioglass was studied. In a series of samples containing from 0 to 40 wt.% bismuth oxide, their characteristics change as follows: the pH values of the model medium during glass leaching decrease from 7.84 to 7.46; radiopacity increases from 1150 HU to values exceeding 11000 HU; chemical degradation drops from 1.299% to 0.424%; bioactivity decreases in the range of 0 – 10 wt.% and is absent in the range of 20–40 wt.% Bi2O3. Glasses containing up to 10 wt.% Bi2O3 can find application in reconstructive surgery. They have radiopaque and bioactive properties. Glasses containing 20–40 wt.% Bi2O3 have high radiopacity, chemical resistance, and a slight effect on the pH of the medium when dissolved. They may be promising as radiomodifiers in the treatment of malignant neoplasms using radiation therapy.
Full Text
Введение
Исследования последних десятилетий демонстрируют широкие возможности биостекол как биоактивных систем, пригодных для восстановления и регенерации костных и хрящевых тканей. Продукты растворения, образующиеся в результате деградации биостекла, способны стимулировать формирование на поверхности материала слоя гидроксилированного карбоната апатита, который запускает процесс остеогенеза и хондрогенеза в организме [1]. Способность биостекол (в зависимости от состава) участвовать в регенерации мягких тканей продемонстрирована в работах [2, 3].
Висмут – тяжелый металл, соединения которого широко используются в медицине. Основное применение висмута связано с его высокой эффективностью при лечении ожогов, желудочно-кишечных заболеваний, в том числе язвы желудка, раневых инфекций и др. Использование висмута обусловлено его активностью против микроорганизмов и вирусов [4]. Эффективность Bi-содержащих наночастиц в борьбе со злокачественными новообразованиями представлена в обзорной работе [5]. Сообщения о токсичности висмута связаны чаще всего с его передозировкой [6]. В большинстве случаев терапия висмутом демонстрирует высокую эффективность и незначительные побочные эффекты.
Допирование биостекол висмутом позволяет изменять физические и химические свойства стекла и тем самым получать новые продукты для клинического применения. Например, в работе [7] исследовано влияние легирующей добавки Bi3+ с оксидом графена на структурные и механические свойства композитов на основе SiO2–Na2O–CaO–P2O5. Показано, что легирование увеличивает плотность образцов и их механическую прочность, что делает биостекло перспективным материалом для использования в инженерии костной ткани. Наноразмерное биоактивное стекло, модифицированное оксидом висмута, получено в работе [8] методом пламенного распыления. Указано, что допирование делает стекло рентгеноконтрастным и снижает щелочную емкость материала. Высокая противомикробная эффективность и низкая токсичность позволяют широко использовать висмут в медицине. По данным [9], введение 1–8 мас. % Bi2O3 в композиции биоактивного стекла S53Р4 минимизирует риск микробного заражения. Указано, что бактериостатические и бактерицидные свойства материала могут быть использованы при лечении заболеваний, вызванных Escherichia coli.
Помимо противомикробной активности комбинация стекла и висмута проявляет противораковую активность. Стекла, допированные висмутом, могут выступать в качестве фотосенсибилизатора. В работе [10] получены Bi-содержащие стекла, сочетающие преобразование инфракрасного света в тепло, биосовместимость и реминерализацию апатита. Эксперименты in vitro и in vivo показывают, что эти стекла могут эффективно разрушать костные раковые клетки при использовании фототермической терапии, а также способствовать восстановлению костной ткани. В работе [11] предложена модификация Bi-содержащим покрытием поверхности стекла на основе SiO2–CaO–P2O5. Авторы заявляют, что модифицированное стекло обладает одновременно фототермической противоопухолевой и остеогенной активностью. Результаты подтверждены in vitro и in vivo на раковых клетках остеосаркомы.
Феррит висмута в биоактивных стеклах считается эффективным агентом для стимуляции образования костной ткани под воздействием магнитного поля. В работе [12] композиты стекла с 2 мас. % BiFeO3 продемонстрировали значительно более высокую минерализацию фосфата кальция (отложение костного апатита) под воздействием магнитного поля напряженностью 350 мТл, чем нелегированное стекло. Наночастицы биостекла 45S5, легированные оксидом висмута, могут применяться в качестве наполнителя для герметиков корневых каналов зубов. Согласно исследованиям [13], висмутсодержащее биоактивное стекло снижает рентгеноконтрастность герметика в меньшей степени, чем его безвисмутовый аналог. Кроме того, авторы отмечают, что полученный наноразмерный материал имеет ускоренное осаждение фосфата кальция по сравнению с нелегированным микроразмерным биостеклом. Согласно [14], биоактивное стекло, легированное висмутом и оксидом графена, в желатине может обеспечить направленный рост кости вокруг имплантата.
Анализ литературных данных указывает на перспективность применения композитов биостекло–оксид висмута, обладающих остеоинтеграцией, рентгеноконтрастностью, противомикробной и противораковой активностью. В настоящее время продолжается разработка и исследование Bi-содержащих материалов, обладающих комбинацией ценных свойств, для различного применения в медицине.
Цель настоящей работы – синтез и исследование стекол на основе SiO2–Na2O–CaO–P2O5, содержащих Bi2O3 в концентрации 5–40 мас. %, как перспективных материалов медицинского назначения.
Экспериментальная часть
В работе использовали олеат натрия (C18H33O2Na, ч. д. а., Sigma Aldrich, Германия), олеат кальция (C36H66O4Ca, х. ч., Реахим, Россия), тетраэтоксисилан (C8H20O4Si, х. ч., Реахим, Россия), трибутилфосфат (C12H27O4P, х. ч., Acros Organics, США), толуол (C7H8, х. ч., Реахим, Россия), оксид висмута (Bi2O3, х. ч., Реахим, Россия).
Прекурсоры Na, Ca, Si, P смешивали в соотношениях компонентов, необходимых для получения стекла Bioglass 45S5, имеющего состав (мас. %): 45 SiO2, 24.5 Na2O, 24.5 CaO, 6 P2O5. Смесь растворяли в толуоле при 70–80°С, затем при 150°С удаляли растворитель. Полученную массу подвергали пиролизу в муфельной печи при температуре 1300°С в течение 30 мин. По истечении указанного времени образец остывал в открытом муфеле до 500°С, а затем при комнатной температуре. В результате пиролиза органических растворов получено биостекло Bioglass 45S5.
Для допирования биостекла висмутом готовили сухие смеси, содержащие рассчитанные количества биостекла и оксида висмута. Материал измельчали на вибрационной микромельнице. Смеси подвергали обжигу при температуре 1300°С в течение 30 мин. Образцы остывали в открытом муфеле без извлечения. Получены стекла, допированные Bi2O3 в количестве 5, 10, 20 и 40 мас. %. Содержание компонентов в образцах в пересчете на их оксиды представлено в табл. 1.
Таблица 1. Состав исследуемых образцов стекла
№ образца | Содержание компонентов, мас. % | ||||
Bi2O3 | SiO2 | Na2O | CaO | P2O5 | |
1 | 0 | 45 | 24.5 | 24.5 | 6 |
2 | 5 | 42.75 | 23. 28 | 23.28 | 5.7 |
3 | 10 | 40.5 | 22.05 | 22.05 | 5.4 |
4 | 20 | 36.00 | 19.6 | 19.6 | 4.8 |
5 | 40 | 27 | 14.7 | 14.7 | 3.6 |
Образцы исследовали методом рентгенофазового анализа на дифрактометре D8 Advance. Для исследования качественного и количественного элементного состава, а также морфологии образцов использовали метод сканирующей электронной микроскопии. Съемку вели на приборе Hitachi S5500 с приставкой для энергодисперсионного спектрального анализа Thermo Scientific.
Рентгеноконтрастность образцов определяли с помощью мультиспирального 16-срезового компьютерного томографа Toshiba Aquilion RXL. Рентгеноконтрастность вычисляли в единицах Хаунсфилда (HU) как среднее значение из пяти измерений, полученных в произвольно выбранных точках. Толщина сканированного образца 0.5 мм.
Оценка влияния Bi2O3 на биологическую активность биостекла проведена in vitro с помощью аналога биологической жидкости (SBF-раствора), минеральный состав которой идентичен плазме крови человека. Для приготовления раствора использовали способ, предложенный в работе [15]. Образцы помещали в раствор на 7, 15, 25 сут при температуре 37°С, поддерживаемой термостатом. Раствор обновляли каждые 48 ч.
Химическая деградация полученных материалов исследована in vitro в соответствии с ГОСТ ISO 10993-14-2011 “Изделия медицинские. Оценка биологического действия медицинских изделий. Часть 14. Идентификация и количественное определение продуктов деградации изделий из керамики”. Для исследования выбран метод модельного раствора. Указанным раствором служил буферный раствор трис-HCl с уровнем рН 7.37. Сущность метода заключается в следующем. Образцы измельченного стекла с размером частиц 315–400 мкм, полученные методом сухого сита, помещали в модельный раствор: 1 г образца в 20 мл жидкости. Материал находился в растворе 120 ч при постоянной температуре 37°С и ежесуточном встряхивании. По истечении 120 ч образцы промывали дистиллированной водой и сушили при 100°С в течение 5 ч. Потерю массы при деградации рассчитывали по формуле:
А (%) = (m1 – m2)/m1 × 100,
где m1 – масса образца до испытания (г); m2 – масса образца после испытания (г). Фильтрат исследовали на атомно-абсорбционном спектрофотометре Shimadzu AА 7000. На протяжении 120 ч проводили измерения pH модельного трис-раствора.
Результаты и обсуждение
Легирование биоактивного стекла Bioglass 45S5 оксидом висмута (5–40 мас. %) позволяет получить рентгеноаморфные образцы (рис. 1). Образец 2, содержащий 5 мас. % Bi2O3, бесцветный и не отличается от нелегированного биостекла (образец 1). Образец 3, имеющий в составе 10 мас. % Bi2O3, светло-желтый. Образец 4, в составе которого 20 мас. % Bi2O3, темно-желтый. Образец 5, включающий 40 мас. % Bi2O3, имеет винный цвет (рис. 2). Все образцы прозрачны. Согласно энергодисперсионному микроанализу, элементный состав меняется в зависимости от содержания висмута в стекле (рис. 3).
Рис. 1. Дифрактограмма образца стекла, содержащего 40 мас. % Bi2O3
Рис. 2. Фотографии образцов, легированных Bi2O3, мас. %: 5 (а), 10 (б), 20 (в), 40 (г)
Рис. 3. Энергодисперсионные спектры стекол, легированных Bi2O3, мас. %: 5 (а), 10 (б), 20 (в), 40 (г)
В результате тестов на биоактивность, проведенных с помощью модельной среды (SBF), имитирующей плазму крови человека, получены следующие результаты. Покрытие, образовавшееся за 7 сут пребывания образца 2 в SBF-растворе, неплотное (рис. 4а). Энергодисперсионный спектр содержит все элементы легированного стекла: Bi, Ca, Na, Si, P, O (рис. 4б). Наблюдаемый на спектрах Mg – элемент, входящий в состав SBF-раствора, осаждающегося на поверхности образца. Существенное увеличение Ca и P говорит об образовании кальций-фосфатного слоя. Плотным слоем фосфата кальция этот образец покрывается за 15 сут пребывания в модельном растворе (рис. 5а). Это отражается на его энергодисперсионном спектре (рис. 5б). Основными элементами спектра становятся Ca и P, а содержание остальных элементов незначительно. На поверхности образца 3 кальций-фосфатный слой не образуется в течение 7 сут его пребывания в модельном растворе. Тонкий слой фосфата кальция покрывает образец к концу 15 сут (рис. 6а). Энергодисперсионный спектр подтверждает увеличение содержания Ca и P на его поверхности (рис. 6б). Таким образом, наблюдается снижение биоактивности стекла с увеличением содержания Bi2O3 в его составе. Авторы работы [16] отмечают отсутствие биоактивности у образца стекла, содержащего 8 мас. % Bi2O3. По данным [16], за 14 сут пребывания допированного материала в SBF-растворе покрытие не сформировалось. По результатам наших исследований, образец 3, содержащий 10 мас. % Bi2O3, является биоактивным.
Рис. 4. Микрофотография (а) и энергодисперсионный спектр (б) стекла, содержащего 5 мас. % Bi2O3, после пребывания в SBF-растворе в течение 7 сут
Рис. 5. Микрофотография (а) и энергодисперсионный спектр (б) стекла, содержащего 5 мас. % Bi2O3, после пребывания в SBF-растворе в течение 15 сут
Рис. 6. Микрофотография (а) и энергодисперсионный спектр (б) стекла, содержащего 10 мас. % Bi2O3, после пребывания в SBF-растворе в течение 15 сут
Образцы 4 и 5 биоактивными не являются. За 25 сут пребывания в SBF-растворе кальций-фосфатный слой на поверхности стекла не обнаружен. Известно, что в образовании кальций-фосфатного слоя участвуют все элементы биостекла, а именно: Ca, Na, Si, P. Погружение образца в физиологическую среду вызывает его деградацию. На поверхности биоматериала последовательно протекают следующие химические реакции [17]. Происходит ионный обмен, при котором катионы Na+ и Ca2+ обмениваются с ионами гидроксония из раствора. В результате ионного обмена происходит формирование силанольных групп. Силанольные группы полимеризуются с образованием слоя силикагеля, обедненного ионами натрия и кальция. Отрицательно заряженные гидроксильные группы кремниевой кислоты притягивают ионы Ca2+ из модельного раствора физиологической жидкости, в том числе и кальций, перешедший в раствор из биостекла. Далее на положительно заряженную поверхность осаждаются фосфат-ионы. Таким образом, на поверхности биостекла образуется слой, состоящий в основном из фосфата кальция. Одной из причин неспособности легированных стекол с большим содержанием оксида висмута участвовать в биоактивных процессах является значительное снижение массовой доли всех элементов, задействованных в формировании покрытия.
Согласно общепринятой классификации С. Misch, значения рентгеноконтрастности костных тканей в зависимости от структуры находятся в диапазоне 350–1250 HU [18]. Рентгеноконтрастность исследуемых образцов представлена в табл. 2. Полученные данные свидетельствуют о том, что рентгеноконтрастность биостекла увеличивается в ~4 и ~7 раз при добавлении соответственно 5 и 10 мас. % Bi2O3 в состав материала. Рентгеноконтрастность образца 2 в 3.5 раза превышает максимальное значение рентгеноконтрастности костной ткани, что позволяет предложить этот состав в качестве добавки в пломбировочный материал или имплантаты для визуального контроля его размещения и дальнейшей эксплуатации рентгенологическими методами.
Таблица 2. Рентгеноконтрастность исследуемых образцов
№ образца | Количество Bi2O3 в образце, мас. % | Рентгеноконтрастность, HU |
1 | 0 | 1150 |
2 | 5 | 4449 |
3 | 10 | 7761 |
4 | 20 | >11000 |
5 | 40 | >11000 |
Для композитов, применяемых в восстановительной хирургии, растворимость материала крайне важна. Известно, что скорость растворения резорбируемого импланта должна соответствовать скорости роста собственной костной ткани во избежание образования зазора на границе кость–имплант. Скорость образования нативной костной ткани зависит от индивидуальных особенностей пациента, в том числе от возраста. В связи с этим необходимость в искусственных материалах с разной скоростью резорбции сохраняется. Исследование деградации стекол в течение 120 ч проведено в условиях моделирования pH внутренней среды организма человека. Результаты представлены в табл. 3. Как показывают полученные данные, растворимость образцов в модельном растворе падает с увеличением содержания Bi2O3 в стекле. Допирование биостекла оксидом висмута в количестве 5 и 10 мас. % снижает растворимость на 19 и 34% соответственно. Таким образом, изменяя состав биостекла, можно получить композит с контролируемой биоактивностью и резорбируемостью. Биоактивные материалы с различной скоростью резорбции расширяют возможности выбора имплантов для конкретного пациента при необходимости регенерации и восстановления собственной костной ткани. Приведенные в табл. 3 данные об изменении в растворе концентрации висмута, кальция, натрия и кремния в зависимости от содержания в стеклах Bi2O3 свидетельствуют о структурной перестройке сетки стекла. Исследования, проведенные методом рентгеновской фотоэлектронной спектроскопии в работе [19], показали, что поверхность висмутсодержащих стекол всегда обеднена висмутом, вследствие чего, как видно из табл. 3, затруднен его переход в раствор. Кроме того, склонность к гидролизу связей Si–O–Si с образованием силанольных групп, вероятно, уменьшается при встраивании висмута в сетку стекла с образованием связей Si–O–Bi.
Таблица 3. Зависимость химической деградации образца и концентрации высвобождающихся в модельный раствор элементов от содержания Bi2O3
№ образца | Содержание Bi2O3, мас. % | Химическая деградация А, % | Bi | Ca | Si | Na |
мг/л | ||||||
1 | 0 | 1.299 | 0 | 0.134 | 0.059 | 0.245 |
2 | 5 | 1.050 | <0.0004 | 0.101 | 0.064 | 0.243 |
3 | 10 | 0.852 | <0.0004 | 0.080 | 0.061 | 0.128 |
4 | 20 | 0.570 | <0.0004 | 0.044 | 0.045 | 0.060 |
5 | 40 | 0.424 | <0.0004 | 0.033 | 0.036 | 0.047 |
Химически стойкие образцы 4 и 5, не осаждающие гидроксиапатит на своей поверхности, могут претендовать на роль радиомодификаторов. Авторами [20] доказано, что атомы тяжелых элементов, заключенные в матрицу стекла, обладают радиосенсибилизационными свойствами, основанными на генерации вторичного излучения. Применение радиомодификаторов в лучевой терапии опухолей повышает эффективность лечения злокачественных новообразований и уменьшает связанные с ним побочные эффекты. Доставку в организм к месту удаленной опухоли препарата, представляющего собой мелкодисперсный материал, желательно осуществить во время операции, оставив его в операционной ране. Учитывая продолжительность лечения, возникает необходимость в препаратах, способных находиться в месте введения до полугода. Согласно проведенным исследованиям, потеря массы за 5 сут у образцов, содержащих 20–40 мас. % Bi2O3, составляет 0.570–0.424%, т.е. эти материалы будут присутствовать в организме в месте введения более года. Следует отметить, что для изучения химической деградации (в соответствии с ГОСТ ISO 10993-14-2011) частицы измельчали до размеров 315–400 мкм. Растворимость более мелких частиц (~100–150 мкм), рекомендуемых для использования при лучевой терапии опухолей [20], будет выше. Теоретически материал с размером частиц до 150 мкм способен находиться в месте имплантации более 6 мес, что исключит необходимость повторного введения радиосенсибилизатора в течение всего срока лечения.
Введение материала в организм не должно приводить к хронической воспалительной реакции в зоне имплантации. В норме плазма крови и межклеточная жидкость организма имеют значения pH 7.37–7.44. Ткани чувствительны к колебаниям показателя pH за пределами этого диапазона. Сдвиг может привести к нежелательным последствиям или патологии – денатурации белков и разрушению клеток. Поэтому кислотно-щелочной баланс организмом жестко регулируется [21]. Воспалительный процесс – защитная реакция организма на увеличение pH в зоне имплантации. Этот процесс снижает pH. Однако, если условия повышенных значений pH сохраняются длительное время или эти значения слишком велики для подавления организмом, может возникнуть хроническая воспалительная реакция, приводящая к обширному разрушению тканей. In vitro проведено исследование изменения pH модельной среды трис-HCl с уровнем рН 7.37 в зависимости от времени нахождения измельченных образцов в растворе. Результаты представлены на рис. 7.
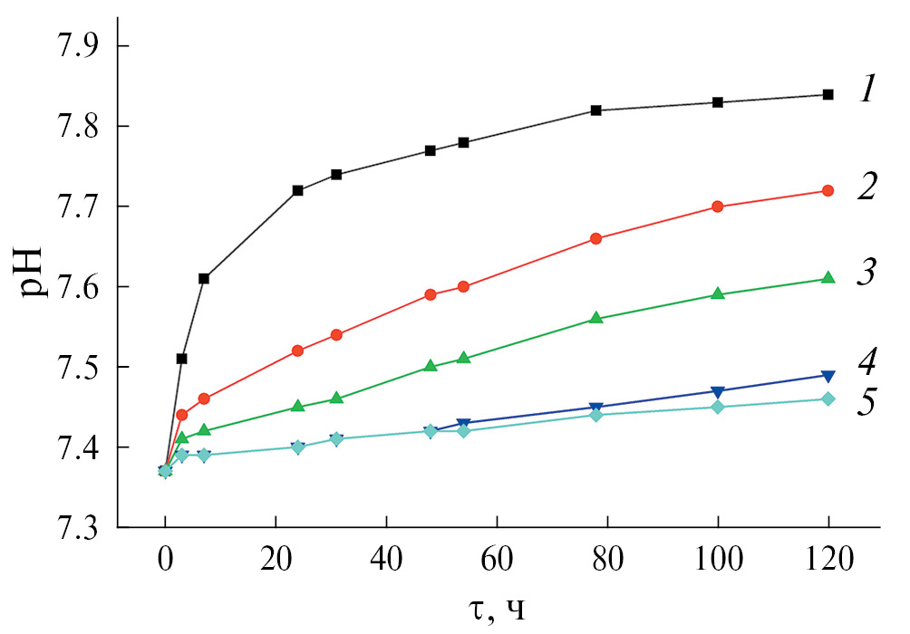
Рис. 7. Показатели pH модельного раствора при деградации стекла Bioglass 45S5, легированного Bi2O3, мас. %: 0 (1), 5 (2), 10 (3), 20 (4), 40 (5)
Максимальное влияние на величину рН модельного раствора оказывает образец нелегированного стекла. В течение первых 24 ч его значение достигает 7.72, а затем за остальные 96 ч увеличивается до 7.84. Результаты наших исследований согласуются с данными [22]. В этой работе измельченное стекло Bioglass 45S5 было добавлено к культивируемым остеобластам с рН среды 7.31 ± 0.03, что вызвало быстрое и длительное подщелачивание среды, которое сохранялось в течение 6 сут и достигало значений 7.71 ± 0.03. Размер частиц используемого биостекла составлял 90–150 мкм. Влияние стекла Bioglass 45S5 на изменение значения рН модельного раствора (трис-раствор с уровнем рН 7.4) рассмотрено в работе [23]. Согласно этой работе, pH достигает значения 8.1 в первые 30 мин пребывания образца в трис-растворе и в течение последующих 2 сут повышается до 8.4. Следует отметить, что в экспериментах был использован материал со средним размером частиц ~2 мкм. Более высокое значение pH по сравнению с другими исследованиями объясняется увеличением площади поверхности резорбируемого материала, что еще раз доказывает влияние размера частиц на изменение pH при деградации. Как показывают наши исследования, Bi-содержащие стекла оказывают меньшее влияние на pH модельного раствора, чем нелегированное стекло. За 120 ч деградации образец 2 увеличивает рН среды до 7.73, образец 3 – до 7.61, 4 – до 7.49, 5 – до 7.46. Таким образом, растворяясь, образцы 4 и 5 фактически поддерживают pH в приемлемых для организма значениях. Динамика увеличения pH модельного раствора с течением времени носит нелинейный характер. Выход на плато для образца 1 обусловлен пределом растворимости, для остальных образцов этот предел не достигнут. Как известно [23], изменение рН среды при растворении биостекла связано с обменом ионов Na+/H+. В связи с этим максимальному содержанию натрия в растворе соответствует максимальное значение рН (табл. 3, рис. 7). Влияние образцов на изменение величины рН трис-раствора уменьшается с увеличением концентрации Bi2O3 в стекле. Это объясняется снижением растворимости материала, о чем свидетельствует линейный характер зависимости значений pH от химической деградации образца. График зависимости представлен на рис. 8.
Рис. 8. Зависимость значений pH от химической деградации образца в модельном трис-растворе
Часто при создании легированных материалов на основе биоактивных стекол исследователи стараются сохранить такие свойства, как биоактивность, остеокондукция и остеостимуляция. Однако остеосаркома – это не единственный вид раковой опухоли, требующий лечения, поэтому применение остеостимулирующих материалов не всегда оправдано. Сохраняется необходимость в биоразлагаемых составах, продукты которых по окончании лечения выводятся из организма. Результаты исследований показывают, что материал, содержащий 20–40 мас. % Bi2O3, заслуживает внимания и изучения в качестве радиомодификатора для применения против злокачественных образований мягких тканей. Исследования in vivo предложенных Bi-содержащих материалов позволят расширить медицинское применение клинически используемых Bi-содержащих композитов.
Заключение
Согласно проведенным исследованиям, стекло, содержащее 5–10 мас. % Bi2O3, благодаря рентгеноконтрастности, биоактивности, уменьшению химической растворимости, снижению pH раствора при деградации может быть перспективным в инженерии костной ткани. Стекло, содержащее 20–40 мас. % Bi2O3, благодаря рентгеноконтрастности, малой химической растворимости и несущественному изменению pH раствора при деградации может быть перспективным в качестве радиомодификатора и применяться при лучевой терапии злокачественных новообразований.
Финансирование работы
Работа выполнена в рамках финансирования государственного задания ФГБУН Института химии ДВО РАН, тема FWFN-2022-0003.
Конфликт интересов
Авторы заявляют об отсутствии конфликта интересов.
About the authors
D. N. Grishchenko
Institute of Chemistry, Far East Branch of the Russian Academy of Sciences
Author for correspondence.
Email: grishchenko@ich.dvo.ru
Russian Federation, Vladivostok, 690022
М. A. Medkov
Institute of Chemistry, Far East Branch of the Russian Academy of Sciences
Email: grishchenko@ich.dvo.ru
Russian Federation, Vladivostok, 690022
References
- Hench L.L. // J. Mater. Sci: Mater. Med. 2006. V. 17. P. 967. https://doi.org/10.1007/s10856-006-0432-z
- Miguez-Pacheco V., Hench L.L., Boccaccini A.R. // Acta Biomater. 2015. V. 13. P. 1. https://doi.org/10.1016/j.actbio.2014.11.004
- Mazzoni E., Iaquinta M.-R., Lanzillotti C. et al. // Front. Bioeng. Biotechnol. 2021. V. 9. P. 613787. https://doi.org/10.3389/fbioe.2021.613787
- Wang R., Li H., Sun H. // Encyclopedia of Environmental Health. 2019. P. 415. https://doi.org/10.1016/B978-0-12-409548-9.11870-6
- Shahbazi‐Gahrouei D., Choghazardi Y., Kazemzadeh A. et al. // IET Nanobiotechnol. 2023. V. 17. P. 302. https://doi.org/10.1049/nbt2.12134
- Thomas F., Bialek B., Hensel R. // J. Clin. Toxicol. 2011. V. 3. P. 4. https://doi.org/10.4172/2161-0495.S3-004
- Pazarçeviren A.E., Tahmasebifar A., Tezcaner A. et al. // Ceram. Int. 2018. V. 44. P. 3791. https://doi.org/10.1016/j.ceramint.2017.11.164
- Mohn D., Zehnder M., Imfeld T., Stark W.J. // Int. Endod. J. 2010. V. 43. P. 210. https://doi.org/10.1111/j.1365-2591.2009.01660.x
- Prasad S.S, Adarsh T., Anand A. et al. // J. Mater. Res. 2018. V. 33. P. 178. https://doi.org/10.1557/jmr.2017.442
- Wang L., Long N.J., Li L. et al. // Light Sci. Appl. 2018. V. 7. https://doi.org/10.1038/s41377-018-0007-z
- Du J., Ding H., Fu S. et al. // Front. Bioeng. Biotechnol. Sec. Nanobiotechnology. 2023. V. 10. P. 1098923. https://doi.org/10.3389/fbioe.2022.1098923
- Khatua C., Bodhak S., Kundu B., Balla V.K. // Materialia. 2018. V. 4. P. 361. https://doi.org/10.1016/j.mtla.2018.10.014
- Heid S., Stoessel P.R., Tauböck T.T. et al. // Biomed Glass. 2016. V. 2. P. 29. https://doi.org/10.1515/bglass-2016-0004/html
- Pazarçeviren A.E., Evis Z., Keskin D., Tezcaner A. // Biomed Mater. 2019. V. 14. P. 035018. https://doi.org/10.1088/1748-605X/ab007b
- Kokubo T., Takadama H. // Biomaterials. 2006. V. 27. P. 2907. https://doi.org/10.1016/j.biomaterials.2006.01.017
- Prasad S.S., Ratha I., Adarsh T. et al. // J. Mater. Res. 2018. V. 33. P. 178. https://doi.org/10.1557/jmr.2017.442
- Rabiee M., Nazparvar N., Azizian M. et al. // Ceram. Int. 2015. V. 41. P. 7241. https://doi.org/10.1016/j.ceramint.2015.02.140
- Misch C.E. // Int. J. Oral Implantol. 1990. V. 6. P. 23.
- Łaczka M., Stoch L., Górecki J. // J. Alloys Compd. 1992. V. 186. P. 279. https://doi.org/10.1016/0925-8388(92)90015-2
- Плотникова О.С., Грищенко Д.Н., Медков М.А. и др. // Журн. неорган. химии. 2022. Т. 67. № 9. С. 1219. https://doi.org/10.31857/S0044457X22090094
- Смагулова З.Ш., Макарушко С.Г., Садыкова Х.М. и др. // Здоровье. Медицинская экология. М.: Наука, 2009. Т. 39–40. С. 173.
- Silver I.A., Deas J., Erecińska M. // Biomaterials. 2001. V. 22. P. 175. https://doi.org/10.1016/S0142-9612(00)00173-3
- Cerruti M., Greenspan D., Powers K. // Biomaterials. 2005. V. 26. P. 1665. https://doi.org/10.1016/j.biomaterials.2004.07.009
Supplementary files










