Phase equilibria, crystal structure and oxygen nonstoichiometry of complex oxides formed in the system GdCoO3–SrCoO3–δ–SrFeO3–δ–GdFeO3
- Authors: Aksenova Т.V.1, Solomakhina E.E.1, Urusova A.S.1, Cherepanov V.A.1
-
Affiliations:
- Yeltsin Ural Federal University
- Issue: Vol 69, No 7 (2024)
- Pages: 1052-1062
- Section: ФИЗИКО-ХИМИЧЕСКИЙ АНАЛИЗ НЕОРГАНИЧЕСКИХ СИСТЕМ
- URL: https://bakhtiniada.ru/0044-457X/article/view/274387
- DOI: https://doi.org/10.31857/S0044457X24070142
- EDN: https://elibrary.ru/XNGEUJ
- ID: 274387
Cite item
Full Text
Abstract
The phase equilibria in the quasi-quaternary GdCoO3–SrCoO3–δ–SrFeO3–δ–GdFeO3 system have been studied at 1373 K in air. The homogeneity ranges and crystal structure of solid solutions of general composition Gd1–xSrxCo1–yFeyO3–δ have been determined. Depending on the concentration of introduced strontium and iron, the Gd1–xSrxCo1–yFeyO3–δ oxides crystallize in orthorhombic (x = 0.1 and 0.4 ≤ y ≤ 1.0; x = 0.2 and y = 0.9, sp. gr. Pbnm), tetragonal (0.6 ≤ x ≤ 0.8 and 0.1 ≤ y ≤ 0.5, sp. gr. I4/mmm) or cubic (x = 0.9 and 0.1 ≤ y ≤ 0.9; 0.6 ≤ x ≤ 0.8 and 0.6 ≤ y ≤ 0.9, sp. gr. Pm-3m) perovskite structure. Structural parameters were determined for all single-phase samples. An increase in the concentration of strontium and iron leads to an increase in the unit cell parameters of the Gd1–xSrxCo1–yFeyO3–δ oxides. It has been shown that the oxygen content in Gd1–xSrxCo1–yFeyO3–δ cobaltites, determined by thermogravimetric analysis, decreases with increasing temperature and strontium content in the samples. An isobaric-isothermal phase diagram of the GdCoO3 – SrCoO3–δ–SrFeO3–δ–GdFeO3 system at 1373 K in air was constructed.
Full Text
ВВЕДЕНИЕ
Совокупность интересных физико-химических свойств сложных оксидов со структурой перовскита, у которых в А-позициях находятся редкоземельные и щелочноземельные элементы, а в В-позициях – кобальт и железо [1–5], открывают перспективы их практического применения в разнообразных электрохимических и каталитических устройствах. Изучение кристаллической структуры и физико-химических свойств стронцийзамещенных кобальтитов Ln1–xSrxCoO3–δ (Ln = РЗЭ) было предпринято в связи с возможностью их использования в качестве катодов [6–12] или интерконнекторов [13] среднетемпературных твердооксидных топливных элементов, катодов СО2-лазеров [14], катализаторов [15–17], газочувствительных сенсоров [16, 18, 19], материалов для химического термоциклирования [20], термоэлектриков [21], магнитных материалов [22–25].
В зависимости от радиуса иона лантаноида, концентрации введенного стронция и условий термической обработки оксиды Ln1–xSrxCoO3–δ могут кристаллизоваться в ромбоэдрической (Ln = La, 0.0 ≤ x ≤ 0.5, пр. гр. ) [26–29], орторомбической (Ln = Pr, Nd, Sm, 0.0 ≤ x ≤ 0.6; Ln = Gd, 0.37 ≤ x ≤ 0.6, пр. гр. Pbnm или Pnma) [8, 26, 30–32] или кубической (Ln = La, 0.6 ≤ x ≤ 0.8, пр. гр. ) [28, 29] структуре перовскита. Для кобальтитов Ln1–xSrxCoO3–δ, обогащенных стронцием (0.6 < x < 0.9), характерно структурное упорядочение ионов лантаноида и стронция в A-подрешетке, приводящее к локализации кислородных вакансий в определенных плоскостях и формированию тетрагональной сверхструктуры ap × ap × 2ap для Ln = La, Pr, Nd (пр. гр. P4/mmm) и 2ap × 2ap × 4ap для Ln = Sm, Gd, Dy, Y, Ho (пр. гр. I4/mmm) [26, 30, 33–36]. Увеличение температуры приводит к разрушению сверхструктурного упорядочения, а температура фазового перехода зависит от соотношения Ln/Sr [26, 34–37]. Так, для Gd0.2Sr0.8CoO3–δ на воздухе переход от упорядоченной сверхструктуры 2ap × 2ap × 4ap к неупорядоченной кубической со статистически распределенными катионами Ln и Sr в A-подрешетке завершается при 1363 K [36], что хорошо согласуется с данными [37]. Аналогичный структурный переход в Gd0.1Sr0.9CoO3–δ на воздухе осуществляется при 1263 K [38]. Несколько иная, но аналогичная с кристаллографической точки зрения интерпретация возникновения упорядоченного расположения катионов в А-подрешетке с образованием тетрагональной ячейки, приведена авторами [39].
Кислородная нестехиометрия в оксидах Ln1–xSrxCoO3–δ (Ln = La–Gd) незначительно изменяется с уменьшением радиуса иона лантаноида и существенно растет с увеличением концентрации стронция в образцах [7, 26, 28, 30, 32, 37, 40]. Следует отметить, что содержание кислорода наряду с соотношением Ln/Sr существенным образом определяет формирование сверхструктуры в кобальтитах [32, 41].
Введение железа в подрешетку кобальта в Ln1–xSrxCoO3–δ оказывает заметное влияние на кристаллическую структуру и весь комплекс физико-химических свойств оксидов Ln1–xSrxCo1–yFeyO3–δ (Ln = La–Gd) [42–50]. Информация о структуре и свойствах твердых растворов на основе GdCoO3 с одновременным замещением по A- и B-подрешеткам малочисленна. Известно, что кобальтиты Gd0.8Sr0.2Co1–yFeyO3–δ (0.0 ≤ y ≤ 1.0) кристаллизуются в орторомбической перовскитоподобной структуре (пр. гр. Pbnm), а увеличение концентрации железа в образцах приводит к уменьшению коэффициентов термического расширения и электрической проводимости [42, 43, 49].
Настоящая работа посвящена исследованию фазовых соотношений в квазичетверной системе GdCoO3–SrCoO3–δ–SrFeO3–δ–GdFeO3 при 1373 K на воздухе, изучению влияния степени замещения на область гомогенности, кристаллическую структуру и кислородную нестехиометрию сложных оксидов Gd1–xSrxCo1–yFeyO3–δ.
ЭКСПЕРИМЕНТАЛЬНАЯ ЧАСТЬ
Синтез образцов для исследования проводили по глицерин-нитратной технологии, описанной ранее в работах [45, 50]. В качестве исходных компонентов использовали оксид гадолиния Gd2O3 (99.99%) и карбонат стронция SrCO3 (ос. ч.), предварительно прокаленные для удаления адсорбированной влаги и газов в течение 12 ч при 1373 K и в течение 5 ч при 773 K соответственно, оксалат железа FeC2O4 ⋅ 2H2O (ч. д. а.) и металлический кобальт Со, полученный восстановлением из оксида кобальта Co3O4 (ч. д. а.) при 673–873 K в потоке водорода. Заключительный отжиг проводили при 1373 K на воздухе в течение 60–80 ч с промежуточными (через 12–15 ч) перетираниями в среде этилового спирта. Образцы закаливали на воздухе от 1373 K до комнатной температуры путем извлечения тиглей объемом <1 мл из разогретой печи на массивную медную плиту (скорость охлаждения ~400–500 град/мин).
Определение фазового состава исследуемых образцов проводили методом рентгеновской порошковой дифракции на дифрактометре Shimadzu XRD 7000 в CuKα-излучении (λ = 1.5418 Å) с применением монохроматора из пиролитического графита (интервал углов 10° ≤ 2θ ≤ 80°, шаг 0.02°, выдержка в точке 2 с). Структурные параметры были уточнены методом полнопрофильного анализа Ритвельда в программе Fullprof-2011.
Высокотемпературный рентгеновский анализ проводили на дифрактометре Inel Equinox 3000, оснащенном высокотемпературной камерой HTK 16N (Anton Paar). Нагрев и охлаждение образца до исследуемой температуры проводили со скоростью 100 град/ч. Точность поддержания температуры составляла ±0.1°С.
Содержание кислорода в оксидах и его изменение с температурой определяли методом термогравиметрического анализа. Измерения проводили на термоанализаторе STA 409 PC Luxx в зависимости от температуры в динамическом режиме со скоростью нагрева/охлаждения 2 град/мин в температурном интервале 298–1373 K на воздухе. Абсолютное содержание кислорода в исследуемых оксидах определяли методом полного восстановления образцов водородом (10% N2 + 90% H2) до оксидов Gd2O3, SrO и металлических кобальта Co и железа Fe при 1423 K в термогравиметрической установке. Фазовый состав восстановленных образцов контролировали рентгенографически.
РЕЗУЛЬТАТЫ И ОБСУЖДЕНИЕ
Для изучения фазовых равновесий в системе GdCoO3–SrCoO3–δ–SrFeO3–δ–GdFeO3 при 1373 K на воздухе по глицерин-нитратной технологии было приготовлено 52 образца с различным соотношением металлических компонентов.
Кристаллическая структура оксидов Gd1–xSrxCo1–yFeyO3–δ
Методом рентгеновского анализа установлено, что области гомогенности и кристаллическая структура твердых растворов Gd1–xSrxCo1–yFeyO3–δ существенно зависят от концентрации введенных стронция (x) и железа (y).
Дифрактограммы закаленных с 1373 K на воздухе однофазных оксидов Gd1–xSrxCo1–yFeyO3–δ (x = 0.0, 0.0 ≤ y ≤ 1.0; x = 0.1, 0.4 ≤ y ≤ 1.0 и x = 0.2, y = 0.9), подобно незамещенному GdMO3 (M = Fe, Co), были проиндексированы в рамках орторомбически искаженной перовскитоподобной ячейки (пр. гр. Pbnm). На рис. 1 в качестве примера представлены дифрактограммы Gd1–xSrxCo0.2Fe0.8O3–δ при x = 0.0 и 0.1, обработанные по методу полнопрофильного анализа Ритвельда. Уточненные параметры элементарных ячеек Gd1–xSrxCo1–yFeyO3–δ (x = 0.0, 0.1) приведены в табл. 1. Линейное увеличение параметров и объема элементарных ячеек Gd1–xSrxCo1–yFeyO3–δ (x = 0.0; 0.1) при увеличении содержания железа (рис. 2) соответствует большему радиусу ионов железа (rFe3+/Fe4+(HS) = = 0.645/0.585 Å, КЧ = 6) по сравнению с радиусом ионов кобальта (rCo3+/Co4+ (HS) = 0.61/0.53 Å, КЧ = 6) [51].
Рис. 1. Рентгенографические данные для Gd1–xSrxCo0.2Fe0.8O3–δ, где x = 0.0 (а), x = 0.1 (б), обработанные по методу Ритвельда. Точки – данные эксперимента, 1 – теоретический спектр; 2 – местоположение максимумов с разрешенным набором индексов Миллера (hkl); 3 – разница между экспериментальными данными и теоретической кривой
Рис. 2. Концентрационные зависимости параметров элементарных ячеек твердых растворов Gd1–xSrxCo1–yFeyO3–δ, где x = 0.0, 0.0 ≤ y ≤ 1.0 – закрытые символы; x = 0.1, 0.4 ≤ y ≤ 0.9 – открытые символы
Таблица 1. Параметры элементарных ячеек оксидов Gd1–xSrxCo1–yFeyO3–δ (x = 0.0; 0.1), закаленных с 1373 K на воздухе (пр. гр. Pbnm)
x | y | a, Å | b, Å | c, Å | V, Å3 | , Å | R-факторы, % | ||
RBr | Rf | Rp | |||||||
0.0 | 0.0 | 5.223(1) | 5.391(1) | 7.450(1) | 209.77(1) | 5.267 | 1.57 | 1.46 | 9.68 |
0.2 | 5.242(1) | 5.426(1) | 7.483(1) | 212.84(1) | 5.291 | 2.80 | 3.11 | 10.10 | |
0.4 | 5.262(1) | 5.466(1) | 7.518(1) | 216.23(2) | 5.316 | 3.11 | 3.18 | 11.10 | |
0.6 | 5.287(1) | 5.511(1) | 7.560(1) | 220.27(1) | 5.345 | 2.99 | 3.23 | 9.21 | |
0.8 | 5.312(1) | 5.554(1) | 7.605(1) | 224.37(1) | 5.377 | 3.03 | 2.64 | 8.71 | |
1.0 | 5.349(1) | 5.603(1) | 7.666(1) | 229.27(1) | 5.409 | 1.26 | 1.33 | 8.42 | |
0.1 | 0.4 | 5.290(1) | 5.475(1) | 7.544(1) | 218.49(1) | 5.334 | 6.04 | 5.70 | 6.08 |
0.6 | 5.317(1) | 5.515(1) | 7.588(1) | 222.50(2) | 5.365 | 5.35 | 4.76 | 7.01 | |
0.8 | 5.342(1) | 5.560(1) | 7.635(1) | 226.77(1) | 5.398 | 6.32 | 5.38 | 5.80 | |
0.9 | 5.354(1) | 5.581(1) | 7.653(1) | 228.68(1) | 5.411 | 6.27 | 5.16 | 7.14 | |
Область существования твердых растворов Gd1–xSrxCo1–yFeyO3–δ с орторомбической структурой значительно меньше, чем определенная для аналогичных оксидов в системе с неодимом Nd1–xSrxCo1–yFeyO3–δ [45]. Это можно объяснить большей разностью радиусов гадолиния (rGd3+ = 1.107 Å) и стронция (rSr2+ = 1.44 Å) по сравнению с разностью радиусов неодима (rNd3+ = 1.27 Å) и стронция [51], в результате замещение Gd на Sr со стороны GdCoO3 не происходит [52], а со стороны GdFeO3 оно значительно меньше [53].
Увеличение концентрации стронция, замещающего гадолиний в Gd1–xSrxCo1–yFeyO3–δ, до x = 0.6 вновь приводит к образованию однофазных оксидов и изменению их кристаллографической симметрии. Обогащенные стронцием кобальтиты Gd1–xSrxCo1–yFeyO3–δ с 0.6 ≤ x ≤ 0.9 в зависимости от содержания железа имеют тетрагональную (пр. гр. I4/mmm) или кубическую элементарную ячейку (пр. гр. ). В тетрагональной упорядоченной структуре 2ap × 2ap × 4ap катионы РЗЭ и стронций распределены по трем неэквивалентным позициям: А1 полностью заняты ионами РЗЭ, А2 – ионами стронция, в позициях А3 располагаются и те и другие ионы [26, 38, 54]. Структурные переходы в Gd1–xSrxCo1–yFeyO3–δ, где x = 0.8 и 0.9, подробно описаны в нашей предыдущей работе [55].
На дифрактограммах закаленных с 1373 K на воздухе оксидов Gd1–xSrxCo1–yFeyO3–δ (0.6 ≤ x ≤ 0.7, 0.1 ≤ y ≤ 0.5), как и кобальтитов Gd1–xSrxCoO3–δ (0.6 ≤ x ≤ 0.8), не содержащих железа [26, 30, 37, 39, 52], присутствуют сверхструктурные рефлексы при углах рассеивания 2θ ~ 21° (d ~ 4.26 Å, hkl = 103) и 2θ ~ 39° (d ~ 2.29 Å, hkl = 215), указывающие на формирование тетрагональной суперъячейки 2ap × 2ap × 4ap (ap – параметр ячейки базового перовскита). Согласно данным электронной дифракции [26, 30, 33, 39], сверхструктура 2ap × 2ap × 4ap формируется путем упорядочения катионов Gd и Sr в A-подрешетке и сопутствующего упорядоченного расположения кислородных вакансий.
Рентгенограммы оксидов Gd1–xSrxCo1–yFeyO3–δ (0.6 ≤ x ≤ 0.7, 0.1 ≤ y ≤ 0.5) были проиндексированы в тетрагональной ячейке 2ap × 2ap × 4ap (пр. гр. I4/mmm). На рис. 3а в качестве примера представлена типичная рентгенограмма кобальтита Gd0.3Sr0.7Co0.8Fe0.2O3–δ, обработанная по методу полнопрофильного анализа Ритвельда. Результаты уточнения структурных параметров оксидов Gd1–xSrxCo1–yFeyO3–δ (0.6 ≤ x ≤ 0.7, 0.1 ≤ y ≤ 0.5) методом Ритвельда представлены в табл. 2 и 3. Параметры элементарных ячеек и координаты атомов в твердых растворах Gd0.2Sr0.8Co1–yFeyO3–δ (0.1 ≤ y ≤ 0.5) с тетрагональной структурой приведены в работе [55]. Замещение Gd3+ (r = 1.107 Å) бóльшими по размеру катионами Sr2+ (r = 1.44 Å) [51] и увеличение содержания железа, замещающего кобальт в Gd1–xSrxCo1–yFeyO3–δ (0.6 ≤ x ≤ 0.7), от y = 0.1 до 0.5 приводят к увеличению параметров и объема элементарных ячеек, что определяется размерным эффектом (рис. 4).
Рис. 3. Рентгенографические данные для Gd0.3Sr0.7Co1–yFeyO3–δ, где y = 0.2 (а) и y = 0.7 (б), обработанные по методу Ритвельда. Точки – данные эксперимента, 1 – теоретический спектр; 2 – местоположение максимумов с разрешенным набором индексов Миллера (hkl); 3 – разница между экспериментальными данными и теоретической кривой. Стрелки указывают на сверхструктурные рефлексы для тетрагональной ячейки 2ap × 2ap × 4ap
Таблица 2. Параметры элементарных ячеек твердых растворов Gd1–xSrxCo1–yFeyO3–δ (0.6 ≤ x ≤ 0.7, 0.1 ≤ y ≤ 0.5), закаленных с 1373 K на воздухе (пр. гр. I4/mmm)
x | y | a, Å | c, Å | V, Å | R-факторы, % | ||
RBr | Rf | Rp | |||||
0.7 | 0.1 | 7.650(1) | 15.369(1) | 899.55(2) | 5.93 | 8.47 | 6.59 |
0.2 | 7.654(1) | 15.388(1) | 901.59(2) | 5.14 | 8.47 | 5.73 | |
0.3 | 7.665(1) | 15.392(1) | 904.38(1) | 6.67 | 8.87 | 8.81 | |
0.4 | 7.670(1) | 15.400(1) | 906.15(3) | 8.52 | 10.3 | 7.18 | |
0.5 | 7.686(1) | 15.402(1) | 910.09(2) | 4.96 | 8.11 | 6.86 | |
0.6 | 0.1 | 7.606(1) | 15.343(1) | 887.63(2) | 6.50 | 10.4 | 11.38 |
0.2 | 7.623(1) | 15.347(1) | 891.83(1) | 6.90 | 11.7 | 13.70 | |
0.3 | 7.627(1) | 15.360(1) | 893.52(1) | 8.6 | 9.7 | 10.38 | |
0.4 | 7.637(1) | 15.361(1) | 895.93(2) | 7.7 | 8.0 | 10.40 | |
0.5 | 7.650(1) | 15.374(1) | 899.72(3) | 9.3 | 11.3 | 11.47 | |
Таблица 3. Координаты атомов в Gd0.3Sr0.7Co0.8Fe0.2O3–δ, уточненные методом Ритвельда
Атом | x | y | z |
Co1/Fe1 | 0.252(1) | 0.252(1) | 0 |
Co2/Fe2 | 0.250 | 0.250 | 0.250 |
Gd1 | 0 | 0 | 0.143(1) |
Sr2 | 0 | 0 | 0.624(1) |
Sr3/Gd3 | 0 | 0.5 | 0.131(3) |
O1 | 0.225(1) | 0.225(1) | 0.116(1) |
O2 | 0.271(1) | 0 | 0 |
O3 | 0.216(3) | 0.5 | 0 |
O4 | 0 | 0.252(3) | 0.269(1) |
Рис. 4. Зависимости параметров элементарных ячеек от состава твердого раствора Gd1–xSrxCo1–yFeyO3–δ, где x = 0.6 – закрытые символы, x = 0.7 – открытые символы
Одним из основополагающих факторов образования сверхструктуры с упорядоченным расположением катионов в А-позициях является соотношение Gd/Sr [26, 54], поэтому замещение Co на Fe, близкого по многим свойствам, на первых порах не влияет на тип структуры. Однако наряду с упорядочением катионов немаловажную роль в образовании сверхструктуры играет и упорядочение кислородных вакансий, а внедрение ионов железа пусть и не в такой степени, как замещение Gd на Sr, все же изменяет содержание кислорода. Увеличение содержания железа в оксидах Gd1–xSrxCo1–yFeyO3–δ (0.6 ≤ x ≤ 0.7) до 0.6 приводит к переходу от тетрагональной сверхструктуры с упорядоченно расположенными катионами Gd и Sr в A-подрешетке к кубической структуре со статистически распределенными катионами. Рентгенограммы оксидов Gd1–xSrxCo1–yFeyO3–δ (0.6 ≤ x ≤ 0.7, 0.6 ≤ y ≤ 0.9), подобно ферритам Gd1–xSrxFeO3–δ, были проиндексированы в идеальной кубической структуре (пр. гр. ) [53]. На рис. 3б в качестве примера представлена рентгенограмма кубического Gd0.3Sr0.7Co0.3Fe0.7O3–δ, обработанная методом полнопрофильного анализа Ритвельда. Структурные параметры твердых растворов Gd1–xSrxCo1–yFeyO3–δ с кубической структурой приведены в табл. 4.
Таблица 4. Структурные параметры оксидов Gd1–xSrxCo1–yFeyO3–δ (0.6 ≤ x ≤ 0.7), закаленных с 1373 K на воздухе
Пр. гр. : Gd/Sr (0.5; 0.5; 0.5); Fe/Co (0; 0; 0); O (0.5; 0; 0) | |||||||||
x | y | a, Å | V, Å3 | dFe/Co–O, Å | dGd/Sr–O, Å | dGd/Sr–Fe/Co, Å | R-факторы, % | ||
RBr | Rf | Rp | |||||||
0.7 | 0.6 | 3.843(1) | 56.78(1) | 1.921(1) | 2.717(1) | 3.328(1) | 3.93 | 4.37 | 7.39 |
0.7 | 3.848(1) | 56.98(1) | 1.924(1) | 2.722(1) | 3.333(1) | 2.73 | 2.11 | 7.23 | |
0.8 | 3.852(1) | 57.16(1) | 1.924(1) | 2.722(1) | 3.334(1) | 4.48 | 2.93 | 8.33 | |
0.9 | 3.860(1) | 57.51(1) | 1.930(1) | 2.729(1) | 3.342(1) | 4.53 | 4.40 | 8.97 | |
0.6 | 0.6 | 3.833(1) | 56.33(1) | 1.916(1) | 2.710(1) | 3.320(1) | 5.7 | 4.75 | 14.2 |
0.7 | 3.838(1) | 56.55(1) | 1.919(1) | 2.714(1) | 3.324(1) | 8.75 | 8.72 | 13.6 | |
0.8 | 3.846(1) | 56.92(1) | 1.922(1) | 2.719(1) | 3.330(1) | 3.16 | 4.76 | 10.2 | |
0.9 | 3.852(1) | 57.18(1) | 1.926(1) | 2.724(1) | 3.336(1) | 4.90 | 5.31 | 12.1 | |
Для сравнения параметров элементарных ячеек оксидов Gd1–xSrxCo1–yFeyO3–δ (x = 0.6 и 0.7) во всем интервале концентраций (0.1 ≤ y ≤ 0.9) параметры тетрагональной суперъячейки были пересчитаны на псевдокубическую по формуле:
, (1),
где V – объем тетрагональной суперъячейки, z – число формульных единиц (для суперъячейки 2ap × 2ap × 4ap z = 16). Видно, что на зависимости параметров псевдокубической ячейки (aкуб) оксидов Gd1–xSrxCo1–yFeyO3–δ (x = 0.6 и 0.7) от концентрации железа (рис. 5) в интервале составов 0.5 ≤ y ≤ 0.6 наблюдается разрыв, соответствующий структурному переходу порядок–беспорядок, аналогично описанному в кобальтитах Gd1–xSrxCoO3–δ при увеличении содержания стронция [37].
Рис. 5. Зависимости параметров псевдокубической ячейки от состава твердого раствора Gd1–xSrxCo1–yFeyO3–δ
На дифрактограммах образцов номинального состава Gd1–xSrxCo1–yFeyO3–δ (0.2 ≤ x ≤ 0.5, 0.2 ≤ y ≤ 0.8) присутствуют рефлексы двух типов твердых растворов с орторомбической (пр. гр. Pbnm) и кубической (пр. гр. ) структурами.
Кислородная нестехиометрия оксидов Gd1–xSrxCo1–yFeyO3–δ
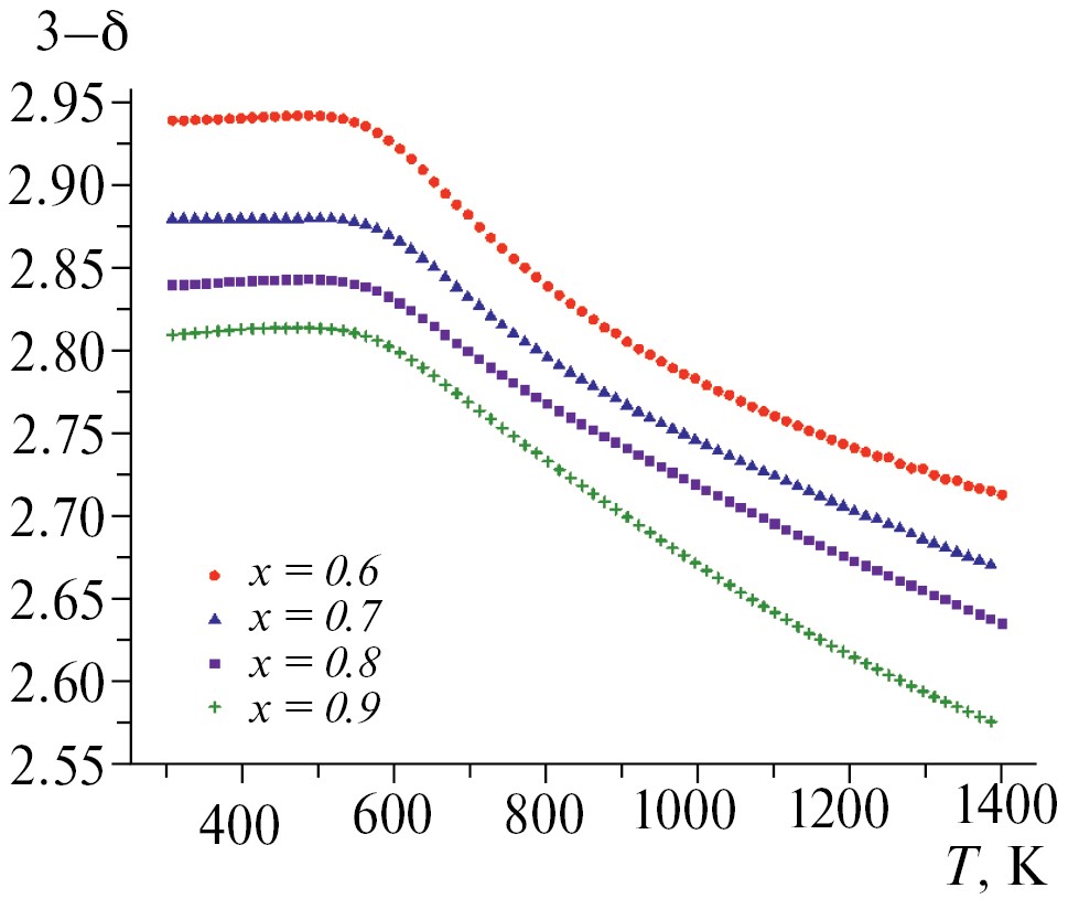
Температурные зависимости содержания кислорода в твердых растворах Gd1–xSrxCo0.3Fe0.7O3–δ (0.6 ≤ x ≤ 0.9) приведены на рис. 6. Видно, что при увеличении концентрации стронция содержание кислорода в образцах заметно уменьшается (табл. 5). Гетеровалентное замещение гадолиния на стронций приводит к образованию акцепторных дефектов . Компенсация избыточного отрицательного заряда в структуре происходит путем образования эквивалентного количества положительно заряженных кислородных вакансий () и дырок (h⋅), локализованных на ионах 3d-переходных металлов. C ростом содержания стронция средняя степень окисления (Z) ионов 3d-переходных металлов изменяется незначительно: от +3.02 для x = 0.6 до +3.08 для x = 0.9 при 1373 K (ΔZ = 0.06) по сравнению с изменением содержания кислорода от 2.71 для x = 0.6 до 2.59 для x = 0.9 при 1373 K (Δ(3–δ) = 0.12, что соответствует зарядовой компенсации ΔZ = 0.24) (табл. 5). Таким образом, лабильность кислородной подрешетки [56] приводит к образованию твердых растворов в достаточно широких пределах, так как стабильность оксидов со структурой перовскита во многом определяется термодинамически выгодной степенью окисления 3d-металлов при определенных значениях T и Po2 [57], а зарядовая компенсация в Gd1–xSrxCo0.3Fe0.7O3–δ во всем исследованном интервале температур на воздухе осуществляется преимущественно за счет образования вакансий кислорода ().
Рис. 6. Зависимости содержания кислорода в оксидах Gd1–xSrxCo0.3Fe0.7O3–δ (0.6 ≤ x ≤ 0.9) от температуры на воздухе
Таблица 5. Содержание кислорода и средняя степень окисления 3d-переходных металлов в Gd1–xSrxCo0.3Fe0.7O3–δ на воздухе
x | T, K | 3 – δ | Средняя степень окисления 3d-металлов |
0.6 | 298 1373 | 2.94 ± 0.01 2.71 ± 0.01 | 3.48 3.02 |
0.7 | 298 1373 | 2.88 ± 0.01 2.67 ± 0.01 | 3.46 3.04 |
0.8 | 298 1373 | 2.84 ± 0.01 2.64 ± 0.01 | 3.48 3.08 |
0.9 | 298 1373 | 2.81 ± 0.01 2.59 ± 0.01 | 3.52 3.08 |
При средней степени окисления 3d-металлов >+3 в степени окисления +4 будут находиться преимущественно ионы более электроположительного элемента железа (ЭОFe = 1.64; ЭОCo = 1.7 [58]). Иными словами, равновесие Fe4+ + Co3+ = Fe3+ + Co4+ существенным образом сдвинуто влево. Используя условие электронейтральности и экспериментально определенные значения содержания кислорода, формулы твердых растворов Gd1–xSrxCo0.3Fe0.7O3–δ можно представить следующим образом:
T = 298 K, воздух | T = 1373 K, воздух |
Видно, что хотя с ростом концентрации стронция зарядовая компенсация осуществляется преимущественно за счет выхода кислорода из кристаллической решетки с образованием кислородных вакансий, доля ионов Fe4+ также несколько увеличивается. Аналогичные результаты были получены ранее для перовскитоподобных оксидов состава Ln1–xSrxCo1–yFeyO3–δ (Ln = La, Nd) [44, 45, 50].
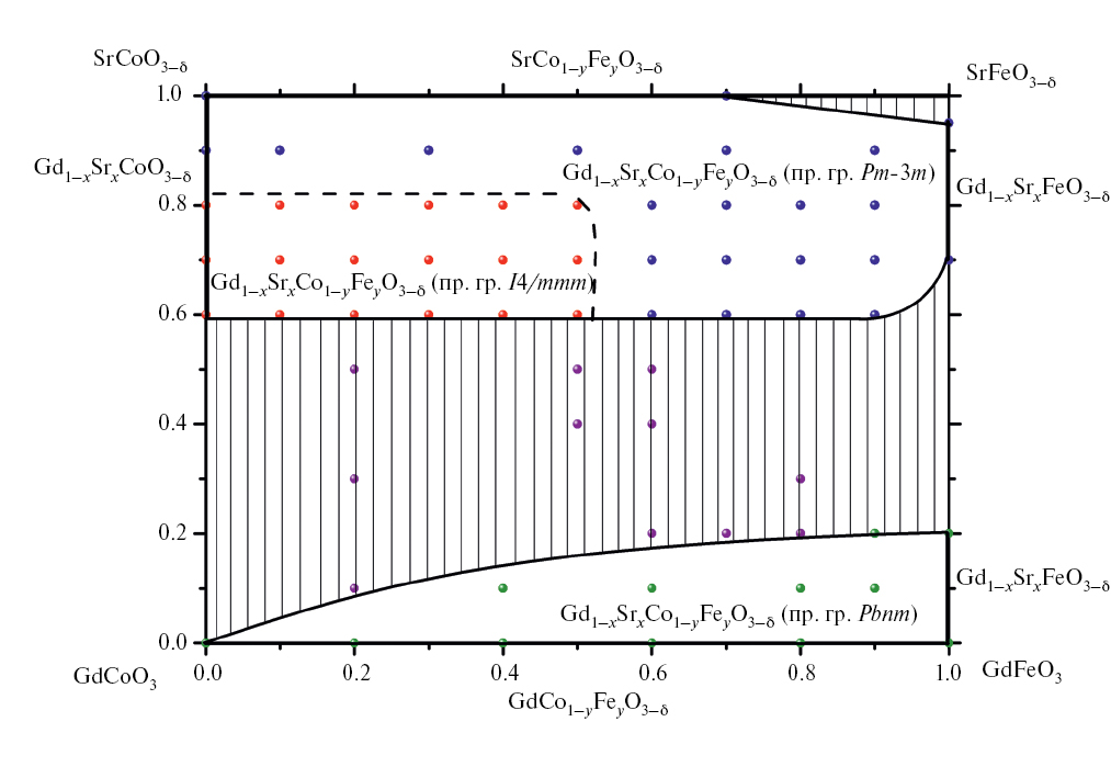
Диаграмма состояния системы GdCoO3–SrCoO3–δ–SrFeO3–δ–GdFeO3
Необходимые для построения диаграммы состояния квазичетверной системы GdCoO3– –SrCoO3–δ–SrFeO3–δ–GdFeO3 при 1373 K на воздухе составляющие ее квазибинарные системы GdCoO3–SrCoO3–δ, GdFeO3–SrFeO3–δ и SrCoO3–δ–SrFeO3–δ были подробно изучены в работах [52, 53, 59]. Границы областей гомогенности и тип кристаллической структуры оксидов, образующихся в этих системах при 1373 K на воздухе, приведены в табл. 6.
Таблица 6. Области гомогенности и кристаллическая структура твердых растворов, образующихся в квазибинарных системах при 1373 K на воздухе
Система | Состав твердого раствора | Кристаллическая структура | Ссылка | |
GdCoO3–SrCoO3–δ | Sr1–xGdxCoO3–δ | 0.0 ≤ x ≤ 0.19 | Кубическая (пр. гр. ) | [52] |
0.2 ≤ x ≤ 0.4 | Тетрагональная (пр. гр. I4/mmm) | |||
1.0 ≤ x < 0.4 | GdCoO3–δ + Sr0.6Gd0.4CoO3–δ | |||
GdFeO3–SrFeO3–δ | Sr1–xGdxFeO3–δ | 0.05 ≤ x ≤ 0.3 | Кубическая (пр. гр. ) | [53] |
0.8 ≤ x ≤ 1.0 | Орторомбическая (пр. гр. Pbnm) | |||
SrCoO3–δ–SrFeO3–δ | SrFe1–xCoxO3–δ | 0.0 ≤ x < 0.3 | Тетрагональная (пр. гр. I4/mmm) | [59] |
0.3 ≤ x ≤ 0.7 | Кубическая (пр. гр. ) | |||
0.7 < x < 1.0 | SrCoO3–δ + SrFe0.3Co0.7O3–δ | |||
GdCoO3–GdFeO3 | GdCo1–yFeyO3 | 0.0 ≤ y ≤ 1.0 | Орторомбическая (пр. гр. Pbnm) | Настоящая работа |
Рентгенограмма закаленного с 1373 K на воздухе кобальтита SrCoO3–δ была проиндексирована в рамках орторомбической ячейки с параметрами a = 5.615(1), b = 15.580(1), c = 5.563(1) Å (пр. гр. Pnma) [59], что хорошо согласуется с результатами, приведенными в [60]. Однако, согласно данным высокотемпературной рентгеновской дифракции [52], SrCoO3–δ при 1373 K на воздухе кристаллизуется в идеальной кубической структуре (пр. гр. Pm3‾m), а скорость закалки после извлечения образца на комнатную температуру недостаточна для сохранения структуры. Для уточнения области гомогенности твердых растворов SrFe1–xCoxO3–δ дополнительно проведена высокотемпературная рентгенография сложного оксида SrFe0.2Co0.8O3–δ. Согласно полученным результатам, при 1373 K на воздухе кобальтит SrFe0.2Co0.8O3–δ имеет кубическую структуру перовскита с параметром ячейки a = 3.984(1) Å (пр. гр. ). Таким образом, в условиях эксперимента в системе SrCoO3–δ– –SrFeO3–δ образуется ряд твердых растворов SrFe1–xCoxO3–δ при 0.0 ≤ x < 0.3 с тетрагональной структурой, а при 0.3 ≤ x ≤ 1.0 – с кубической, что согласуется с данными [61].
По результатам РФА всех исследованных образцов, закаленных на комнатную температуру, была построена диаграмма состояния системы GdCoO3–SrCoO3–δ–SrFeO3–δ–GdFeO3 на воздухе при 1373 K (рис. 7). На диаграмме состояния выделены области стабильности твердых растворов Gd1–xSrxCo1–yFeyO3–δ с орторомбической (пр. гр. Pbnm), тетрагональной (пр. гр. I4/mmm) и кубической (пр. гр. ) структурой. Структурный переход порядок ↔ беспорядок для оксидов Gd1–xSrxCo1–yFeyO3–δ (0.6 ≤ x ≤ 0.8, y > 0.5) относится к фазовым переходам второго рода, граница такого перехода является размытой и не может быть отнесена к строго зафиксированным параметрам, поэтому на диаграмме состояния она проведена пунктирной линией. Заштрихованные поля соответствуют двум типам твердых растворов.
Рис. 7. Изобарно-изотермическая диаграмма состояния системы GdCoO3–SrCoO3–δ–SrFeO3–δ–GdFeO3 при 1373 K на воздухе. Зеленые точки отвечают орторомбической структуре Gd1–xSrxCo1–yFeyO3–δ (пр. гр. Pbnm), синие – кубической структуре (пр. гр. ), красные – тетрагональной упорядоченной структуре (пр. гр. I4/mmm). Фиолетовые точки соответствуют двухфазной области сосуществования орторомбической и тетрагональной (или кубической) структур
ЗАКЛЮЧЕНИЕ
Показано, что кристаллическая структура твердых растворов Gd1–xSrxCo1–yFeyO3–δ существенно зависит от концентрации введенных стронция и железа. При малом содержании стронция сложные оксиды Gd1–xSrxCo1–yFeyO3–δ (x = 0.0, 0.0 ≤ y ≤ 1.0; x = 0.1, 0.4 ≤ y ≤ 1.0; x = 0.2, y = 0.9) имеют орторомбически искаженную структуру перовскита (пр. гр. Pbnm); обогащенные стронцием оксиды Gd1–xSrxCo1–yFeyO3–δ (0.6 ≤ x ≤ 0.8) с малым содержанием железа (0.1 ≤ y ≤ 0.5) кристаллизуются в тетрагональной суперъячейке 2ap × 2ap × 4ap (пр. гр. I4/mmm) с упорядоченно расположенными катионами Gd и Sr в A-подрешетке, а оксиды (0.6 ≤ x ≤ 0.8) с бóльшим содержанием железа (0.6 ≤ y ≤ 0.9) – в кубической ячейке со статистически распределенными катионами. Увеличение параметров элементарных ячеек оксидов Gd1–xSrxCo1–yFeyO3–δ с ростом содержания стронция и/или железа связано с размерным эффектом. Содержание кислорода в кобальтитах Gd1–xSrxCo1–yFeyO3–δ уменьшается с ростом температуры (что соответствует более восстановительным условиям), с увеличением концентрации стронция (представляющего собой акцепторный тип заместителя ) и в несколько меньшей степени с уменьшением концентрации железа (представляющего собой донорный тип заместителя). Построено изобарно-изотермическое сечение диаграммы состояния системы GdCoO3–SrCoO3–δ–SrFeO3–δ–GdFeO3 при 1373 K на воздухе.
ФИНАНСИРОВАНИЕ РАБОТЫ
Работа выполнена при финансовой поддержке Министерства науки и высшего образования РФ (№ 123031300049-8).
КОНФЛИКТ ИНТЕРЕСОВ
Авторы заявляют, что у них нет конфликта интересов.
About the authors
Т. V. Aksenova
Yeltsin Ural Federal University
Author for correspondence.
Email: TV.Aksenova@urfu.ru
Russian Federation, Ekaterinburg, 620002
E. E. Solomakhina
Yeltsin Ural Federal University
Email: TV.Aksenova@urfu.ru
Russian Federation, Ekaterinburg, 620002
A. S. Urusova
Yeltsin Ural Federal University
Email: TV.Aksenova@urfu.ru
Russian Federation, Ekaterinburg, 620002
V. A. Cherepanov
Yeltsin Ural Federal University
Email: TV.Aksenova@urfu.ru
Russian Federation, Ekaterinburg, 620002
References
- Клындюк А.И., Журавлева Я.Ю., Гундилович Н.Н. и др. // Неорган. материалы. 2023. Т. 59. № 1. С. 88. https://doi.org/10.31857/S0002337X23010086
- Симоненко Т.Л., Симоненко Н.П., Симоненко Е.П. и др. // Журн. неорган. химии. 2022. Т. 67. № 10. С. 1359. https://doi.org/10.31857/S0044457X22600736
- Клындюк А.И., Журавлева Я.Ю. // Журн. неорган. химии. 2022. Т. 67. № 12. С. 1874. https://doi.org/10.31857/S0044457X22600669
- Калинина М.В., Дюскина Д.А., Полякова И.Г. и др. // Физика и химия стекла. 2023. Т. 49. № 2. С. 158. https://doi.org/10.31857/S013266512260087X
- Чижова Е.А., Клындюк А.И., Журавлева Я.Ю. и др. // Физика и химия стекла. 2023. Т. 49. № 1. С. 71. https://doi.org/10.31857/S0132665122600200
- Fan H., Liu Z., Wu Y. et al. // Int. J. Appl. Ceram. Technol. 2023. V. 21. № 1. P. 289. https://doi.org/10.1111/ijac.14490
- Lee K.T., Manthiram A. // J. Electrochem. Soc. 2006. V. 153. № 4. P. A794. https://doi.org/10.1149/1.2172572
- Lee K.T., Manthiram A. // J. Electrochem. Soc. 2005. V. 152. № 1. P. A197. https://doi.org/10.1149/1.1828243
- Rossignol C., Ralph J.M., Bae J.-M. et al. // Solid State Ionics. 2004. V. 175. № 1–4. P. 59. https://doi.org/10.1016/j.ssi.2004.09.021
- Takeda Y., Ueno H., Imanishi N. et al. // Solid State Ionics. 1996. V. 86–88. P. 1187. https://doi.org/10.1016/0167-2738(96)00285-8
- Ni Q., Chen H., Ge L. et al. // J. Power Sources. 2017. V. 349. P. 130. https://doi.org/10.1016/j.jpowsour.2017.03.037
- Tong X., Ovtar S., Brodersen K. et al. // J. Power Sources. 2020. V. 451. P. 227742. https://doi.org/10.1016/j.jpowsour.2020.227742
- Madathil R.K., Norby T. // Solid State Sci. 2022. V. 124. P. 106801. https://doi.org/10.1016/j.solidstatesciences.2021.106801
- Конончук О.Ф., Петров А.Н., Черепанов В.А. // Изв. АН СССР. Неорган. материалы. 1991. Т. 27. № 9. С. 1963.
- Vereshchagin S.N., Solovyov L.A., Rabchevskii E.V. et al. // Chem. Commun. 2014. V. 50. P. 6112. https://doi.org/10.1039/c4cc00913d
- Tealdi C., Saiful Islam M., Fisher C. et al. // Prog. Solid State Chem. 2007. V. 35. P. 491. https://doi.org/10.1016/j.progsolidstchem.2007.01.015
- Wang X., Huang K., Ma W. et al. // Chem. Eur. J. 2017. V. 23. P. 1093. https://doi.org/10.1002/chem.201604065
- Liu H., Guo Y., Xie R. et al. // Sens. Actuators, B. 2017. V. 246. P. 164. https://doi.org/10.1016/j.snb.2017.02.072
- He J., Sunarso J., Miao J. et al. // J. Hazardous Mater. 2019. V. 369. P. 699. https://doi.org/10.1016/j.jhazmat.2019.02.070
- Li T., Jayathilake R.S., Taylor D.D. et al. // Chem. Commun. 2019. V. 55. P. 4929. https://doi.org/10.1039/C8CC09573F
- Dudnikov V.A., Orlov Y.S., Kazak N.V. et al. // Ceram. Int. 2019. V. 45. № 5. P. 5553. https://doi.org/10.1016/j.ceramint.2018.12.013
- Reis M.S., Rocco D.L., Caraballo Vivas R.J. et al. // J. Magn. Magn. Mater. 2017. V. 422. P. 197. https://doi.org/10.1016/j.jmmm.2016.08.080
- Ryu K.H., Roh K.S., Lee S.J. et al. // J. Solid State Chem. 1993. V. 105. № 2. P. 550. https://doi.org/10.1006/jssc.1993.1247
- Zhang L., Li X., Wang F. et al. // Mater. Res. Bull. 2013. V. 48. P. 1088. https://doi.org/10.1016/j.materresbull.2012.11.105
- Long P.T., Manh Т.V., Ho T.A. et al. // Ceram. Int. 2018. V. 44. P. 15542. https://doi.org/10.1016/j.ceramint.2018.05.216
- James M., Cassidy D., Goossens D.J. et al. // J. Solid State Chem. 2004. V. 177. № 6. P. 1886. https://doi.org/10.1016/j.jssc.2004.01.012
- Alhokbany N., Almotairi S., Ahmed J. et al. // J. King Saud Univer. Sci. 2021. V. 33. P. 101419. https://doi.org/10.1016/j.jksus.2021.101419
- Petrov A.N., Kononchuk O.F., Andreev A.V. et al. // Solid State Ionics. 1995. V. 80. P. 189. https://doi.org/10.1016/0167-2738(95)00114-l
- Cherepanov V.A., Gavrilova L.Ya., Barkhatova L.Yu. et al. // Ionics. 1998. V. 4. № 3–4. P. 309. https://doi.org/10.1007/BF02375959
- James M., Tedesco T., Cassidy D.J. et al. // Mater. Res. Bull. 2005. V. 40. P. 990. https://doi.org/10.1016/j.materresbull.2005.02.020
- Park S., Choi S., Shin J. et al. // J. Power Sources. 2012. V. 210. P. 172. https://doi.org/10.1016/j.jpowsour.2012.03.018
- Aksenova Т.V., Efimova T.G., Lebedev O.I. et al. // J. Solid State Chem. 2017. V. 248. P. 183. https://doi.org/10.1016/j.jssc.2017.02.002
- James M., Avdeev M., Barnes P. et al. // J. Solid State Chem. 2007. V. 180. № 8. P. 2233. https://doi.org/10.1002/chin.200835004
- Dudnikov V.A., Orlov Y.S., Kazak N.V. et al. // Ceram. Int. 2018. V. 44. № 9. P. 10299. https://doi.org/10.1016/j.ceramint.2018.03.037
- Vereshchagin S.N., Dudnikov V.A., Shishkina N.N. et al. // Thermochim. Acta. 2017. V. 655. P. 34. https://doi.org/10.1016/j.tca.2017.06.003
- Dudnikov V.A., Orlov Yu.S., Gavrilkin S.Yu. et al. // J. Phys. Chem. 2016. V. 120. P. 13443. https://doi.org/10.1021/acs.jpcc.6b04810
- Maklakova A.V., Baten’kova A.S., Vlasova M.A. et al. // Solid State Sci. 2020. V. 110. P. 106453. https://doi.org/10.1016/j.solidstatesciences.2020.106453
- Дудников В.А., Казак Н.В., Орлов Ю.С. и др. // ЖЭТФ. 2019. Т. 155. № 4. С. 737. https://doi.org/10.1134/S0044451019040175
- Istomin S.Y., Drozhzhin O.A., Svensson G. // Solid State Sci. 2004. V. 6. P. 539. https://doi.org/10.1016/j.solidstatesciences.2004.03.029.
- Petrov A.N., Cherepanov V.A., Kononchuk O.F. et al. // J. Solid State Chem. 1990. V. 87. № 1. P. 69. https://doi.org/10.1016/0022-4596(90)90066-7
- James M., Morales L., Wallwork K. et al. // Physica B. 2006. V. 385–386. P. 199. https://doi.org/10.1016/j.physb.2006.05.244
- Qiu L., Ichikawa T., Hirano A. et al. // Solid State Ionics. 2002. V. 158. № 1–2. P. 55. https://doi.org/10.1016/S0167-2738(02)00757-9
- Dyck C.R., Yu G., Krstic V.D. // Mater. Res. Soc. Symp. Proc. 2003. V. 801. P. 114. https://doi.org/10.1557/PROC-801-BB3.4
- Aksenova Т.V., Cherepanov V.A., Gavrilova L.Ya. et al. // Prog. Solid State Chem. 2007. V. 35. P. 175. https://doi.org/10.1016/j.progsolidstchem.2007.03.001
- Elkalashy Sh.I., Gilev A.R., Aksenova Т.V. et al. // Solid State Ionics. 2018. V. 31. P. 85. https://doi.org/10.1016/j.ssi.2017.12.028
- Xu Q., Huang D., Chen W. et al. // J. Alloys Compd. 2007. V. 429. № 1–2. P. 34. https://doi.org/10.1016/j.jallcom.2006.04.005
- Dasgupta N., Krishnamoorthy R., Thomas J.K. // Mater. Sci. Eng., B. 2002. V. 90. № 3. P. 278. https://doi.org/10.1016/S0921-5107(02)00058-2
- Lee K.T., Manthiram A. // Solid State Ionics. 2005. V. 176. № 17–18. P. 1521. https://doi.org/10.1016/j.ssi.2005.05.002
- Riza F., Ftikos Ch., Tietz F. et al. // J. Eur. Ceram. Soc. 2001. V. 21. № 10–11. P. 1769. https://doi.org/10.1016/S0955-2219(01)00112-1
- Elkalashy Sh.I., Aksenova Т.V., Urusova A.S. et al. // Solid State Ionics. 2016. V. 295. P. 96. https://doi.org/10.1016/j.ssi.2016.08.005
- Shannon R.D. // Acta Crystallogr., Sect. A. 1976. V. 32. P. 751. https://doi.org/10.1107/S0567739476001551
- Maklakova A.V., Vlasova M.A., Volkova N.E. et al. // J. Alloys Compd. 2021. V. 883. P. 160794. https://doi.org/10.1016/j.jallcom.2021.160794
- Khvostova L.V., Volkova N.E., Gavrilova L.Ya. et al. // Mater. Today Commun. 2021. V. 29. № 25. P. 102885. https://doi.org/10.1016/j.mtcomm.2021.102885
- Volkova N.E., Maklakova A.V., Gavrilova L.Ya et al. // Eur. J. Inorg. Chem. 2017. V. 2017. № 26. P. 3285. https://doi.org/10.1002/ejic.201700321
- Aksenova Т.V., Mysik D.K., Cherepanov V.A. // Catalysts. 2022. V. 12. P. 1344. https://doi.org/10.3390/catal12111344
- Tsipis E.V., Naumovich E.N., Patrakeev M.V. et al. // J. Solid State Electrochem. 2021. V. 25. P. 2777. https://doi.org/10.1007/s10008-021-05023-8
- Cherepanov V.A., Barkhatova L.Yu., Petrov A.N. // J. Phys. Chem. Solids. 1994. V. 55. № 3. P. 229. https://doi.org/10.1016/0022-3697(94)90137-6
- Huheey J.I. Inorganic Chemistry. N.Y.: Harper & Row, 1983.
- Aksenova Т.V., Gavrilova L.Ya., Cherepanov V.A. // J. Solid State Chem. 2008. V. 10. P. 1480. https://doi.org/10.1016/j.jssc.2008.03.010
- Grenier J.C., Fournes L., Pouchard M. et al. // Mater. Res. Bull. 1986. V. 21. № 4. P. 441. https://doi.org/10.1016/0025-5408(86)90009-7
- Takeda T., Watanabe H. // J. Phys. Soc. Jpn. 1972. V. 33. № 4. P. 973. https://doi.org/10.1143/JPSJ.33.973
Supplementary files









