Synthesis and thermal transformations of tungstenphosphatemetallate complexes with hexamethylenetetramine
- Autores: Lozinskii N.S.1, Lopanov A.N.2, Moroz Y.A.1, Pekhtereva T.M.1
-
Afiliações:
- Litvinenko Institute of Physical Organic and Coal Chemistry
- Shukhov Belgorod State Technological University
- Edição: Volume 69, Nº 7 (2024)
- Páginas: 1029-1038
- Seção: КООРДИНАЦИОННЫЕ СОЕДИНЕНИЯ
- URL: https://bakhtiniada.ru/0044-457X/article/view/274311
- DOI: https://doi.org/10.31857/S0044457X24070118
- EDN: https://elibrary.ru/XNKGJZ
- ID: 274311
Citar
Texto integral
Resumo
The results of the synthesis and identification of complex compounds of hexamethylenetetramine (CH2)6N4 (HMTA) with tungstenphosphatemetallates are presented. The processes and crystalline products of thermal decomposition of compounds with the general formula: Cat5[PW11O39Z(HMTA)] ∙ nH2O, Cat=Na+, NH4+; Z=Co2+, Ni2+, Zn2+; n = 10–13 and the schemes for their thermolysis were established. It has been shown that ammonium salts during thermolysis form phases of the composition ZO ∙ 0.5P2O5 ∙ 11WO3 or Z6/73P6/73W66/73O3 with the structure of phosphotungsten bronze. The decomposition products of sodium salts are a mixture of phases with the structures of sodium tungstates Na2W2O7 and Na2W4O13. The research results can be used to predict thermal transformations and the composition of thermolysis products of similar complexes of HMTA and tungstenphosphatemetallates of other 3d-elements.
Texto integral
ВВЕДЕНИЕ
Исследователи в области катализа, новых материалов для возобновляемых источников энергии и медицинских препаратов широко применяют гетерополиоксометаллаты [1–11]. Вольфрамофосфатометаллаты и продукты их термолиза представляют собой перспективные функциональные материалы для получения катализаторов реакций окисления спиртов, алкенов, алканов и других органических соединений [5, 9, 12–17], для эпоксидирования олефинов и гидроксилирования алканов [14], для очистки автомобильного топлива [18, 19], в фото- и электрокаталитических процессах, в том числе для разложения воды и поглощения углекислого газа [20–27], а также для карбонилирования при участии углекислого газа [28, 29], для микроволнового синтеза углеродных наноматериалов [30], для изготовления электродов для различных систем аккумуляторных батарей [7] и композитных электрохимических датчиков [8, 31]. Наиболее высокую активность и селективность в большинстве указанных процессов проявляют комплексы кобальта, никеля, марганца и железа. Высокая биологическая активность гетерополиоксометаллатов и их органических производных позволяет рассматривать их как новый потенциальный лекарственный материал, в том числе для пролонгированной и адресной доставки лекарственных препаратов [32–39].
Известным способом получения металлооксидных наноматериалов является их синтез через промежуточные соединения – прекурсоры – с последующей их термообработкой. В качестве прекурсоров для получения соединений со структурой пирохлора и вольфрамовой бронзы используют гетерополивольфрамометаллаты с 3d-элементами в координационной сфере и их органические производные [40, 41]. Синтезированные таким способом продукты применяют в качестве функциональной части катализаторов, сенсоров, магнитов и других материалов [42–49]. В то же время сведений о комплексах гетерополиоксометаллатов с лигандом гексаметилентетрамином (ГМТА) нами в литературе не найдено.
В данной работе представлены результаты по синтезу и исследованию термического поведения натриевых и аммонийных солей вольфрамофосфатометаллатов с кобальтом, никелем или цинком и ГМТА во внутренней сфере комплексов.
ЭКСПЕРИМЕНТАЛЬНАЯ ЧАСТЬ
Соединения с общей формулой Cat5[PW11O39Z(ГМТА)] ∙ nH2O, где Cat = Na+, NH4+; Z = Co2+, Ni2+, Zn2+; n = 10–13, синтезированы взаимодействием водных растворов при температуре 20°С вольфрамофосфатометаллатов и ГМТА. Синтез натриевых и аммонийных солей вольфрамофосфатометаллатов проводили по методикам [50]. Использованные реактивы производства Реахим (Россия) имели квалификацию “ч.”.
Для синтеза Na5[PW11O39Co(ГМТА)] ∙ 13H2O 3.2 г 11-вольфрамофосфатокобальтата натрия (1.0 ммоль) растворили в 100 мл воды и к полученному раствору добавили 0.14 г ГМТА (1.0 ммоль), растворенного в 10 мл воды. Раствор профильтровали и поместили в чашку Петри для кристаллизации. Образовавшиеся кристаллы отделили от водного раствора, перекристаллизовали из воды и высушили на воздухе. Выход продукта составил 83% от теоретического.
По аналогичной методике синтезировали комплекс (NH4)5[PW11O39Co(ГМТА)] ∙ 10H2O, в котором вольфрамофосфатокобальтат натрия был заменен эквивалентным количеством вольфрамофосфатокобальтата аммония. Комплексы никеля и цинка получены по аналогичным методикам, в которых вольфрамофосфатокобальтаты были заменены вольфрамофосфатоникелатами или вольфрамофосфатоцинкатами.
Для установления химического состава соединений использовали методы атомно-эмиссионной спектроскопии с индуктивно-связанной плазмой (атомно-эмиссионный спектрометр IRIS Intrepid II XSP Duo Thermo Electron Corporation) и гравиметрического анализа (электронные весы WAA 60/160/X Radwag, муфельная печь Instrumental of Laboratory Mod 550-14 Fisher Scientific). Содержание воды определяли высушиванием образцов при температуре 100°C до постоянной массы аналогично [51]. Количество ГМТА для натриевых солей и суммы NH4+ и ГМТА для аммонийных солей рассчитывали по разности между убылью массы образцов при прокаливании при температуре 700°C и содержанием в них воды. Доверительный интервал (±∆) с доверительной вероятностью 95% рассчитывали по результатам пяти параллельных измерений.
Вольфрамофосфатометаллаты и продукты их термолиза идентифицировали по электронным спектрам поглощения (спектрофотометр Helios Gamma, Thermo Electron Corporation), ИК-спектрам в таблетках с бромидом калия (инфракрасный спектрометр Bruker Vertex 70) и данным рентгенофазового анализа (РФА) (рентгеновский дифрактометр ДРОН-3.0, CuKα-излучение) в диапазоне 10° ≤ 2θ ≤ 60° со скоростью 1 град/мин. Термогравиметрические исследования проводили на анализаторе “STA 449 F1 Jupiter” одновременно с применением синхронного термического анализа (ДСК) при скорости нагрева образцов 10 град/мин на воздухе, навески образцов 15–20 мг. Электрическое сопротивление продуктов термолиза определяли с помощью измерителя LCR DE–5000 при частоте 1 кГц в таблетках диаметром 7 мм и высотой 5 мм, сформованных под давлением 25 МПа без введения связующих. Спектры ЯМР 1Н и 13C регистрировали на спектрометре BRUKER AVANCEII/400 в растворе D2O при 25°С. Дополнительная информация об использованных приборах приведена в табл. S1.
РЕЗУЛЬТАТЫ И ОБСУЖДЕНИЕ
Комплексы Cat5[PW11O39Co(ГМТА)] ∙ nH2O. Химический состав синтезированных комплексов вольфрамофосфатометаллатов с ГМТА приведен в табл. 1. ИК-спектры соединений Cat5[PW11O39Co(ГМТА)] ∙ nH2O аналогичны спектрам других вольфрамофосфатометаллатов 3d-элементов со структурой аниона Кеггина, в которых один атом вольфрама в октаэдре WO6 замещен на атом 3d-металла, в данном случае кобальта, а также содержат характерные полосы поглощения групп аммония и ГМТА (рис. 1, табл. 1, 2) [40, 41, 52–54]. Электронные спектры поглощения их водных растворов свидетельствуют об октаэдрическом окружении катионов кобальта, входящих в координационную сферу комплексов, что согласуется со структурой аниона Кеггина (рис. 2а), и аналогичны для натриевых и аммонийных солей. В спектрах поглощения растворов вольфрамофосфатокобальтатов присутствуют характерные для октаэдрических комплексов кобальта полосы поглощения с максимумом 538 нм [55]. При этом наблюдается сдвиг максимума полосы поглощения комплексов при переходе от аквакомплекса [Co(H2O)6]2+ к вольфрамофосфатометаллатному комплексу [PW11O39Co(H2O)]5– в длинноволновую область спектра [40, 41]. При добавлении к раствору вольфрамофосфатокобальтата раствора ГМТА происходит изменение электронного спектра поглощения: образуются два максимума поглощения 505 и 527 нм (рис. 2а), что свидетельствует о протекании реакции комплексообразования в данной системе с изменением силы поля лигандов в окружении катионов кобальта. Наиболее вероятным таким процессом может быть присоединение ГМТА к кобальту, входящему во внутреннюю сферу комплекса. Расщепление пиков в ИК-спектрах синтезированных соединений в области колебаний CH2- и CN-групп 1460–1235 см–1, принадлежащих ГМТА (рис. 1), в сравнении с ИК-спектром индивидуального ГМТА подтверждает его участие в процессе комплексообразования [49, 53]. Вольфрамофосфатометаллатные комплексы с ГМТА аналогичного состава не были известны ранее. Предполагаемая структурная формула комплексов представлена на рис. S1.
Рис. 1. ИК-спектры вольфрамофосфатометаллатов: 1 – (NH4)5[PW11O39Co(ГМТА)] ∙ 10H2O; 2 – Na5[PW11O39Co(ГМТА)] ∙ 13H2O; 3 – (NH4)5[PW11O39Ni(ГМТА)] ∙ 10H2O; 4 – Na5[PW11O39Ni(ГМТА)] ∙ 13H2O; 5 – (NH4)5[PW11O39Zn(ГМТА)] ∙ 10H2O; 6 – Na5[PW11O39Zn(ГМТА)] ∙ 13H2O; 7 – Na5[PW11O39Co(H2O)] ∙ 14H2O; 8 – ГМТА.
Рис. 2. Электронные спектры поглощения растворов комплексов кобальта (а): 1 – CoCl2 ∙ 6H2O 0.1 моль/л; 2 – Na5[PW11O39Co(H2O)] ∙ 14H2O 0.03 моль/л; 3 – Na5[PW11O39Co(ГМТА)] ∙ 13H2O 0.03 моль/л и комплексов никеля (б): 1 – Ni(NO3)2 ∙ 6H2O 0.1 моль/л; 2 – Na5[PW11O39Ni(H2O)] ∙ 14H2O 0.03 моль/л; 3 – Na5[PW11O39Ni(ГМТА)] ∙ 13H2O 0.03 моль/л.
Таблица 1. Химический состав синтезированных комплексных соединений вольфрамофосфатометаллатов кобальта, никеля и цинка с ГМТА
Формула соединения – номер соединения римской цифрой | Найдено ±∆/вычислено, мас. % | ||||||
Na | NH4+ | ГМТА | P | W | H2O | 3d-эле-мент | |
Na5[PW11O39Co(ГМТА)] ∙ 13H2O – I | 3.40 ± ± 0.18/3.56 | – | 4.51 ± ± 0.22/ 4.35 | 0.98 ± ± 0.04/0.96 | 63.01 ± ± 0.32/62.70 | 7.15 ± ± 0.21/7.26 | 1.88 ± ± 0.10/1.83 |
Na5[PW11O39Ni(ГМТА)] ∙ 13H2O – II | 3.51 ± ± 0.09/3.56 | – | 4.47 ± ± 0.17/4.35 | 0.94 ± ± 0.05/0.96 | 62.51 ± ± 0.26/62.70 | 7.38 ± ± 0.13/7.26 | 1.80 ± ± 0.12/1.82 |
Na5[PW11O39Zn(ГМТА)] ∙ 13H2O – III | 3.50 ± ± 0.32/3.56 | – | 4.41 ± ± 0.11/ 4.34 | 0.95 ± ± 0.04 /0.96 | 62.23 ± ± 0.43/62.57 | 7.42 ± ± 0.24/7.25 | 2.00 ± ± 0.07/2.02 |
(NH4)5[PW11O39Co(ГМТА)] ∙ 10H2O – IV | – | 7.21 ± 0.33/7.32* | 1.00 ± ± 0.03/0.98 | 64.69 ± ± 0.506/4.27 | 5.34 ± ± 0.50/5.72 | 1.81 ± ± 0.18/1.87 | |
(NH4)5[PW11O39Ni(ГМТА)] ∙ 10H2O – V | – | 7.50 ± 0.46/7.32* | 0.97 ± ± 0.04/0.98 | 64.82 ± ± 0.52/64.27 | 5.90 ± ± 0.28/5.73 | 1.97 ± ± 0.17/1.87 | |
(NH4)5[PW11O39Zn(ГМТА)] ∙ 10H2O – VI | – | 7.62 ± 0.49/7.31* | 0.96 ± ± 0.05/0.98 | 64.31 ± ± 0.21/64.14 | 5.45 ± ± 0.33/5.71 | 2.01 ± ± 0.15/2.07 | |
* Сумма NH4+ и ГМТА
Таблица 2. Отнесение частот колебаний и их относительная интенсивность* в ИК-спектрах вольфрамофосфатометаллатов c ГМТА
Номер соединения | Частоты колебаний, см–1 | ||||||
δ(H2O) | δ(NH4+) | δ(CH2) | ν(CN) | ν(P–O) | ν(W=O) | ν(W–O–W) ν(W–O–Z) | |
I | 1620 ср | – | 1464 сл; 1403 сл; 1361 сл | 1260 ср; 1239 сл; 1023 сл | 1080 ср; 1057 ср | 955 с | 892 ср; 819 с; 756 ср; 722 ср; 593 сл; 508 сл |
II | 1624 ср | – | 1465 сл; 1403 сл; 1360 сл | 1261 ср; 1240 сл; 1023 сл | 1082 ср; 1058 ср | 955 с | 893 ср; 820 с; 757 ср; 721 ср; 592 сл; 510 сл |
III | 1625 ср | – | 1464 сл; 1400 сл; 1360 сл | 1263 ср; 1240 сл; 1024 сл | 1080 ср; 1058 ср | 956 с | 895 ср; 820 с; 756 ср; 723 ср; 593 сл; 510 сл |
IV | 1619 ср | 1403 с | 1456 сл; 1364 сл; 1312 сл | 1260 ср; 1270 сл; 1013 сл | 1077 ср; 1055 ср | 954 с | 885 ср; 820 с; 751 ср; 710 ср; 592 сл; 509 сл |
V | 1621 ср | 1400 с | 1455 сл; 1361 сл; 1310 сл | 1262 ср; 1271 сл; 1015 сл | 1079 ср; 1060 ср | 958 с | 887 ср; 812 с; 751 ср; 702 ср; 592 сл; 509 сл |
VI | 1623 ср | 1402 с | 1457 сл; 1364 сл; 1314 сл | 1263 ср; 1270 сл; 1013 сл | 1077 ср; 1060 ср | 960 с | 888 ср; 811 с; 750 ср; 701 ср; 591 сл; 510 сл |
VII** | 1620 ср | – | – | – | 1078 ср; 1057 ср | 962 с | 891 ср; 816 с; 754 ср; 714 ср; 592 сл; 509 сл |
VIII*** | – | – | 1487 ср; 1457 ср; 1371 ср; 811 с | 1238 с; 1006 с; 671 с | – | – | – |
* с – пик сильной интенсивности, ср – средней, сл – слабой
VII** – Na5[PW11O39Co(H2O)] ∙ 14H2O
VIII*** – ГМТА
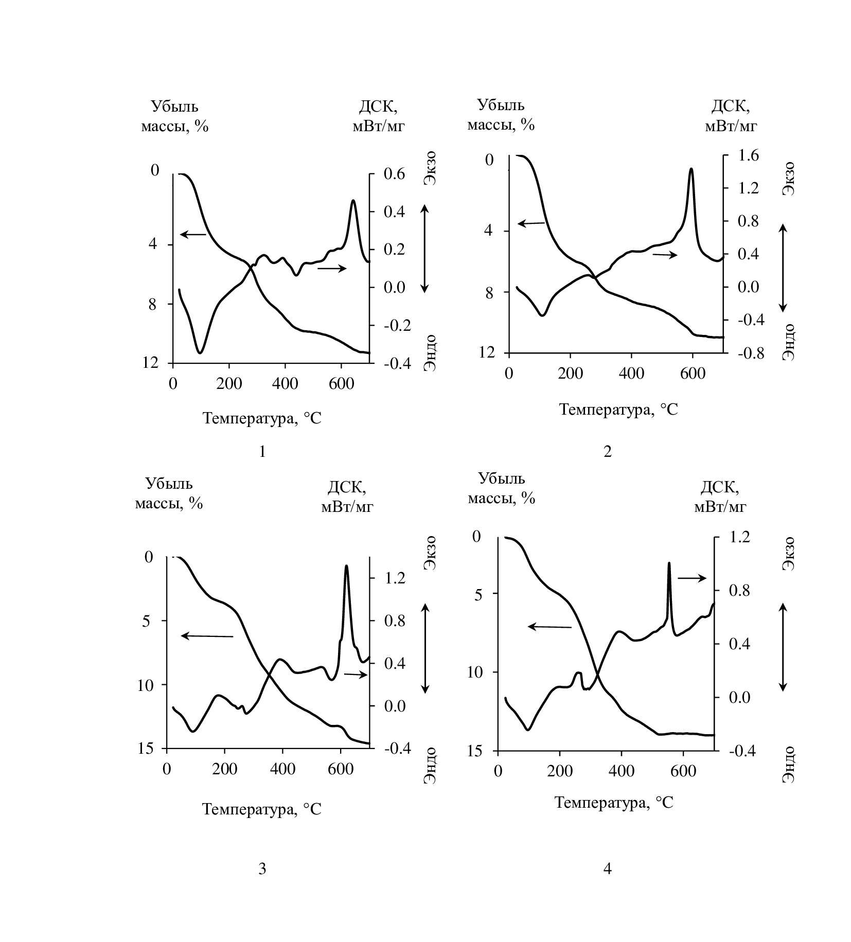
Воздушно-сухие образцы синтезированных комплексов Cat5[PW11O39Co(ГМТА)] ∙ nH2O имеют плохо сформированную кристаллическую структуру и термически не устойчивы. При нагревании (NH4)5[PW11O39Co(ГМТА)] ∙ 10H2O на воздухе происходит его дегидратация, эндотермический эффект с минимумом при температуре 95°C обусловлен удалением молекул воды, аналогично комплексу (NH4)5[PW11O39Co(H2O)] ∙ 9H2O [50]. В интервале температур 200–600°C происходит удаление групп аммония и разложение органических компонентов комплекса. Разделить эти процессы на отдельные стадии не удалось. По данным термогравиметрического анализа (рис. 3), ИК-спектров и РФА образцов, прокаленных при различных температурах (рис. S3), в интервале 200–450°C происходит частичное удаление групп аммония и ГМТА с образованием соединения (NH4)3[PW12O40] со структурой аниона Кеггина. Переход дефектной структуры аниона Кеггина [PW11O39Co]5– в завершенную структуру [PW12O40]3– при термолизе установлен ранее и для других солей вольфрамофосфатометаллатов с 3d-элементами [40, 41, 56]. Повышение температуры нагревания вольфрамофосфатокобальтата до 550–600°C сопровождается дальнейшим удалением групп аммония и разрушением структуры аниона Кеггина. Экзотермический эффект с максимумом при 590°C связан с кристаллизацией конечных продуктов термолиза – фаз состава CoO ∙ 0.5P2O5 ∙ 11WO3 (рис. 3, табл. 3). По данным РФА, они изоструктурны с соединением PW12O38.5 (ICDD® PDF® № 00-041-0369) и фосфорвольфрамовой бронзой PW8O26 (ICDD® PDF® № 00-050-0660). Состав фазы CoO ∙ 0.5P2O5 ∙ 11WO3 можно представить в виде CoPW11O36.5 или Co6/73P6/73W66/73O3 по аналогии с вольфрамовыми бронзами CatxWO3.
Рис. 3. Кривые термического анализа вольфрамофосфатокобальтатов: а – Na5[PW11O39Co(ГМТА)] ∙ 13H2O; б – (NH4)5[PW11O39Co(ГМТА)] ∙ 10H2O.
Таблица 3. Результаты термического и рентгенофазового анализа вольфрамофосфатометаллатов с ГМТА
Соединение | Дегидратация | Фазовый состав продуктов термолиза | ||
t, °C | молей Н2О | t, °C | состав продуктов термолиза | |
Na5[PW11O39Co(ГМТА)] ∙ 13H2O | 200 | 13 | 600 | Na2W2O7; Na2W4O13 |
Na5[PW11O39Ni(ГМТА)] ∙ 13H2O | 200 | 13 | 650 | Na2W2O7; Na2W4O13 |
Na5[PW11O39Zn(ГМТА)] ∙ 13H2O | 200 | 13 | 600 | Na2W2O7; Na2W4O13 |
(NH4)5[PW11O39Co(ГМТА)] ∙ 10H2O | 200 | 10 | 450 600 | (NH4)3[PW12O40] CoO ∙ 0.5P2O5∙11WO3 фосфорвольфрамовая бронза |
(NH4)5[PW11O39Ni(ГМТА)] ∙ 10H2O | 200 | 10 | 450 600 | (NH4)3[PW12O40] NiO ∙ 0.5P2O5∙11WO3 фосфорвольфрамовая бронза |
(NH4)5[PW11O39Zn(ГМТА)] ∙ 10H2O | 200 | 10 | 450 600 | (NH4)3[PW12O40] ZnO ∙ 0.5P2O5∙11WO3 фосфорвольфрамовая бронза |
Процессы удаления групп аммония и органических компонентов из вольфрамофосфатометаллатов при прокаливании в муфельной печи в среде аргона сопровождаются восстановлением продуктов термолиза до вольфрамовой бронзы аналогично тетраметил- и тетраэтиламмониевым солям [41]. Удельное электрическое сопротивление продукта термолиза аммонийной соли (NH4)5[PW11O39Co(ГМТА)] ∙ 10H2O, полученного прокаливанием в муфельной печи при 600°C в среде аргона, составляет 1 × 104 Ом ∙ м, а полученного при 600°C на воздухе – 1 × 1010 Ом ∙ м, что подтверждает образование в инертной атмосфере относительно хорошо проводящих электрический ток вольфрамовых бронз. Удельное электрическое сопротивление вольфрамовых бронз щелочных металлов Na(K)xWO3 составляет 0.04–3 × 103 Ом ∙ м [57].
По данным РФА, продуктами термолиза натриевой соли Na5[PW11O39Co(ГМТА)] ∙ 13H2O на воздухе является смесь фаз со структурами ди- и тетравольфраматов натрия (рис. S3, табл. 3).
Комплексы Cat5[PW11O39Ni(ГМТА)] ∙ nH2O. В спектрах поглощения растворов вольфрамофосфатоникелата и его комплекса с ГМТА в области 400–900 нм присутствуют характерные для октаэдрических комплексов никеля полосы поглощения с максимумами 420, 708, 779 нм и 416, 704, 813 (плечо) нм соответственно (рис. 2б) [58]. При этом, как и для комплексов кобальта, наблюдается сдвиг максимумов полос поглощения в длинноволновую область спектра при переходе от аквакомплкса [Ni(H2O)6]2+ к вольфрамофосфатометаллатным комплексам [PW11O39Ni(H2O)]5– и [PW11O39Ni(ГМТА)]5– (рис. 2б). Аналогия их ИК-спектров с комплексами кобальта Cat5[PW11O39Co(ГМТА)] ∙ nH2O указывает на одинаковое их строение (рис. 1, табл. 2).
Термические превращения комплексных соединений никеля (NH4)5[PW11O39Ni(ГМТА)] ∙ ∙ 10H2O и Na5[PW11O39Ni(ГМТА)] ∙ 13H2O протекают аналогично комплексам кобальта с образованием фазы со структурой фосфорвольфрамовой бронзы состава Ni6/73P6/73W66/73O3 при термолизе аммонийной соли и ди- и тетравольфрамата натрия при термолизе натриевой соли (табл. 3, рис. S2).
Комплексы Cat5[PW11O39Zn(ГМТА)] ∙ nH2O. Комплексы ГМТА с вольфрамофосфатоцинкатом, в отличие от комплексов кобальта и никеля, не имеют полос поглощения в видимой области спектра. Катион цинка Zn2+ с электронной конфигурацией 3d10 не имеет неспаренных электронов, т.е. диамагнитный, что позволяет использовать ЯМР-спектроскопию для изучения процессов комплексообразования. Так, в спектре ЯМР 1H в D2O соединения Na5[PW11O39Zn(ГМТА)] ∙ 13H2O наблюдается сигнал с химическим сдвигом 4.67 м. д., принадлежащий CH2-группам, и интенсивный пик при 4.70 м. д., обусловленный остаточным содержанием изотопа 1H в растворителе D2O и внесенным навеской кристаллогидрата исследуемого комплекса. Его спектр ЯМР 13C имеет один синглет при 71.2 м. д. В спектре ЯМР 1H ГМТА в D2O, зарегистрированного в таких же условиях, кроме пика растворителя при 4.70 м. д. присутствует синглет при 4.56 м. д., принадлежащий CH2-группам, а в спектре ЯМР 13C наблюдается синглет при 71.1 м. д. (рис. S4). Изменение величин химических сдвигов в спектрах ЯМР синтезированного комплекса цинка в сравнении со спектрами чистого ГМТА может указывать на протекание реакции комплексообразования между вольфрамофосфатоцинкатом и ГМТА с образованием комплекса [PW11O39Zn(ГМТА)]5–. Аналогия их ИК-спектров с комплексами кобальта Na5[PW11O39Co(ГМТА)] ∙ 13H2O и никеля Na5[PW11O39Ni(ГМТА)] ∙ 13H2O свидетельствует об их одинаковом строении (рис. 1, табл. 2).
Термические превращения соединений (NH4)5[PW11O39Zn(ГМТА)] ∙ 10H2O и Na5[PW11O39Zn(ГМТА)] ∙ 13H2O протекают подобно комплексам кобальта и никеля с образованием фазы со структурой фосфорвольфрамовой бронзы состава Zn6/73P6/73W66/73O3 при термолизе аммонийной соли и ди- и тетравольфрамата натрия при термолизе натриевой соли (табл. 3, рис. S2).
Процессы, протекающие при нагревании на воздухе аммонийных и натриевых солей вольфрамофосфатометаллатов с кобальтом, никелем, цинком и ГМТА в координационной сфере, представлены на рис. 4.
Рис. 4. Схемы термолиза аммонийных и натриевых солей вольфрамофосфатометаллатов с кобальтом, никелем, цинком и ГМТА в координационной сфере.
В отличие от рубидиевых и цезиевых солей вольфрамофосфатометаллатов, при термолизе которых образуются соединения со структурой пирохлора и гексагональной вольфрамовой бронзы, натриевые соли образуют фазы со структурой поливольфраматов натрия. Установленные схемы термолиза могут быть использованы для прогноза термических превращений комплексов ГМТА и вольфрамофосфатометаллатов с другими 3d-элементами.
ЗАКЛЮЧЕНИЕ
Синтезированы соединения со структурой анионов Кеггина Cat5[PW11O39Z(ГМТА)] ∙ nH2O, где Cat = Na+, NH4+; Z = Co2+, Ni2+, Zn2+; n = 10–13. Вольфрамофосфатометаллатные комплексы с ГМТА аналогичного состава ранее не были известны. Изучены процессы, протекающие при нагревании этих соединений, идентифицированы кристаллические продукты и установлены общие схемы их термолиза. Продуктами термического разложения аммонийных солей вольфрамофосфатометаллатов с кобальтом, никелем, цинком и гексаметилентетрамином при 600°C являются фазы состава ZO ∙ 0.5P2O5 ∙ 11WO3 или Z6/73P6/73W66/73O3 (Z = Co2+, Ni2+, Zn2+) со структурой фосфорвольфрамовой бронзы, а продуктами разложения натриевых солей является смесь фаз со структурами вольфраматов натрия Na2W2O7 и Na2W4O13. Полученные результаты исследований могут быть использованы для прогнозирования процессов и фазового состава продуктов термолиза аналогичных вольфрамофосфатометаллатов 3d-элементов с ГМТА в координационной сфере комплексов.
БЛАГОДАРНОСТЬ
Авторы выражают благодарность руководству БГТУ им. В.Г. Шухова за оказанную помощь в использовании оборудования Центра высоких технологий БГТУ им. В.Г. Шухова, с применением которого выполнена эта работа.
ФИНАНСИРОВАНИЕ РАБОТЫ
Работа выполнена при поддержке Министерства науки и высшего образования Российской Федерации, бюджетная тема “Углеродные наночастицы с заданной морфологией: синтез, структура и физико-химические свойства, FRES-2023-0006”.
КОНФЛИКТ ИНТЕРЕСОВ
Авторы заявляют, что у них нет конфликта интересов.
ДОПОЛНИТЕЛЬНЫЕ МАТЕРИАЛЫ
Дополнительные материалы размещены в электронном виде по DOI статьи: https://doi.org/10.31857/S0044457X24070118.
Sobre autores
N. Lozinskii
Litvinenko Institute of Physical Organic and Coal Chemistry
Email: jaroslavchem@mail.ru
Rússia, Donetsk, 283048
A. Lopanov
Shukhov Belgorod State Technological University
Email: jaroslavchem@mail.ru
Rússia, Belgorod, 308012
Ya. Moroz
Litvinenko Institute of Physical Organic and Coal Chemistry
Autor responsável pela correspondência
Email: jaroslavchem@mail.ru
Rússia, Donetsk, 283048
T. Pekhtereva
Litvinenko Institute of Physical Organic and Coal Chemistry
Email: jaroslavchem@mail.ru
Rússia, Donetsk, 283048
Bibliografia
- Roy S., Crans D.C., Parac-Vogt T.N. et al. Polyoxometalates in Catalysis, Biology, Energy and Materials Science. Lausanne: Frontiers Media SA, 2019. 224 p. https://doi.org/10.3389/978-2-88963-233-6
- Cameron J.M., Guillemot G., Galambos Th. et al. // Chem. Soc. Rev. 2022. V. 51. P. 293. https://doi.org/10.1039/d1cs00832c
- Wang W., Chamoreau L.-M., Izzet G. et al. // J.Am. Chem. Soc. 2023. V. 145. № 22. P. 12136. https://doi.org/10.1021/jacs.3c01716
- Iijima J., Naruke H., Suzuki R.X. // ACS Omega. 2023. V. 8. P. 9673. https://doi.org/10.1021/acsomega.3c00711
- Zhao H., Zhao Ch., Liu Zh. et al. // Angew. Chem. Int. Ed. 2023. V. 62. № 32. P. e202303989. https://doi.org/10.1002/anie.202303989
- Savić N.D., Salazar Marcano D.E., Quanten T. et al. // Inorganics 2021. V. 9. P. 22. https://doi.org/10.3390/inorganics9040022
- Wang J., Wang L., Yang Y. et al. // Batteries Supercaps. 2023. V. 6. № 5. P. e202200510. https://doi.org/10.1002/batt.202200510
- Chen Y., Li F., Li Sh. et al. // Inorg. Chem. Commun. 2022. V. 135. P. 109084. https://doi.org/10.1016/j.inoche.2021.109084
- Churipard S.R., Kanakikodi K.S., Choudhuric J.R. et al. // RSC Adv. 2020. V. 10. P. 35988. https://doi.org/10.1039/d0ra07178a
- Zhang Y.M., An Ch.W., Zhang D.F. et al. // Russ. J. Inorg. Chem. 2021. V. 66. № 5. P. 679. https://doi.org/10.1134/s0036023621050223
- Lentink S., Marcano D.E.S., Moussawi M.A. et al. // Angew. Chem. Int. Ed. 2023. V. 62. № 31. P. e202303817. https://doi.org/10.1002/anie.202303817
- Kozhevnikov I.V. Catalysis by Polyoxometalates. Chichester: John Wiley, 2002. 202 p.
- Vilanculo C.B., Da Silva M.J., Teixeira M.G. et al. // RSC Adv. 2020. V. 10. P. 7691. https://doi.org/10.1039/d0ra00047g
- Nam W., Yang S., Kim H. // Bull. Korean Chem. Soc. 1997. V. 17. P. 625.
- Da Silva M.J., Da Silva Andrade P.H., Ferreira S.O. et al. // Catal. Lett. 2018. V. 148. P. 2516. https://doi.org/10.1007/s10562-018-2434-0
- Castelo B. Vilanculo, Márcio J. et al. // New J. Chem. 2020. V. 44. P. 2813. https://doi.org/10.1039/C9NJ04725E
- Muñoz M., Greber M., Tayeb K.B. et al. // Green Process. Synt. 2023. V. 12. https://doi.org/10.1515/gps-2023-0026
- Fernandes S., Mirante F., Castro B.D. et al. // Catalysts. 2022. V. 12. P. 581. https://doi.org/10.3390/catal12060581
- Есева Е.А., Акопян А.В., Анисимов А.В. и др. // Нефтехимия. 2020. Т. 60. № 5. С. 586. https://doi.org/10.31857/S0028242120050093
- [Eseva E.A., Akopyan A.V., Anisimov A.V. et al. // Pet. Chem. 2020. V. 60. № 9. P. 979. https://doi.org/10.1134/S0965544120090091]
- Li J., Triana C.A., Wan W. et al. // Chem. Soc. Rev. 2021.V. 50. P. 2444. https://doi.org/10.1039/d0cs00978d
- Allmen K., Moré R., Müller R. et al. // Chem. Plus. Chem. 2015. V. 80. P. 1389. https://doi.org/10.1002/cplu. 201500074
- Abhik Paul, Subhasis Das Adhikary, Sandhya Kapurwana et al. // J. Mater. Chem. A. 2022. V. 10. P. 13152. https://doi.org/10.1039/d2ta02243e
- Gu J., Chen W., Shan G.G. et al. // Mater. Today Energy. 2021. V. 21. P. 100760. https://doi.org/10.1016/j.mtener.2021.100760
- Zhu X.H., Liu J.H., Zhao L.L. et al. // Adv. Mater. Res. 2012. V. 476–478. P. 2005. https://doi.org/10.4028/www.scientific.net/AMR.476-478.2005
- Arens J.T., Blasco-Ahicart M., Azmani K et al. // J. Catalys. 2020. V. 389. P. 345. https://doi.org/10.1016/j.jcat.2020.06.006
- Yingjie H., Chongtai W., Duan Hui D. et al. // Electrochim. Acta. 2011. V. 58. P. 99. https://doi.org/10.1016/j.electacta.2O11.08.099
- Hamidi H., Shams E., Yadollahi B. et al. // Electrochim. Acta. 2009. V. 54. P. 3495. https://doi.org/ 10.1016/j.electacta.2008.12.063
- Cao Y., Chen Q., Shen C. et al. // Molecules. 2019. V. 24. P. 26. https://doi.org/10.3390/molecules24112069
- Zang D., Wang H. // Polyoxometalates. 2022. V. 1. P. 9140006. https://doi.org/10.26599/pom.2022.9140006
- Мороз Я.А., Лозинский Н.С., Заритовский А.Н. и др. // Журн. общ. химии. 2023. Т. 93. № 7. С. 1139. https://doi.org/10.31857/S0044460X23070193
- Veríssimo M.I.S., Evtuguin D.V., Gomes M.T.S.R. // Front. Chem. 2022. V. 10. P. 840657. https://doi.org/10.3389/fchem.2022.840657
- Pope M.T., Müller A. et al. Polyoxometalates: from Platonic Solids to Anti-retroviral Activity. Dordrecht: Kluwer Academic Publishers, 1994. 412 p.
- Prudent R., Moucadel V., Laudet B. et al. // Chem. Biol. 2008. V. 15. № 7. P. 683. https://doi.org/10.1016/j.chembiol.2008.05.018
- Ostroushko A.A., Gagarin I.D., Danilova I.G. et al. // Nanosyst.-Phys. Chem. Math. 2019. V. 10. № 3. P. 318. https://doi.org/10.17586/2220-8054-2019-10-3-318-349
- Ostroushko A.A., Grzhegorzhevskii K.V., Medvedeva S.Yu. et al. // Nanosyst.-Phys. Chem. Math. 2021. V. 12. № 1. P. 81. https://doi.org/10.17586/2220-8054-2021-12-1-81-112
- Bijelic A., Aureliano M., Rompel A. // Angew. Chem. Int. Ed. 2019. V. 58. P. 2980. https://doi.org/0.1002/anie.20180386
- Ostroushko A.A., Gagarin I.D., Grzhegorzhevskii K.V. et al. // J. Mol. Liq. 2020. V. 301. P. 110910. https://doi.org/10.1016/j.molliq.2019.110910
- Grzhegorzhevskii K.V., Shevtsev N.S., Abushaeva A.R. et al. // Russ. Chem. Bull. 2020. V. 69. № 4. P. 804. https://doi.org/10.1007/s11172-020-2836-1
- Ostroushko A.A., Gette I.F., Brilliant S.A. et al. // Nanotechnol. Russ. 2019. V. 14. № 3–4. P. 159. https://doi.org/10.1134/S1995078019020101
- Мороз Я.А., Лозинский Н.С., Лопанов А.Н. и др. // Неорган. материалы. 2021. Т. 57. № 8. С. 878. https://doi.org/ 10.31857/S0002337X21080224 [Moroz Ya.A., Lozinskii N.S., Lopanov A.N. et al. // Inorg. Mater. 2021. V. 57. № 8. P. 835. https://doi.org/ 10.1134/S0020168521080069]
- Мороз Я.А., Лозинский Н.С., Лопанов А.Н. // Журн. неорган. химии. 2022. Т. 67. № 2. С. 185. https://doi.org/ 10.31857/S0044457X22020106
- Семенов С.А., Мусатова В.Ю., Дробот Д.В. и др. // Журн. неорган. химии. 2020. Т. 65. № 1. С. 65. https://doi.org/10.31857/S0044457X20010146
- Пронин А.С., Семенов С А., Дробот Д.В. и др. // Журн. неорган. химии. 2020. Т. 65. № 8. С. 1061. https://doi.org/10.31857/S0044457X20080139
- Asif H.M., Bi R.B., Tariq M. et al. // Russ. J. Inorg. Chem. 2021. V. 66. P. 340. https://doi.org/10.1134/S0036023621030025
- Fesik E.V., Buslaeva T.M., Tarasova L.S. et al. // Russ. J. Inorg. Chem. 2020. V. 65. № 10. P. 1558. https://doi.org/10.1134/S0036023620100058
- Tan R.X., Wang Q.H., Xiao T.X. et al. // Russ. J. Inorg. Chem. 2020. V. 65. № 8. P. 1276. https://doi.org/10.1134/S0036023620080161
- Vilanculo C.B., Da Silva M.J. // New J. Chem. 2020. V. 44. P. 2813. https://doi.org/10.1039/c9nj04725e
- Wu D.-F., Takahashi K., Fujibayashi M. et al. // RSC Adv. 2022. V. 12. P. 21280. https://doi.org/10.1039/d2ra04119g
- Голубев Д.В., Савинкина Е.В., Аль-Хазраджи А.С.Х. и др. // Тонкие химические технологии. 2017. Т. 12. № 2. С. 34.
- Мороз Я.А., Лозинский Н.С., Алемасова Н.В. // Вестн. ДонНУ. Сер. А. Естественные науки. 2023. № 3. С. 54.
- Коренев В.С., Абрамов П.А., Соколов М.Н. // Журн. неорган. химии. 2022. Т. 67. № 11. С. 1575. https://doi.org/ 10.31857/S0044457X22100324
- Gholamrezaei S., Salavati-Niasari M., Hadadzadeh H. et al. // High Temp. Mater. Proc. 2016. V. 35. P. 723. https://doi.org/ 10.1515/htmp-2015-0078
- Кокунов Ю.В., Горбунова Ю.Е., Разгоняева Г.А. и др. // Коорд. химия. 2012. Т. 38. № 10. С. 683.
- Saravanakumar M., Chandrasekaran J., Krishnakumar M. et al. // J. Mol. Struct. 2022. V. 1265. P. 133406. https://doi.org/10.1016/j.molstruc.2022.133406
- Barros Á., Artetxe B. Eletxigerra U. et al. // Materials. 2023. V. 16. P. 5054. https://doi.org/10.3390/ma16145054
- Gamelas J.A., Couto F.A., Trovgo M.C. et al. // Thermochim. Acta. 1999. V. 326. P. 165. https://doi.org/10.1016/S0040-6031(98)00597-8
- Дробашева Т.И., Расторопов С.Б. // Инженерный вестник Дона. 2016. № 2. С. 13.
- ivdon.ru/ru/magazine/archive/n2y2016/3576
- Mossotti G., Catania F., Perrucci F. et al. // Chem. Eng. Trans. 2023. V. 99. P. 127. https://doi.org/10.3303/cet2399022.2
Arquivos suplementares








