Synthesis OF Bi1.5CoSb1.5O7 pyrochlore under hydrothermal conditions and its catalytic properties in the CO oxidation
- Authors: Egorysheva A.V.1, Golodukhina S.V.1, Liberman E.Y.2, Razvorotneva L.S.1,3, Kirdyankin D.I.1, Popova E.F.1
-
Affiliations:
- Kurnakov Institute of General and Inorganic Chemistry, Russian Academy of Sciences
- D.Mendeleev University of Chemical Technology of Russia
- National Research University Higher School of Economics
- Issue: Vol 69, No 7 (2024)
- Pages: 947-955
- Section: СИНТЕЗ И СВОЙСТВА НЕОРГАНИЧЕСКИХ СОЕДИНЕНИЙ
- URL: https://bakhtiniada.ru/0044-457X/article/view/274189
- DOI: https://doi.org/10.31857/S0044457X24070018
- EDN: https://elibrary.ru/XOSZQB
- ID: 274189
Cite item
Full Text
Abstract
The pyrochlore solid solution region in the Bi2O3–CoO–Sb2O5 system is determined. A previously unknown ternary oxide Bi3Co2/3Sb7/3O11 with cubic KSbO3 structure (sp. gr. Pn-3, a = 9.5801(1) Å, wR =0.0132) is found. An isothermal section of the system is constructed in the region of CoO-Bi3SbO7-CoSb2O6-BiSbO4 at 650°C. It is shown that cobalt state in pyrochlore crystal lattice is Co2+. For pyrochlore composition Bi1.5CoSb1.5O7, the synthetic methods under hydrothermal conditions of both without microwave-assisted treatment and with it have been developed. Based on the data of X-ray diffraction analysis, local energy-dispersive X-ray analysis, scanning microscopy and IR spectroscopy, a mechanism for the pyrochlore phase formation under hydrothermal condition is proposed. The dispersed Bi1.5CoSb1.5O7 samples (SCD = 30 nm) are synthesized and the prospects of their use as catalysts for CO oxidation are shown.
Full Text
ВВЕДЕНИЕ
Каталитическая очистка газовых выбросов промышленных предприятий является важнейшим условием обеспечения экологической безопасности, поэтому задача создания новых эффективных катализаторов не теряет своей актуальности. Особый интерес вызывают соединения на основе антимонатов, содержащих d-элементы [1–3], в частности соединения со структурой пирохлора [4, 5]. Их высокая каталитическая активность определяется способностью к редокс-превращениям ионов сурьмы и d-ионов, высокой вакансионной емкостью структуры пирохлора, обеспечивающей высокую подвижность кислорода, а также возможностью варьирования в широких пределах их составов. Соединения со структурой пирохлора, в том числе антимонаты (Ln1.8Fe0.2)FeSbO7 (Ln = Pr–Tb) и Bi1.8Ni0.87Sb1.33O7 [4, 5], ниобаты [6] и многие другие [7, 8], уже показали свою эффективность в качестве недорогих (не содержащих благородные металлы) катализаторов окисления СO. Каталитические свойства известного кобальтсодержащего соединения со структурой пирохлора Bi1.5CoSb1.5O7 [9] ранее не исследовались, хотя многие соединения кобальта проявляют высокую активность в реакции окисления СО [10, 11].
О свойствах Bi1.5CoSb1.5O7 известно очень мало. Им посвящена всего одна работа [9], в которой были представлены результаты исследования его магнитных и проводящих свойств. Также показано, что в кристаллической решетке Bi1.5CoSb1.5O7 ионы кобальта частично занимают позиции висмута. Вхождение иона малого радиуса в позицию Bi3+ является типичным для систем с оксидом висмута, фаза пирохлора в которых реализуется в некоторой области твердых растворов [12, 13]. В то же время фазовая диаграмма системы Bi2O3–CoO–Sb2O5 не известна и границы области существования пирохлора не установлены. В работе [9] соединение Bi1.5CoSb1.5O7 было получено твердофазным методом, причем для получения однофазного образца было предложено использовать небольшой избыток CoO. Твердофазный метод не позволяет получать высокодисперсные образцы с большой удельной поверхностью, обеспечивающей повышенную эффективность работы катализатора. Выбор низкотемпературного метода синтеза, который мог бы обеспечить большую дисперсность Bi1.5CoSb1.5O7, затруднен присутствием в его составе различных по своей химической природе элементов. Синтез в гидротермальных условиях был успешно использован для получения дисперсных порошков ряда сложных висмутсодержащих оксидов [14–18]. Однако для соединений, реализующихся в системе Bi2O3–CoO–Sb2O5, подобные исследования не проводились.
В настоящей работе мы изучили фазовые равновесия системы Bi2O3–CoO–Sb2O5 в области существования фазы пирохлора, разработали методику синтеза Bi1.5CoSb1.5O7 в гидротермальных (ГТ) условиях и провели тестовые испытания каталитической активности в реакции окисления СО в сравнении с изученным ранее и полученным в тех же условиях пирохлором Bi1.8Fe1.2SbO7.
ЭКСПЕРИМЕНТАЛЬНАЯ ЧАСТЬ
Составы для изучения фазовых равновесий системы Bi2O3–CoO–Sb2O5 выбирали методом перекрещивающихся разрезов. Синтез образцов проводили цитратным методом, что позволило снизить температуру отжига по сравнению с твердофазным методом. Были использованы следующие реактивы: Bi(NO3)3 · 5H2O (х. ч.); Co(NO3)2 · 6Н2O (х. ч.) и Sb2O3 (х. ч.). Лимонную кислоту (1-водная, х. ч.) и этиленгликоль С2H6O2 (ч.), взятые в двухкратном избытке относительно катионов металлов, смешивали с нитратами висмута и кобальта и оксидом сурьмы. Полученную смесь выдерживали при 80°С на водяной бане до загустения, высушивали при 110°С и перетирали. Для разложения нитратов и выгорания органических компонентов смесь отжигали при 350 (4 ч) и 450°С (4 ч), после чего температуру отжига поднимали до 650°С (24 ч), а затем до 900 (24 ч) и 1050°С (48 ч). Ступенчатый режим отжига способствовал образованию промежуточных нелетучих продуктов реакции и позволял предотвратить потерю оксида сурьмы. Отжиг проводили в Pt-тиглях на воздухе.
Для синтеза в ГТ-условиях предварительно 0.5243 г нитрата висмута и 0.4365 г нитрата кобальта растворяли в 10 мл концентрированной 70%-ной HNO3 (ос. ч., ГОСТ 11125-84), а 0.3279 г Sb2O3 – в 30 мл раствора NaOH (х. ч.) концентрации 6–10 М. Количество исходных компонентов [Bi : Co : Sb = 1.5 : 1 : 1.5] соответствовало стехиометрическому соотношению пирохлора Bi1.5CoSb1.5O7. Затем раствор нитратов висмута и кобальта медленно прикапывали к щелочному раствору оксида сурьмы и перемешивали на магнитной мешалке в течение 20–30 мин непосредственно в тефлоновом вкладыше автоклава 100 мл. Сначала наблюдалось появление синей окраски раствора за счет образования гидроксокобальтатов [Со(ОН)4]2– [19] в щелочной среде, затем выпадал серый осадок и окраска раствора становилась менее интенсивной. Количество реактивов выбирали из расчета 40%-ного заполнения автоклава. ГТ-обработку проводили при температуре 200°C в течение 1–24 ч. После ее завершения автоклавы охлаждали при комнатной температуре. Полученный продукт отделяли центрифугированием, многократно промывали дистиллированной водой до нейтрального рН и высушивали на воздухе при 50°С.
Синтез Bi1.5CoSb1.5O7 в гидротермальных условиях при микроволновом воздействии (ГТМВ) проводили в 100 мл тефлоновых автоклавах с использованием системы микроволнового разложения Milestone Ethos UP.
Фазовый состав образцов определяли методом РФА с помощью дифрактометра Bruker D8 Advance (CuKα-излучение, Ni-фильтр, детектор Lynxeye). Идентификацию известных фаз проводили в соответствии с базой данных (ICDD) PDF-2, профильный анализ дифрактограмм – в программе Jana2006. Морфологию и состав синтезированных образцов изучали при помощи растрового электронного микроскопа Carl Zeiss NVision40, оснащенного детектором X-Max (Oxford Instruments) для проведения локального рентгеноспектрального микроанализа. Измерения удельной поверхности проводили методом низкотемпературной адсорбции азота с использованием анализатора ATKh06 (Katakon, Россия). В качестве газа-носителя использовали гелий марки А.
Спектры диффузного отражения в видимой области регистрировали при помощи спектрометра Ocean Optics DH-2000 с использованием излучения ксеноновой лампы (HPX-2000), а также интегрирующей сферы (50 mm ISP-50-8-R-GT). ИК-спектры образцов регистрировали в режиме НПВО на спектрометре Инфралюм ФТ-08, приставкe Specac c кристаллом алмаза.
Каталитическую активность образцов оценивали по температурной зависимости конверсии СО (α, %) с помощью установки, описанной в [1]. Конверсию СО определяли по формуле:
,
где [С]0 — исходная концентрация СО в модельной смеси, об. %; [С] — текущая концентрация газа на выходе из реактора, об. %. Состав используемой в эксперименте модельной смеси соответствовал (об. %): СО — 1.5; О2 — 10; N2 – баланс.
РЕЗУЛЬТАТЫ И ОБСУЖДЕНИЕ
Использование цитратного метода для синтеза образцов необходимо для ускорения установления равновесия. Изотермическое сечение системы Bi2O3–CoO–Sb2O5 при 650°С представлено на рис. 1. В данной системе нами был обнаружен ранее неизвестный тройной оксид Bi3Co2/3Sb7/3O11. Структура этого соединения относится к типу кубического KSbO3 (пр. гр. Pn), описанного для антимонатов висмута, содержащих трехвалентные катионы [20, 21] и двухвалентный Ni2+ [22]. Параметр ячейки Bi3Co2/3Sb7/3O11 составил a = 9.5801(1) Å, (wR =0.0132).
Рис. 1. Изотермическое сечение системы Bi2O3–СоO–Sb2O5 при температуре 650°С. P-область твердого раствора со структурой пирохлора.
Установлено, что в этой системе фаза P пирохлора (пр. гр. Fdm) реализуется в виде широкой области составов вдоль сечения (Bi1.5–xCo0.5+x)Co0.5Sb1.5O7–δ, где –0.3 < x < 0.3 (рис. 2). Данная область включает ранее описанное соединение Bi1.5CoSb1.5O7 [9]. Часть позиций Bi3+ в кристаллической решетке пирохлора занята ионами кобальта. При этом фаза пирохлора для состава, соответствующего “идеальной” формуле Bi2Со2/3Sb4/3O7, не реализуется, что согласуется с данными для ранее изученной системы Bi2O3–NiO–Sb2O5 [22]. Образец с данным составом соответствовал смеси фаз P и Bi3SbO7
Рис. 2. Зависимость параметра кристаллической решетки a пирохлора (Bi1.5–хCo0.5+х)Co0.5Sb1.5O7–δ от х.
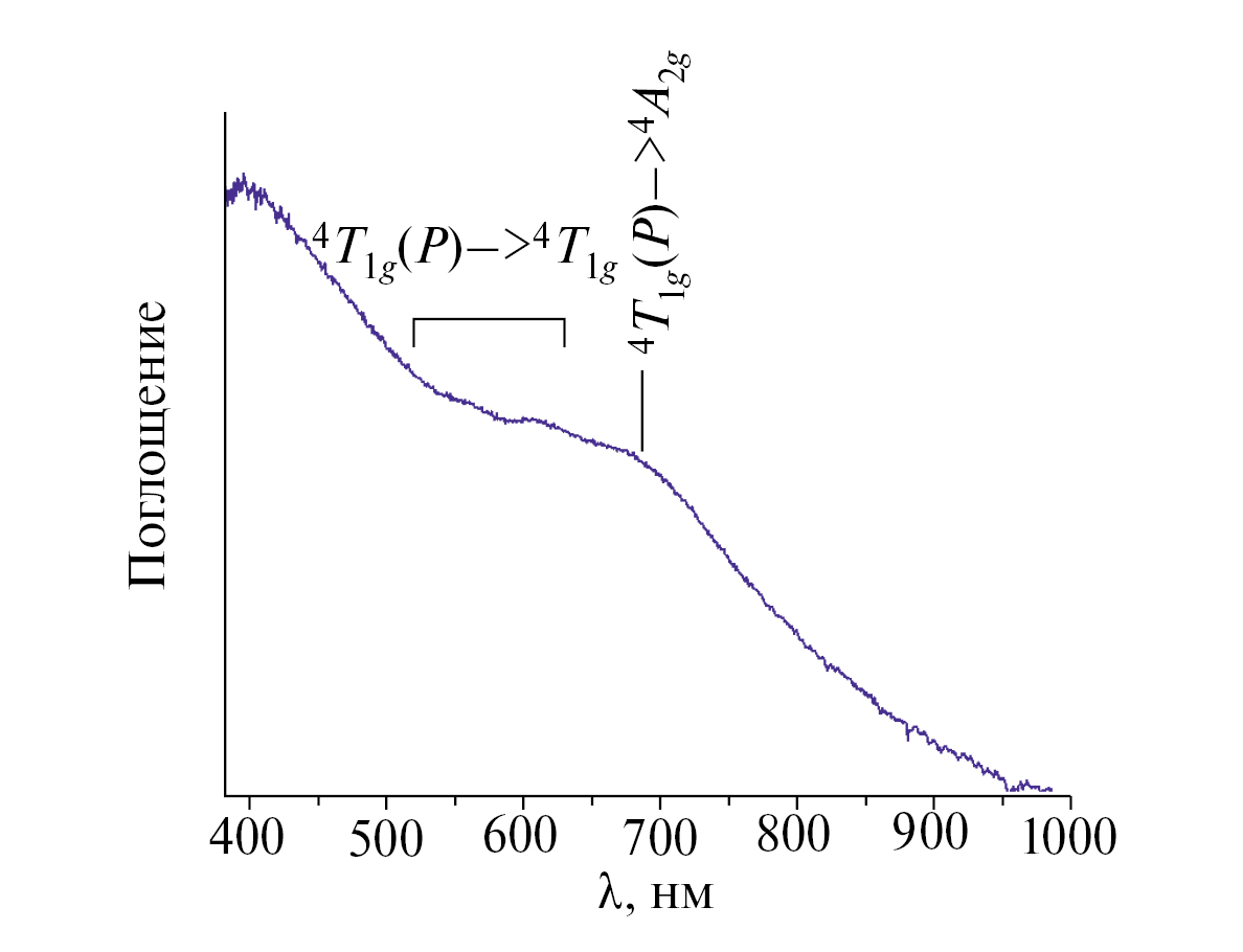
Спектр диффузного отражения в видимой области образца Bi1.5CoSb1.5O7 (рис. 3) подтвердил, что кобальт находится в степени окисления 2+. В спектре наблюдается интенсивная полоса в области 500–650 нм, связанная с разрешенным переходом 4T1g(P) → 4T1g. Мультиплетная структура этой полосы объясняется примешиванием запрещенных по спину переходов. Также в области 700 нм фиксируется полоса, соответствующая переходу 4T1g(P) → 4A2g, часто имеющему вид плеча на низкоэнергетической стороне полосы перехода 4T1g(P) → 4T1g [23].
Рис. 3. Спектр поглощения Bi1.5CoSb1.5O7.
Таким образом, область CoO–Bi3SbO7–CoSb2O6–BiSbO4 можно рассматривать как часть тройной системы Bi2O3–CoO–Sb2O5 в отличие от областей, заштрихованных на рис. 1, в которых кобальт и сурьма находятся в смешанных степенях окисления. Изотермическое сечение системы в области CoO–Bi3SbO7–BiSbO4–CoSb2O6 при 650°С может быть представлено в виде семи треугольников сосуществующих фаз: CoO–Bi3SbO7–P, Bi3SbO7–P–Bi3Co2/3Sb7/3O11, Bi3SbO7–Bi3Co2/3Sb7/3O11–BiSbO4, BiSbO4–Bi3Co2/3Sb7/3O11–P, BiSbO4–P–CoSb2O6, BiSbO4–CoSb2O6–Sb2O5, CoSb2O6–P–Co7Sb2O12, P–Co7Sb2O12–CoO.
Образцы Bi1.5CoSb1.5O7, синтезированные цитратным методом с применением высокотемпературных отжигов, состояли из частиц микронного размера. Удельная поверхность (1.4 м2/г) и каталитическая активность этих образцов оказались невысокими. Для синтеза образцов с большей дисперсностью мы разработали методику получения Bi1.5CoSb1.5O7 в ГТ-условиях. Преимуществами ГТ-метода являются низкие температуры синтеза, одностадийность, высокая степень смешения реагентов, а также возможность контроля морфологии и фазового состава.
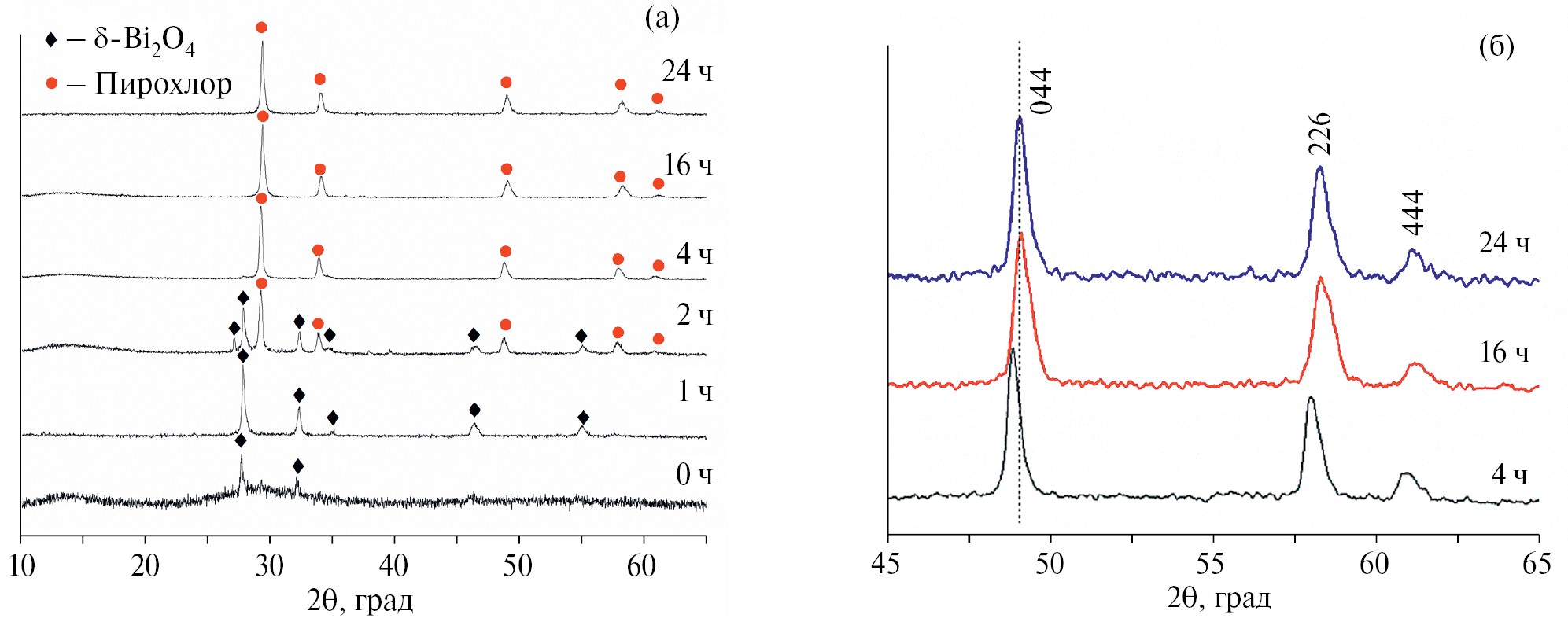
Для синтеза в ГТ-условиях раствор нитратов висмута и кобальта предварительно прикапывали к щелочному раствору оксида сурьмы, в результате чего образовывался осадок серого цвета. РФА показал (рис. 4а), что осадок до ГТ-обработки состоял из аморфной и некоторого количества кристаллической фазы со структурой флюорита (твердого раствора на основе δ-Bi2O3). Образование фазы кобальтсодержащего пирохлора в смеси с нанокристаллическим δ-Bi2O3 наблюдалось только после 2 ч ГТ-воздействия. Однофазные образцы пирохлора были получены при обработке в ГТ-условиях в течение 4 ч и более. С увеличением времени синтеза с 4 до 16 ч наблюдался сдвиг рефлексов на дифрактограмме, что соответствовало уменьшению параметров кристаллической решетки образцов (рис. 4б). Причем в случае образцов, синтезированных в течение 16 и 24 ч, различие было незначительным. После ГТ-обработки в течение 24 ч в автоклаве находился зеленовато-коричневый осадок в бесцветном прозрачном маточном растворе. Изучение влияния концентрации щелочи на фазовый состав продукта реакции показало (рис. 5), что однофазный продукт можно получить в узком диапазоне концентраций 6–7 М NaOH. В экспериментах с большим содержанием щелочи (8–10 М NaOH) в продукте реакции помимо пирохлора обнаруживалась примесь неизвестной фазы.
Рис. 4. Дифрактограммы образцов, полученных в гидротермальных условиях при разных временах синтеза (а). Фрагменты дифрактограмм на больших углах 2θ (б).
Рис. 5. Дифрактограммы образцов, полученных при различной концентрации NaOH (а). Фрагменты дифрактограмм на больших углах 2θ (б).
Анализ состава осадка, полученного в течение различного времени ГТ-обработки (табл. 1), дает возможность предположить механизм образования фазы пирохлора. На первом этапе синтеза образуются нанокристаллы твердого раствора на основе δ-Bi2O3 со структурой флюорита. С увеличением времени ГТ-обработки происходит перекристаллизация этой метастабильной фазы с образованием твердого раствора с увеличенным содержанием сурьмы и кобальта. Структура пирохлора является производной от флюорита [24], поэтому при достижении определенного соотношения крупных катионов висмута и меньших по размеру катионов сурьмы и кобальта структура пирохлора становится термодинамически более выгодной. Также известно, что для пирохлоров висмута сурьмы характерно существование широких областей твердых растворов, что объясняет изменение состава и параметров решетки синтезированного образца с увеличением времени обработки. Таким образом, показано, что для получения образцов заданного нами состава Bi1.5CoSb1.5O7 необходимо проведение ГТ-обработки в течение 24 ч.
Таблица 1. Элементный состав образцов (по данным метода РСМА), полученных в гидротермальных условиях (200°C) в течение различного времени, ат. %
Образец; время синтеза, ч | Co | Sb | Bi |
Bi1.5CoSb1.5O7 теоретический состав | 25 | 37.5 | 37.5 |
1 | 18.7 | 30.0 | 51.3 |
2 | 20.7 | 30.2 | 49.1 |
4 | 23.8 | 35.0 | 41.2 |
16 | 24.1 | 36.3 | 39.6 |
24 | 24.3 | 37.1 | 38.6 |
Изменение морфологии продуктов с увеличением времени синтеза представлено на рис. 6. Сразу же после соосаждения в щелочном растворе осадок является неоднородным и состоит из смеси крупных частиц фазы твердого раствора на основе δ-Bi2O3, а также сросшихся в пористые агрегаты наночастиц с повышенным содержанием кобальта и сурьмы. Выдержка в гидротермальных условиях приводит к уменьшению количества мелких наночастиц в составе продукта и разрастанию агломератов. Величина ОКР для образца, синтезированного в течение 24 ч, равна 30 нм, а удельная поверхность образца составляет 9.5 м2/г.
Рис. 6. Микрофотографии образцов, полученных после соосаждения (а) и гидротермальной обработки при 200С в течение 1 (б), 2 (в), 4 (г), 16 (д) и 24 ч (е).
ИК-спектры хорошо отражают изменения, происходящие в фазовом составе продукта в процессе синтеза. Как видно на рис. 7, после осаждения и до гидротермальной обработки осадка его спектр представлен полосами, которые с большой степенью вероятности можно отнести к нитрокомплексам (полосы при 1440, 1335, 830 и 570 см–1) и к нитратокомплексам кобальта (полосы при 1550, 1130 и 1037 см–1) [25]. Эти же полосы присутствуют в спектре продукта после 1 ч ГТ-обработки. Интенсивные полосы при 3600–3400 и 1630 см–1, соответствующие валентным O–H и деформационным колебаниям H–O–H, указывают на присутствие в образцах воды в значительных концентрациях. Спектры образцов, в которых фаза пирохлора является основной, со временем ГТ-обработки 4 ч и более существенно различаются. В них отчетливо проявляется полоса при 635 см–1, связанная с симметричными колебаниями CoO6-октаэдра [26], происходит снижение интенсивности ранее наблюдаемых полос для образцов с 24 ч ГТ-обработкой вплоть до их исчезновения. Данный результат подтверждает сделанный ранее вывод о достаточности 24 ч для завершения синтеза Bi1.5CoSb1.5O7 пирохлора в гидротермальных условиях.
Рис. 7. ИК-спектры образцов, полученных при разных временах синтеза в гидротермальных условиях.
Одной из разновидностей гидротермального метода является синтез в гидротермальных условиях при микроволновом воздействии. Преимущество этого метода состоит в существенном сокращении времени синтеза. Используя разработанную нами методику для ГТ-синтеза, мы получили образцы Bi1.5CoSb1.5O7 пирохлора методом ГТМВ (рис. 8). Время синтеза составило 3 ч. По своим текстурным характеристикам полученный образец не уступал синтезированному в ГТ-условиях в течение 24 ч. Удельная поверхность образца составляла 9.0 см2/г. В образцах, полученных в ГТМВ-условиях, как и в образцах, синтезированных в ГТ-условиях, наблюдалось образование крупных агрегатов наночастиц (ОКР = 30 нм).
Рис. 8. Дифрактограммы образцов Bi1.5CoSb1.5O7, синтезированных в гидротермальных условиях при микроволновом воздействии в течение различного времени (а). Микрофотография образца, синтезированного в гидротермально-микроволновых условиях при 220°С в течение 3 ч (б).
Каталитические тесты в реакции окисления СО проводили на образцах Bi1.5CoSb1.5O7, прошедших 24 ч обработку в ГТ-условиях. Образцы показали высокую каталитическую активность (табл. 2), превосходящую активность образцов, полученных цитратным методом. Температуры 50%- и 90%-ной конверсии СО для последовательно проведенных циклов практически не изменялись (рис. 9), что указывает на устойчивость данного катализатора. Неизменившаяся величина ОКР образцов до и после проведения катализа (30 нм) свидетельствует об отсутствии спекания частиц. Сравнение температур 50%- и 90%-ной конверсии СО на образцах пирохлора кобальта и железа, полученных в одинаковых условиях методом ГТ-синтеза, показало преимущество кобальтсодержащих образцов.
Таблица 2. Температуры 50%- и 90%-ной конверсии СО в присутствии антимонатов висмута и кобальта/железа со структурой пирохлора
Соединение | Метод синтеза | SБЭТ, м2/г | t50, °С | t90, °С |
Bi1.5CoSb1.5O7 | Цитратный | 1.4 | 460 | – |
Bi1.5CoSb1.5O7 | Гидротермальный | 9.5 | 266 | 303 |
Bi1.8Fe1.2SbO7 | Гидротермальный | 29 | 333 | 444 |
Рис. 9. Температурная зависимость конверсии СО (α, %) в присутствии Bi1.5CoSb1.5O7, полученного гидротермальным методом. Римскими цифрами указан номер цикла.
Таким образом, нами были изучены фазовые равновесия в субсолидусной области системы Bi2O3–CoO–Sb2O5, определены границы существования твердого раствора со структурой пирохлора и обнаружен новый тройной оксид Bi3Co2/3Sb7/3O11. Разработана методика синтеза дисперсных образцов Bi1.5CoSb1.5O7 в гидротермальных условиях и показана перспективность их использования в качестве катализаторов окисления СО.
ФИНАНСИРОВАНИЕ РАБОТЫ
Работа выполнена при финансовой поддержке РНФ 23-23-00113. Исследования проводили с использованием оборудования ЦКП ФМИ ИОНХ РАН.
КОНФЛИКТ ИНТЕРЕСОВ
Авторы заявляют, что у них нет известных конкурирующих финансовых интересов или личных отношений, которые могли бы повлиять на работу, описанную в этой статье.
About the authors
A. V. Egorysheva
Kurnakov Institute of General and Inorganic Chemistry, Russian Academy of Sciences
Author for correspondence.
Email: anna_egorysheva@rambler.ru
Russian Federation, Moscow, 119991
S. V. Golodukhina
Kurnakov Institute of General and Inorganic Chemistry, Russian Academy of Sciences
Email: anna_egorysheva@rambler.ru
Russian Federation, Moscow, 119991
E. Yu. Liberman
D.Mendeleev University of Chemical Technology of Russia
Email: anna_egorysheva@rambler.ru
Russian Federation, Moscow, 125047
L. S. Razvorotneva
Kurnakov Institute of General and Inorganic Chemistry, Russian Academy of Sciences; National Research University Higher School of Economics
Email: anna_egorysheva@rambler.ru
Russian Federation, Moscow, 119991; Moscow, 101000
D. I. Kirdyankin
Kurnakov Institute of General and Inorganic Chemistry, Russian Academy of Sciences
Email: anna_egorysheva@rambler.ru
Russian Federation, Moscow, 119991
E. F. Popova
Kurnakov Institute of General and Inorganic Chemistry, Russian Academy of Sciences
Email: anna_egorysheva@rambler.ru
Russian Federation, Moscow, 119991
References
- Егорышева А.В., Голодухина С.В., Плукчи К.Р. и др. // Журн. неорган. химии. 2023. Т. 68. № 12. С. 1702. https://doi.org/10.31857/S0044457X23601220
- Gadgil M.M., Kulshreshtha S.K. // J. Mol. Catal. A: Chem. 1995. V. 95. P. 211. https://doi.org/10.1016/1381-1169(94)00027-1
- Carrazán S.R.G., Cadus L., Dieu P. et al. // Catal. Today. 1996. V. 32. P. 311. https://doi.org/10.1016/S0920-5861(96)00184-8
- Egorysheva A.V., Plukchi K.R., Golodukhina S.V. et al. // Mend. Comm. 2023. V. 33. P. 608. https://doi.org/10.1016/j.mencom.2023.09.005
- Эллерт О.Г., Егорышева А.В., Либерман Е.Ю. и др. // Неорган. материалы. 2019. Т. 55. № 12. С. 1335. https://doi.org/10.1134/S0002337X19120030
- Zhang Y.Q., Xuan Y., Qian S.S. et al. // J. Mater. Sci. 1999. V. 34. P. 4475. https://doi.org/10.1023/A:1004685104797
- Korf S.J., Koopmans H.J.A., Lippens B.C. et al. // J. Chem. Soc., Faraday Trans. 1. 1987. V. 83. P. 1485. https://doi.org/10.1039/F19878301485
- Xu J., Xi R., Xu X. et al. // J. Rare Earths. 2020. V. 38. P. 840. https://doi.org/10.1016/j.jre.2020.01.002
- Sellami M., Bekka A., Bettahar N. et al. // Comptes Rendus Chimie. 2009. V. 12. P. 276. https://doi.org/10.1016/j.crci.2008.01.002
- Simonot L., Garin F., Maire G. // Appl. Catal. B. 1997. V. 11. P. 167. https://doi.org/10.1016/S0926-3373(96)00046-X
- Royer S., Duprez D., Kaliaguine S. // Catal. Today. 2006. V. 112. P. 99. https://doi.org/10.1016/j.cattod.2005.11.020
- Miles G.C., West A.R. // J. Am. Ceram. Soc. 2006. V. 89. P. 1042. https://doi.org/10.1111/j.1551-2916.2005.00799.x
- Khaw C.C., Tan K.B., Lee C.K. et al. // J. Eur. Ceram. Soc. 2012. V. 32. P. 671. https://doi.org/10.1016/j.jeurceramsoc.2011.10.012
- Daniels L.M., Playford H.Y., Grenèche J.-M. et al. // Inorg. Chem. 2014. V. 53. P. 13197. https://doi.org/10.1021/ic502411z
- Egorysheva A.V., Gajtko O.M., Rudnev P.O. et al. // Eur. J. Inorg. Chem. 2016. V. 13–14. P. 2193. https://doi.org/10.1002/ejic.201501159
- Lomakin M.S., Proskurina O.V., Levin A.A. et al. // Russ. J. Inorg. Chem. 2022. V. 67. P. 820. https://doi.org/10.1134/S0036023622060134
- Saiduzzaman M., Takei T., Kumada N. // Inorg. Chem. Frontiers. 2021. V. 8. P. 2918. https://doi.org/10.1039/d1qi00337b
- Elovikov D.P., Tomkovich M.V., Levin A.A. et al. // Russ. J. Inorg. Chem. 2022. V. 67. P. 850. https://doi.org/10.1134/S0036023622060067
- Дроздов А.А., Зломанов В.П., Мазо Г.Н., Спиридонов Ф.М. Неорганическая химия. М.: Академия, 2007. Т. 3.
- Ismunandar, Kennedy B.J., Hunter B.A. // J. Solid State Chem. 1996 V. 127. P. 178. https://doi.org/10.1006/jssc.1996.0374
- Ramesha K., Prakash A.S., Sathiya M. et al. // Bull. Mater. Sci. 2011. V. 34. P. 271. https://doi.org/10.1007/s12034-011-0090-8
- Egorysheva A.V., Ellert O.G., Zubavichus Y.V. et al. // J. Solid State Chem. 2015. V. 225. P. 97. https://doi.org/10.1016/j.jssc.2014.12.001
- Ливер Э. Электронная спектроскопия неорганических соединений. М.: Мир, 1987. 445 с.
- Minervini L., Grimes R.W., Sickafus K.E. // J.Am. Ceram. Soc. 2000. V. 83. P. 1873. https://doi.org/10.1111/j.1151-2916.2000.tb01484.x
- Накамото К. ИК-спектры и спектры КР неорганических и координационных соединений / Пер с англ. Христенко Л.В. под ред. Пентина Ю.А. М.: Мир, 1991. 536 с.
- Jana Y.M., Halder P., Ali Biswas A. et al. // Vib. Spectrosc. 2016. V. 84. P. 74. https://doi.org/10.1016/j.vibspec.2016.03.004
Supplementary files











