Диаграмма состояния и метастабильные фазы в системе LaPO4–YPO4–(H2O)
- Авторы: Еникеева М.О.1,2, Проскурина О.В.1,2, Гусаров В.В.1
-
Учреждения:
- Физико-технический институт им. А.Ф. Иоффе
- Санкт-Петербургский государственный технологический институт (технический университет)
- Выпуск: Том 69, № 3 (2024)
- Страницы: 422-432
- Раздел: ФАЗОВЫЕ РАВНОВЕСИЯ В НЕОРГАНИЧЕСКИХ СИСТЕМАХ: ТЕРМОДИНАМИКА И МОДЕЛИРОВАНИЕ
- URL: https://bakhtiniada.ru/0044-457X/article/view/262896
- DOI: https://doi.org/10.31857/S0044457X24030161
- EDN: https://elibrary.ru/YDKJVI
- ID: 262896
Цитировать
Полный текст
Аннотация
Исследовано фазообразование в системе LaPO4–YPO4–(H2O) в гидротермальных условиях при T ~ 230°C и после термообработки на воздухе в интервале температур 1000–1400°C. Построена диаграмма фазовых равновесий в системе LaPO4–YPO4. Рассчитаны области метастабильного би- и спинодального распада фазы со структурой монацита с критической точкой Tкр = 931°C. Экспериментально определенная температура эвтектики 1850 ± 35°C хорошо согласуется с расчетным значением Tэвт = 1820°C. Максимальная растворимость YPO4 в LaPO4 при эвтектической температуре, полученная по результатам термодинамической оптимизации фазовой диаграммы, составляет 50.5 мол. %.
Ключевые слова
Полный текст
ВВЕДЕНИЕ
Среди многочисленных фосфатов редкоземельных элементов (РЗЭ, RE) ортофосфаты REPO4 представляют значительный интерес в связи с их уникальными физико-химическими свойствами: высокой температурой плавления по сравнению с другими оксидными соединениями (Tm ~ 1900–2300°C) [1–4], низкой теплопроводностью [5–7], способностью к изоморфному замещению актиноидов [8, 9], устойчивостью к радиационным повреждениям [10–14], небольшой растворимостью в водных и агрессивных средах [15–18].
В работах [10, 11, 13, 19–21] керамика на основе REPO4 рассматривается в качестве перспективного материала для иммобилизации радиоактивных отходов. Установлено, что для ортофосфатов “легкой” (L) подгруппы РЗЭ (LREPO4, LRE = La → Gd) характерна кристаллизация в структуре монацита с КЧ = 9 [22–25]. Для ортофосфатов РЗЭ, содержащих “тяжелые” (Н) катионы (HREPO4, HRE = Tb → Lu, Y, Sc), свойственно образование структуры ксенотима (изоструктурна циркону) с КЧ = 8 [23, 26, 27]. В структуре ксенотима способны кристаллизоваться ионы RE3+ относительно небольшого размера, что ограничивает образование твердых растворов с более крупными ионами LRE3+ [23, 28]. Вместе с тем существует ряд ортофосфатов РЗЭ (GdPO4, TbPO4, DyPO4), кристаллизующихся в зависимости от условий синтеза в различных кристаллических структурах: монацита, ксенотима, рабдофана или черчита [24, 29, 30].
Исследования фазовых отношений в системе LaPO4–YPO4–H2O проводили как в низкотемпературной области, так и с использованием высокотемпературных методов [21, 31–33]. Низкотемпературный синтез ортофосфатов РЗЭ осуществляли с помощью различных методов “мягкой” химии (осаждение, золь-гель, гидротермальный синтез), в результате которых образуются гидратированные фазы рабдофана (REPO4 · nH2O, 0.5 ≤ n ≤ 0.8) или черчита (REPO4 · 2H2O) [30, 31, 34–40], но возможна кристаллизация и безводных структур монацита или ксенотима [6, 16, 41–43]. Сложности изучения низкотемпературной области существования фаз на основе REPO4 · nH2O определяются зависимостью формирования тех или иных фаз в системе от условий синтеза, а также неопределенностью в содержании структурно связанной воды в элементарной ячейке гидратированных соединений, которая может приводить к их стабилизации [44].
В работах [21, 45] исследовали процессы фазообразования в системе LaPO4–YPO4–(H2O) при температурах ~1000°C. В работе [45] экспериментально установлено наличие твердого раствора на основе фазы со структурой монацита и крайне малая растворимость La3+ в структуре ксенотима на основе YPO4. Позднее в работе [46] были дополнены экспериментальные данные о пределах смесимости компонентов в твердой фазе в области температур 1000–1600°C и рассчитаны термодинамические параметры фаз с использованием регулярной модели твердых растворов. Несмотря на наличие перечисленных выше работ по анализу фазовых состояний в системе LaPO4–YPO4, к настоящему времени отсутствует термодинамически согласованная информация о фазовых равновесиях в данной системе в широком диапазоне температур. Вместе с тем такая информация представляет значительный прикладной интерес, так как позволяет предсказывать поведение материалов, в которых температурные условия синтеза могут существенно отличаться от температурного диапазона их применения.
В связи с этим цель настоящей работы заключается в определении влияния условий низкотемпературного синтеза и высокотемпературной обработки на фазовые превращения в системе LaPO4–YPO4–(H2O), построении термодинамически оптимизированной фазовой диаграммы системы LaPO4–YPO4, описывающей ее состояние в широком диапазоне температур, а также в прогнозировании возможных метастабильных состояний в данной системе.
ЭКСПЕРИМЕНТАЛЬНАЯ ЧАСТЬ
В качестве исходных веществ для синтеза нанопорошков состава La1–xYxPO4 · nH2O использовали растворы солей шестиводного нитрата лантана La(NO3)3 · 6H2O (х. ч.), шестиводного нитрата иттрия Y(NO3)3 · 6H2O (х. ч.) и монозамещенного фосфата аммония NH4H2PO4 (х. ч.).
На первом этапе проводили осаждение, добавляя к раствору нитратов РЗЭ раствор NH4H2PO4 при постоянном перемешивании при 25 ± 5°C. Полученную суспензию белого цвета с pH 1 перемешивали в течение 15 мин. Далее образцы промывали дистиллированной водой до pH 7, осаждали центрифугированием (10 000 об/мин), сушили при T = 75°C в течение 24 ч и измельчали в агатовой ступке.
Полученные порошки прессовали под давлением ~0.1 МПа. Термическую обработку образцов проводили в следующем режиме: нагрев со скоростью 3.5 град/мин в атмосфере воздуха до температуры отжига (при T = 1000°C в течение 7 сут, при T = 1200°C в течение 5 сут или при T = 1400°C в течение 2 сут), после чего образцы охлаждали в печи до комнатной температуры.
Для синтеза в низкотемпературной области полученную методом осаждения суспензию помещали в тефлоновый реактор лабораторного автоклава (коэффициент заполнения 0.7) и гидротермально обрабатывали при T = 230°С с продолжительностью изотермической выдержки 28 сут. Образцы промывали дистиллированной водой до pH 7, осаждали центрифугированием (10 000 об/мин), сушили при T = 75°С в течение 24 ч и измельчали в агатовой ступке.
Микрофотографии образцов получали в режиме фазового контраста при помощи растрового электронного микроскопа Tescan Vega 3 SBH (Tescan, Чехия). Элементный состав образцов определяли методом рентгеноспектрального микроанализа с использованием приставки к растровому электронному микроскопу Oxford Instruments INCA x-act (Великобритания). Из-за перекрывания профилей пиков энергетических линий Lα-серии иттрия (1.922 кэВ) и Kα-серии фосфора (2.013 кэВ) анализ состава проводили в диапазоне до 20 кэВ по пяти разным областям, усредняя полученные значения.
Рентгенодифракционное исследование образцов осуществляли по порошковым дифрактограммам, полученным на рентгеновском дифрактометре Rigaku SmartLab 3 (CuKα-излучение) в диапазоне углов 2è = 10°–90° с шагом 0.01° и скоростью сканирования 0.2 и 0.8 град/мин. Фазовый анализ образцов проводили с использованием базы данных ICSD PDF-2 и открытой базы данных CSD. Полнопрофильный фазовый анализ выполняли с помощью программы SmartLab Studio IV (Rigaku Corporation, Япония).
Для определения температуры солидуса (Tsolid) применяли визуально-политермический анализ (ВПА) с использованием высокотемпературного микроскопа конструкции Н.А. Торопова [47]. Появление первых капель расплава фиксировали высокоскоростной видеокамерой. Максимальная погрешность измерения данным методом не превышает 30°С [48, 49]. Применение ВПА с держателем образца из иридия обеспечивает практически полное отсутствие его взаимодействия с исследуемыми образцами. Измерения проводили в атмосфере воздуха в диапазоне температур 1000–2000°С для образцов после их термической обработки при 1400°С.
Параметры термодинамической модели твердой фазы переменного состава определяли на основе комплекса экспериментальных данных, полученных в настоящей работе и взятых из литературных источников [21, 45, 46] (табл. 1). Поскольку растворимость LaPO4 в фазе на основе YPO4 крайне мала, при расчетах ее значением (1 – xjXen) пренебрегали.
Решение обратной задачи термодинамики фазовых равновесий проверяли на устойчивость параметров термодинамической модели к ошибкам в определении экспериментальных данных о пределах взаимной растворимости компонентов методом, описанным в работах [50, 51]. Для более устойчивого решения обратной задачи термодинамики фазовых равновесий первоначально была выбрана модель регулярного раствора на основе фазы состава La1–xYxPO4 со структурой монацита, содержащая минимально возможное число неизвестных параметров:
(1)
где – мольная энергия Гиббса фазы переменного состава на основе La1–xYxPO4 со структурой монацита, – мольная энергия Гиббса чистого компонента LaPO4 в фазе со структурой монацита, – мольная энергия Гиббса чистого компонента YPO4, гипотетически имеющего структуру монацита, QMon – параметр регулярной модели фазы со структурой монацита, S id – мольная энтропия идеального раствора, x – мольная доля компонента YPO4, T – температура, K.
В связи с пренебрежимо малой растворимостью LaPO4 в фазе на основе YPO4 со структурой ксенотима уравнение химического равновесия между твердыми фазами будет иметь вид:
(2)
где и – парциальные мольные энергии Гиббса YPO4 в фазе на основе монацита и ксенотима соответственно.
Сопоставляя соотношения (1) и (2), по экспериментальным данным о значениях T, xMon (табл. 1) определяли параметры термодинамической модели QMon, . После нахождения этих параметров регулярная модель твердых растворов в фазе монацита трансформировалась в субрегулярную с учетом выводов теории изоморфной смесимости [52] и в приближении параболической зависимости энтальпии смешения от концентрации компонентов [53, 54]. Значения ионных радиусов La3+, Y3+, O2– в соответствующем координационном окружении были взяты из [55].
Таблица 1. Экспериментальные данные по пределам растворимости YPO4 в фазе со структурой монацита и LaPO4 в фазе со структурой ксенотима
№ образца | T, °С | τ, ч | Содержание YPO4 в фазе со структурой монацита, мол. д. | Содержание LaPO4 в фазе со структурой ксенотима, мол. д. | Источник |
1 | 230 | 672 | 0.03 | Отсутствует | Наст. работа |
2 | 1000 | 100 | 0.12 | <0.01 | [21] |
3 | 1000 | 168 | 0.13 | Отсутствует | Наст. работа |
4 | 1200 | 40 | ~0.23 / 0.23 | <0.01 / ~0.006 | |
5 | 1200 | 120 | 0.16 | Отсутствует | Наст. работа |
6 | 1400 | 1 | 0.29 | ~0.02 | [21] |
7 | 1400 | 48 | 0.31 | Отсутствует | Наст. работа |
8 | 1500 | 40, 275 | ~0.38 / 0.37 | <0.01 / ~0.012 | |
9 | 1590 | 330 | >40 / 0.41 | <0.01 / ~0.014 | |
10 | 1600 | 8 | 0.42 | Данных нет | [21] |
Примечание. T – температура изотермической выдержки, ô – продолжительность изотермической выдержки.
Определенные таким образом термодинамические модели твердых фаз использовали для построения термодинамически оптимизированной [56] диаграммы фазовых равновесий в твердофазной области.
Следует отметить, что предложенный подход к решению обратной задачи термодинамики фазовых равновесий позволил получить физически более обоснованную термодинамическую модель твердого раствора La1–xYxPO4 со структурой монацита по сравнению с чисто эмпирической моделью регулярных растворов без увеличения числа определяемых параметров.
Кроме построения термодинамически оптимизированной равновесной кривой распада твердого раствора в системе LaPO4–YPO4, на основании термодинамической модели фазы переменного состава La1–xYxPO4 со структурой монацита рассчитаны кривые метастабильного би- и спинодального расслаивания этой фазы, т.е. в предположении, что фаза со структурой ксенотима не успевает сформироваться в данной системе. Такой расчет может представлять интерес для анализа фазообразования в низкотемпературной области, в которой твердофазные процессы заторможены по кинетическим причинам.
Расчетные значения энтальпии и энтропии плавления индивидуальных компонентов LaPO4 и YPO4 определены по выражению, приведенному в [57], с использованием данных о значениях температуры плавления индивидуальных фаз: Tm = 2050°C для LaPO4 и Tm = 1950°C для YPO4 [1]. Линии равновесия между жидкой и твердой фазами рассчитаны с применением для жидкой фазы модели идеального раствора и термодинамической модели твердого раствора La1–xYxPO4 со структурой монацита, построенной по описанной выше процедуре.
РЕЗУЛЬТАТЫ И ОБСУЖДЕНИЕ
По данным элементного анализа, мольное соотношение RE : P близко к 1 : 1 во всех образцах, что отвечает стехиометрии ортофосфата РЗЭ. Экспериментально определенное мольное соотношение иттрия и лантана в образцах для удобства анализа результатов используется в дальнейшем при обозначении образцов в виде Yn% = n(Y)/(n(Y) + n(La)) × × 100%, где n(Y) и n(La) – мольные доли иттрия и лантана в образце, n% – выраженная в процентах мольная доля иттрия по отношению к сумме РЗЭ.
Рентгеновские дифрактограммы образцов, полученных методом осаждения, представлены на рис. 1. Образцы в диапазоне составов Y0%–Y73% кристаллизуются в структуре рабдофана с пр. гр. C2 [35, 38]. Дальнейшее увеличение доли иттрия в системе приводит к уменьшению доли кристаллической фазы со структурой рабдофана и увеличению содержания в ней рентгеноаморфной фазы (образец Y81%). На дифрактограммах образцов Y90%–Y100% появляется рентгеноаморфное гало в области сильно уширенных рефлексов структуры ксенотима. Отметим, что в образце Y90% обнаруживаются также слабые рефлексы фазы со структурой черчита, появление которой, по-видимому, связано с небольшим повышением температуры во время синтеза. Повторный синтез образцов в области составов Y85%–Y90% показал формирование в них кристаллических фаз со структурой черчита и рабдофана.
Рис. 1. Дифрактограммы образцов, полученных методом осаждения: 1, 2 и 3 – обозначения рефлексов со структурой рабдофана, черчита и ксенотима соответственно.
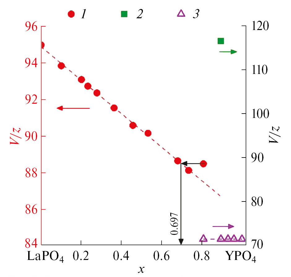
На рис. 2 приведены зависимости объема элементарной ячейки твердых растворов со структурой рабдофана и ксенотима, отнесенного к числу формульных единиц V/z, в зависимости от содержания иттрия в системе LaPO4–YPO4–(H2O). Полученные данные об уменьшении параметров элементарной ячейки рабдофана при увеличении доли иттрия согласуются с правилом Ретгерса [58]. Для образца Y81% полученные значения объема элементарной ячейки рабдофана выпадают из общей зависимости V/z от x. Заметно большие, чем можно было ожидать в соответствии с правилом Ретгерса, значения V/z для данного образца связаны, по-видимому, с появлением в нем фазы со структурой ксенотима, обогащенной YPO4, что приводит к уменьшению доли YPO4 в фазе со структурой рабдофана. Значения параметра V/z фазы со структурой черчита в образце Y90% близки к значениям, характерным для индивидуального соединения YPO4 · 2H2O [37]. По-видимому, фосфат лантана не растворяется в фазе со структурой черчита (YPO4 · 2H2O) и существует в виде аморфной фазы.
Рис. 2. Зависимость изменения объема элементарной ячейки, отнесенного к одной формульной единице (V/z), в структурах рабдофана (1), черчита (2) и ксенотима (3) от содержания YPO4 в системе.
После отжига образцов, полученных методом осаждения, при температурах 1000, 1200 и 1400°С, как можно заключить на основе данных рентгенофазового анализа, формируются фазы монацита и ксенотима (дифрактограммы показаны в приложении, рис. S1–S3). Данные о пределах растворимости YPO4 в фазе монацита и LaPO4 в фазе ксенотима приведены в табл. 1.
На рис. 3 приведены данные о соотношении фаз и изменении объема элементарной ячейки, отнесенного к одной формульной единице (V/z), для фаз со структурой монацита и ксенотима после отжига при 1000°С в течение 7 сут. Термообработка образцов приводит к образованию твердого раствора на основе фазы монацита с долей YPO4 до 25 мол. %. Для образцов Y50% и Y71%, содержащих после осаждения фазу со структурой рабдофана, наблюдается образование двух фаз со структурой монацита различного состава и фазы со структурой ксенотима на основе YPO4. Полученные данные отличаются от результатов работы [21], в которой наблюдалось формирование фазы со структурой монацита только одного состава и фазы со структурой ксенотима. Содержание YPO4 в фазе со структурой монацита, определенное по линейной зависимости V/z от x, согласующейся с правилом Ретгерса, составило ~15 и 40 мол. %. Для образца Y90% фиксируется фаза со структурой монацита только одного состава, что указывает на более близкое к равновесию состояние.
Рис. 3. Соотношение количества фаз в системе LaPO4–YPO4 после отжига при 1000°C в течение 7 сут в зависимости от содержания YPO4 (x, мол. д.) в системе (а) и зависимость объема элементарной ячейки, отнесенного к одной формульной единице структуры (V/z), от содержания YPO4 (x, мол. д.) в системе для структур: 1, 1′ – монацита, 2 – ксенотима (б).
Соотношение фаз и изменение объема элементарной ячейки, отнесенного к одной формульной единице, фаз со структурой монацита и ксенотима после отжига при 1200°C в течение 5 сут приведены на рис. 4. В результате термообработки образцов Y78% и Y85% доля YPO4 в твердом растворе со структурой монацита близка к 16 мол. %, а растворимость LaPO4 в фазе со структурой ксенотима не наблюдается. Для образца с валовым составом Y50% доля фазы со структурой монацита уменьшается с 90 до 50% по сравнению с образцом того же состава, отожженным при 1000°C, вследствие перекристаллизации в фазы со структурами ксенотима и монацита, имеющего состав, более близкий к равновесному.
Рис. 4. Соотношение количества фаз в системе LaPO4–YPO4 после отжига при 1200°С в течение 5 сут в зависимости от содержания YPO4 (x, мол. д.) в системе (а) и зависимость объема элементарной ячейки, отнесенного к одной формульной единице структуры (V/z), от содержания YPO4 (x, мол. д.) в системе для структур: 1, 1′ – монацита, 2 – ксенотима (б).
Анализ микроструктуры образцов Y50% и Y85% после отжига при 1200°C показал их расслаивание на фазы (микрофотографии в режиме фазового контраста представлены на рис. S4а, S4б), соответствующие структурам монацита состава La1–xYxPO4 (x < 0.4 м.д.) и ксенотима YPO4.
На рис. 5 показано соотношение фаз в образцах после отжига при 1400°C в течение 2 сут и изменение объема элементарной ячейки фаз со структурами монацита и ксенотима в зависимости от состава. Для образцов Y32%–Y90% получена двухфазная область с фазами со структурами монацита и ксенотима. Растворимость LaPO4 в фазе со структурой ксенотима в пределах погрешности близка к нулю. Соотношение фаз во всей двухфазной области имеет линейный характер, что отвечает характеру равновесного соотношения фаз в системе.
Рис. 5. Соотношение количества фаз в системе LaPO4–YPO4 после отжига при 1400°С в течение 2 сут в зависимости от содержания YPO4 (x, мол. д.) в системе (а) и зависимость объема элементарной ячейки, отнесенного к одной формульной единице структуры (V/z), от содержания YPO4 (x, мол. д.) в системе для структур: 1 – монацита, 2 – ксенотима (б).
Синтез в гидротермальных условиях в системе LaPO4–YPO4–H2O подробно исследован в работе [59]. Соотношение количества фаз и объемы элементарных ячеек фаз со структурами монацита и ксенотима для образцов, полученных в гидротермальных условиях при 230°С в течение 28 сут, приведены на рис. 6. В области невысоких температур формируется фаза со структурой ксенотима, близкая по составу к чистому YPO4, и фаза со структурой монацита с содержанием YPO4 ~ 3 мол. %.
Рис. 6. Соотношение количества фаз в системе LaPO4–YPO4 после отжига при 230°С в течение 28 сут в зависимости от содержания YPO4 (x, мол. д.) в системе (а) и зависимость объема элементарной ячейки, отнесенного к одной формульной единице структуры (V/z), от содержания YPO4 (x, мол. д.) в системе для структур: 1 – монацита, 2 – ксенотима (б).
На основании данных об изотермических разрезах и соответствующих им равновесных составах (табл. 1) определены параметры термодинамической модели в приближении модели регулярных растворов для фазы переменного состава La1–xYxPO4 со структурой монацита. Параметры субрегулярной модели для этой фазы, определенные с учетом соотношений энергетической модели В.С. Урусова для энтальпии смешения [52] в варианте их полиномиального представления [53, 54], составляют = 20.75 ± 2.90 кДж/моль и = 18.55 ± ± 1.78 кДж/моль. Для мольной энергии Гиббса гипотетического превращения получено значение 6.84 ± 0.64 кДж/моль.
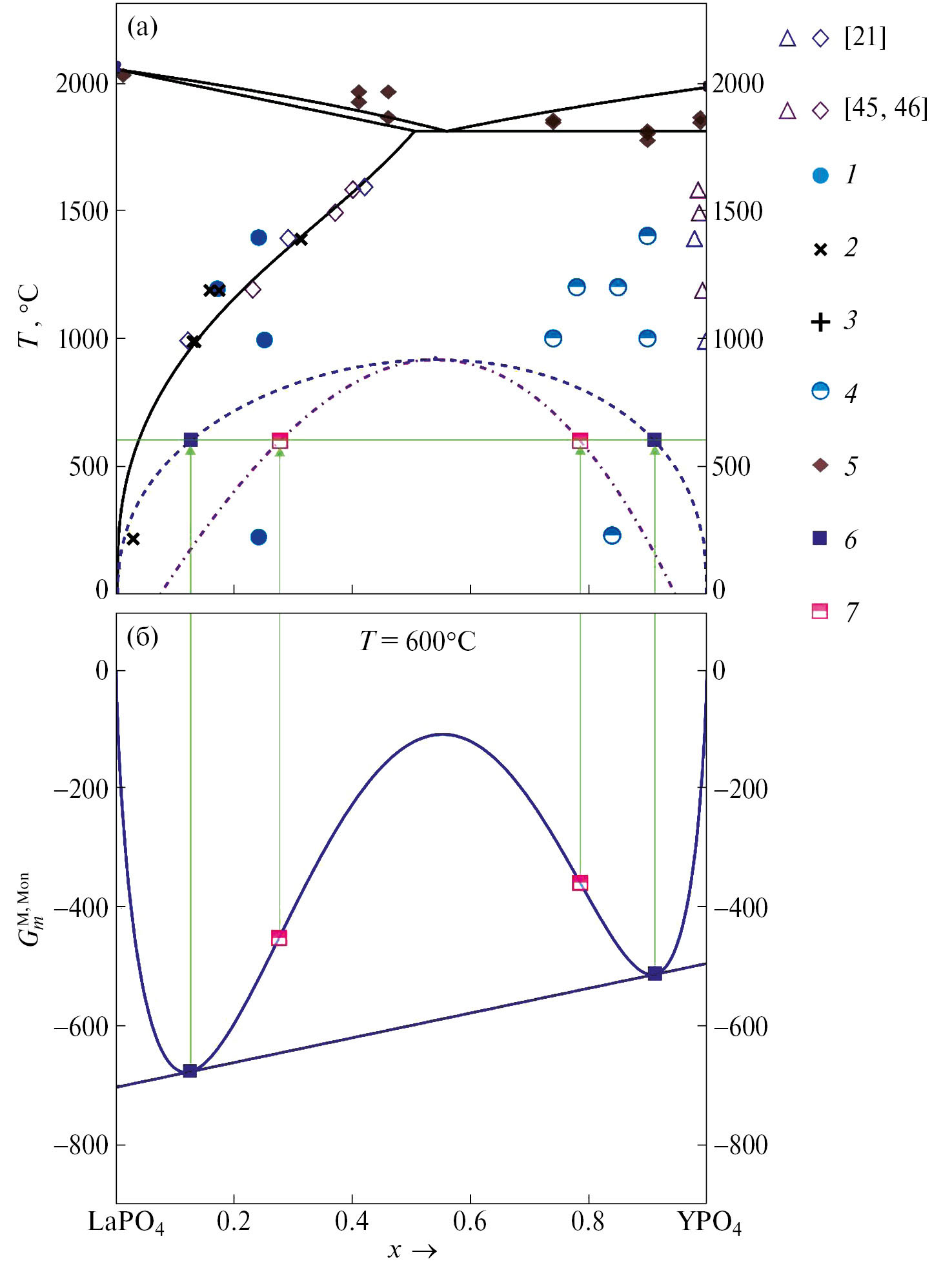
С использованием выражений (1), (2) и полученных значений параметров термодинамических моделей сосуществующих фаз в системе LaPO4–YPO4 построена диаграмма фазовых равновесий и определено положение метастабильной бинодали и спинодали фазы со структурой монацита (рис. 7). Расчетные координаты эвтектической точки в системе соответствуют значениям xэвт = 0.560 м.д. YPO4, Tэвт = 1820°C. Критическая точка метастабильного расслаивания фазы со структурой монацита, по данным термодинамического расчета, соответствует значениям xкр = 0.541 м.д. YPO4, Tкр = 931°C.
Рис. 7. (a) Диаграмма состояния системы LaPO4–YPO4. Сплошная кривая – термодинамически оптимизированная диаграмма фазовых равновесий, пунктирная кривая – метастабильная бинодаль – гипотетическое расслаивание фазы со структурой монацита, точка-пунктирная кривая – спинодальный распад фазы со структурой монацита. Экспериментальные данные: 1 – однофазный состав со структурой монацита, 2 – равновесный состав на основе фазы со структурой монацита, 3 – равновесный состав со структурой ксенотима, 4 – валовый состав образцов в двухфазной области, 5 – температура начала плавления твердой фазы, определенная методом ВПА. Расчетные данные: 6 – точки метастабильной бинодали для фазы со структурой монацита при 600°C, 7 – точки спинодального распада для фазы со структурой монацита при T = 600°C. (б) Кривая мольной энергии Гиббса смешения фазы со структурой монацита с общей касательной к кривой: x – мол. д. YPO4, GmM,Mon – мольная энергия смешения Гиббса фазы со структурой монацита (субрегулярная модель), Дж/моль.
Следует отметить, что сравнение рассчитанного значения температуры эвтектики (Tэвт = 1820°C) с экспериментально полученным методом ВПА (1850 ± 35°C) показывает достаточно высокую степень их взаимного соответствия. Так как при параметризации термодинамических моделей экспериментальные данные о температуре эвтектики не использовались, вышеуказанный факт может служить подтверждением достаточно высокой точности расчетных данных о равновесии фаз в данной системе, по крайней мере в высокотемпературной области. Подтверждением приемлемости использования метода ВПА для определения температуры начала плавления является тот факт, что полученное данным методом значение температуры плавления LaPO4 (2035°C) в пределах погрешности метода совпадает с литературными данными (Tm = 2050°C) [1].
Показателем приемлемой точности расчетных значений пределов растворимости компонентов в низкотемпературной области является близость результатов расчета и экспериментальных данных о растворимости фосфата иттрия в фазе со структурой монацита в гидротермальных условиях при T = 230°С (рис. 7), которые также не были использованы для определения параметров термодинамических моделей сосуществующих фаз.
Следует отметить, что завышенные по сравнению с расчетом экспериментальные значения температуры солидуса твердого раствора со структурой монацита могут быть связаны со сложностью фиксации начала плавления методом ВПА в условиях близости значений температур солидуса и ликвидуса и с высокой испаряемостью компонентов фосфатного расплава.
ЗАКЛЮЧЕНИЕ
Экспериментально исследованы фазовые равновесия в системе LaPO4–YPO4–(H2O). Построена термодинамически оптимизированная фазовая диаграмма системы LaPO4–YPO4 с использованием модели субрегулярных твердых растворов и проведен расчет метастабильной бинодали и спинодали фазы со структурой монацита. Показано, что система LaPO4–YPO4 является эвтектической с областью ограниченной растворимости YPO4 в LaPO4 и практически с отсутствующей растворимостью LaPO4 в YPO4. По результатам термодинамической оптимизации фазовой диаграммы можно заключить, что координаты эвтектической точки близки к значениям xэвт = 0.560 мол. д. YPO4, Tэвт = 1820°C, максимальная растворимость YPO4 в LaPO4 при температуре эвтектики составляет 50.5 мол. %. Параметры субрегулярной модели для фазы со структурой монацита на основе La1–xYxPO4 составляют Q1Mon = 20.75 ± 2.90 кДж/моль и Q2Mon = = 18.55 ± 1.78 кДж/моль, значение мольной энергии Гиббса гипотетического превращения компонента YPO4 в структуру монацита составило 6.84 ± 0.64 кДж/моль. Расчетные значения равновесной растворимости компонентов при T ~ 230°C (в условиях гидротермальной обработки) пренебрежимо малы, что согласуется с экспериментальными данными.
БЛАГОДАРНОСТЬ
Рентгеновская дифракция и сканирующая электронная микроскопия проведены с использованием оборудования и программного обеспечения Инжинирингового центра СПбГТИ (ТУ). Визуально-политермический анализ выполнен на оборудовании Института химии силикатов им. И.В. Гребенщикова РАН.
Авторы выражают благодарность А.А. Красилину и О.Ю. Синельщиковой за помощь в исследованиях.
ФИНАНСИРОВАНИЕ РАБОТЫ
Работа выполнена при финансовой поддержке Российского научного фонда (проект № 21-13-00260).
КОНФЛИКТ ИНТЕРЕСОВ
Авторы заявляют об отсутствии конфликта интересов.
ИНФОРМАЦИЯ О ВКЛАДЕ АВТОРОВ
М.О. Еникеева – синтез и исследование образцов, обработка данных, проведение расчетов, визуализация данных, написание и подготовка оригинального текста.
О.В. Проскурина – написание и редактирование текста, курирование работы.
В.В. Гусаров – написание и редактирование текста, проведение расчетов, курирование работы, руководство проектом.
Об авторах
М. О. Еникеева
Физико-технический институт им. А.Ф. Иоффе; Санкт-Петербургский государственный технологический институт (технический университет)
Автор, ответственный за переписку.
Email: odin2tri45678@gmail.com
Россия, Санкт-Петербург; Санкт-Петербург
О. В. Проскурина
Физико-технический институт им. А.Ф. Иоффе; Санкт-Петербургский государственный технологический институт (технический университет)
Email: odin2tri45678@gmail.com
Россия, Санкт-Петербург; Санкт-Петербург
В. В. Гусаров
Физико-технический институт им. А.Ф. Иоффе
Email: odin2tri45678@gmail.com
Россия, Санкт-Петербург
Список литературы
- Bondar I.A., Mezentseva L.P. // Prog. Cryst. Growth Charact. 1988. V. 16. P. 81. https://doi.org/10.1016/0146-3535(88)90016-0
- Hikichi Y., Nomura T. // J. Am. Ceram. Soc. 1987. V. 70. № 10. P. C252. https://doi.org/10.1111/J.1151-2916.1987.TB04890.X
- Барзаковский В.П., Курцева Н.Н., Лапин В.В. и др. Диаграммы состояния силикатных систем. Выпуск первый. Двойные системы. Л., 1969. 822 с.
- Kropiwnicka J., Znamierowska T. // Polish. J. Chem. 1988. V. 62. № 2. P. 587.
- Hikichi Y., Nomura T., Tanimura Y. et al. // J. Am. Ceram. Soc. 1990. V. 73. № 12. P. 3594. https://doi.org/10.1111/j.1151-2916.1990.tb04263.x
- Enikeeva M.O., Proskurina O.V., Motaylo E.S. et al. // Nanosyst. Physics, Chem. Math. 2021. V. 12. № 6. P. 799. https://doi.org/10.17586/2220-8054-2021-12-6-799-807
- Sudre O., Cheung J., Marshall D. et al. // 2008. P. 367. https://doi.org/10.1002/9780470294703.CH44
- Dacheux N., Clavier N., Podor R. // Am. Mineral. 2013. V. 98. № 5–6. P. 833. https://doi.org/10.2138/am.2013.4307
- Hetherington C.J., Dumond G. // Am. Mineral. 2013. V. 98. № 5–6. P. 817. https://doi.org/10.2138/AM.2013.4454
- Schlenz H., Heuser J., Neumann A. et al. // Z. Kristallogr. 2013. V. 228. № 3. P. 113. https://doi.org/10.1524/zkri.2013.1597
- Boatner L.A., Beall G.W., Abraham M.M. et al. // Advances in Nuclear Science & Technology ((ANST)). Springer, 1980. P. 289. https://doi.org/10.1007/978-1-4684-3839-0_35
- Lessing P.A., Erickson A.W. // J. Eur. Ceram. Soc. 2003. V. 23. № 16. P. 3049. https://doi.org/10.1016/S0955-2219(03)00100-6
- Leys J.M., Ji Y., Klinkenberg M. et al. // Materials (Basel). 2022. V. 15. № 10. P. 3434. https://doi.org/10.3390/ma15103434
- Mikhailova P., Burakov B., Eremin N. et al. // Sustain. 2021. V. 13. P. 1203. https://doi.org/10.3390/SU13031203
- Gysi A.P., Harlov D., Miron G.D. // Geochim. Cosmochim. Acta. 2018. V. 242. P. 143. https://doi.org/10.1016/J.GCA.2018.08.038
- Van Hoozen C.J., Gysi A.P., Harlov D.E. // Geochim. Cosmochim. Acta. 2020. V. 280. P. 302. https://doi.org/10.1016/J.GCA.2020.04.019
- Arinicheva Y., Gausse C., Neumeier S. et al. // J. Nucl. Mater. 2018. V. 509. P. 488. https://doi.org/10.1016/J.JNUCMAT.2018.07.009
- Qin D., Shelyug A., Szenknect S. et al. // Appl. Geochem. 2023. V. 148. P. 105504. https://doi.org/10.1016/J.APGEOCHEM.2022.105504
- Arinicheva Y., Bukaemskiy A., Neumeier S. et al. // Prog. Nucl. Energy. 2014. V. 72. P. 144. https://doi.org/10.1016/j.pnucene.2013.09.004
- Ma J., Teng Y., Huang Y. et al. // J. Nucl. Mater. 2015. V. 465. P. 550. https://doi.org/10.1016/j.jnucmat.2015.06.046
- Mogilevsky P., Boakye E.E., Hay R.S. // J. Am. Ceram. Soc. 2007. V. 90. № 6. P. 1899. https://doi.org/10.1111/j.1551-2916.2007.01653.x
- Hirsch A., Kegler P., Alencar I. et al. // J. Solid State Chem. 2017. V. 245. P. 82. https://doi.org/10.1016/j.jssc.2016.09.032
- Yunxiang Ni, Hughes J.M., Mariano A.N. // Am. Mineral. 1995. V. 80. № 1–2. P. 21. https://doi.org/10.2138/AM-1995-1-203
- Heuser J.M., Neumeier S., Peters L. et al. // J. Solid State Chem. 2019. V. 273. P. 45. https://doi.org/10.1016/J.JSSC.2019.02.028
- Clavier N., Podor R., Dacheux N. // J. Eur. Ceram. Soc. 2011. V. 31. № 6. P. 941. https://doi.org/10.1016/j.jeurceramsoc.2010.12.019
- Milligan W.O., Mullica D.F., Beall G.W. et al. // Inorg. Chim. Acta. 1982. V. 60. P. 39. https://doi.org/10.1016/S0020-1693(00)91148-4
- Strzelecki A.C., Zhao X., Estevenon P. et al. // Am. Miniral. 2024. V. 109. https://doi.org/10.2138/am-2022-8632
- Ushakov S.V., Helean K.B., Navrotsky A. et al. // J. Mater. Res. 2001. V. 16. № 9. P. 2623. https://doi.org/10.1557/JMR.2001.0361
- Clavier N., Mesbah A., Szenknect S. et al. // Spectrochim. Acta, Part A: Mol. Biomol. Spectrosc. 2018. V. 205. P. 85. https://doi.org/10.1016/J.SAA.2018.07.016
- Rafiuddin M.R., Guo S., Donato G. et al. // J. Solid State Chem. 2022. V. 312. P. 123261. https://doi.org/10.1016/J.JSSC.2022.123261
- Maslennikova T.P., Osipov A.V., Mezentseva L.P. et al. // Glass. Phys. Chem. 2010. V. 36. № 3. P. 351. https://doi.org/10.1134/S1087659610030120
- Ugolkov V.L., Mezentseva L.P., Osipov A.V. et al. // Russ. J. Appl. Chem. 2017. V. 90. № 1. P. 28. https://doi.org/10.1134/S1070427217010050
- Boakye E.E., Hay R.S., Mogilevsky P. et al. // J. Am. Ceram. Soc. 2008. V. 91. № 1. P. 17. https://doi.org/10.1111/J.1551-2916.2007.02005.X
- Boakye E.E., Mogilevsky P., Hay R.S. // J. Am. Ceram. Soc. 2005. V. 88. № 10. P. 2740. https://doi.org/10.1111/J.1551-2916.2005.00525.X
- Enikeeva M.O., Proskurina O.V., Levin A.A. et al. // J. Solid State Chem. 2023. V. 319. P. 123829. https://doi.org/10.1016/J.JSSC.2022.123829
- Mezentseva L.P., Kruchinina I.Y., Osipov A.V. et al. // Glass. Phys. Chem. 2017. V. 43. № 1. P. 98. https://doi.org/10.1134/S1087659617010114
- Ivashkevich L.S., Lyakhov A.S., Selevich A.F. // Phosphorus Res. Bull. 2013. V. 28. P. 45. https://doi.org/10.3363/PRB.28.45
- Mesbah A., Clavier N., Elkaim E. et al. // J. Solid State Chem. 2017. V. 249. P. 221. https://doi.org/10.1016/J.JSSC.2017.03.004
- Yasuo Hikichi, Toshitaka Ota, Tomotoshi Hattori et al. // Mineral. J. 1996. V. 183. P. 87.
- Khorvat I., Bondar’ I.A., Mezentseva L.I. // Russ. J. Inorg. Chem. 1986. V. 31. № 9. P. 2250.
- Pechkovskaya K.I., Nikiforova G.E., Kritskaya A.P. et al. // Russ. J. Inorg. Chem. 2021. V. 66. № 12. P. 1785. https://doi.org/10.1134/S0036023621120123
- Ioku K., Okada T., Okano E. et al. // Phosphorus Res. Bull. 1995. V. 5. P. 71. https://doi.org/10.3363/PRB1992.5.0_71
- Gratz R., Heinrich W. // Eur. J. Mineral. 1998. V. 10. № 3. P. 579. https://doi.org/10.1127/EJM/10/3/0579
- Shelyug A., Mesbah A., Szenknect S. et al. // Front. Chem. 2018. V. 6. № DEC. P. 427386. https://doi.org/10.3389/fchem.2018.00604
- Emden B. V., Thornber M., Graham J. et al. // 45th Annual Denver X-ray Conference. Denver, Colorado, USA. 1996.
- Mogilevsky P. // Phys. Chem. Miner. 2007. V. 34. № 3. P. 201. https://doi.org/10.1007/s00269-006-0139-1
- Торопов Н.А., Келер Э.К., Леонов А.И. и др. // Вестник АН СССР. 1962. № 3. С. 46.
- Bechta S.V., Krushinov E.V., Almjashev V.I. et al. // J. Nucl. Mater. 2007. V. 362. № 1. P. 46. https://doi.org/10.1016/J.JNUCMAT.2006.11.004
- Bechta S.V., Krushinov E.V., Almjashev V.I. et al. // J. Nucl. Mater. 2006. V. 348. № 1–2. P. 114. https://doi.org/10.1016/J.JNUCMAT.2005.09.009
- Чебраков Ю.В., Гусаров В.В. // Изв. вузов. Физика. 1990. Т. 33. № 1. С. 126.
- Чебраков Ю.В. Теория оценивания параметров в измерительных экспериментах. СПб.: СПбГУ, 1997. 300 с.
- Урусов В.С. Теория изоморфной смесимости. М.: Наука, 1977. 251 с.
- Гусаров В.В., Семин Е.Г., Суворов С.А. Термодинамика гетеровалентных изоморфных смесей Be1–1.5xMexO (Me – 3d-элемент) // Журн. прикл. химии. 1983. Т. 56. № 9. С. 1956.
- Суворов С.А., Семин Е.Г., Гусаров В.В. Фазовые диаграммы и термодинамика оксидных твердых растворов. Л.: Изд-во Ленингр. ун-та, 1986. 140 с.
- Shannon R.D. // Acta Crystallogr. 1976. V. 32. P. 751.
- Saunders N. CALPHAD (Calculation of Phase Diagrams):A Comprehensive Guide / N. Saunders, A.P. Miodownik. Elsevier Science Ltd., 1998. 479 p.
- Epstein L.F. // J. Nucl. Mater. 1967. V. 22. № 3. P. 340. https://doi.org/10.1016/0022-3115(67)90052-9
- Retgers J.W. // Z. Phys. Chem. 1889. V. 3. P. 497. https://doi.org/10.1016/0146-3535(84)90002-9
- Enikeeva M.O., Proskurina O.V., Gerasimov E.Yu. et al. // Nanosystems: Phys. Chem. Math. 2023. V. 14. № 6. P. 660. https://doi.org/10.17586/2220-8054-2023-14-6-660-671
Дополнительные файлы









