Комплексы цинка(II) с производными тиадиазолов-1,3,4
- Авторы: Хусенов К.Ш.1, Умаров Б.Б.2, Тургунов К.К.3,4, Бахронова О.Ж.1, Алиев Т.Б.1, Ибрагимов Б.Т.5
-
Учреждения:
- Навоийский государственный горно-технологический университет
- Бухарский государственный университет
- Институт химии растительных веществ им. акад. С.Ю. Юнусова АН РУз
- Туринский политехнический университет в г. Ташкенте
- Институт биоорганической химии АН РУз
- Выпуск: Том 69, № 2 (2024)
- Страницы: 193-202
- Раздел: КООРДИНАЦИОННЫЕ СОЕДИНЕНИЯ
- URL: https://bakhtiniada.ru/0044-457X/article/view/260615
- DOI: https://doi.org/10.31857/S0044457X24020061
- EDN: https://elibrary.ru/ZHQWXS
- ID: 260615
Цитировать
Полный текст
Аннотация
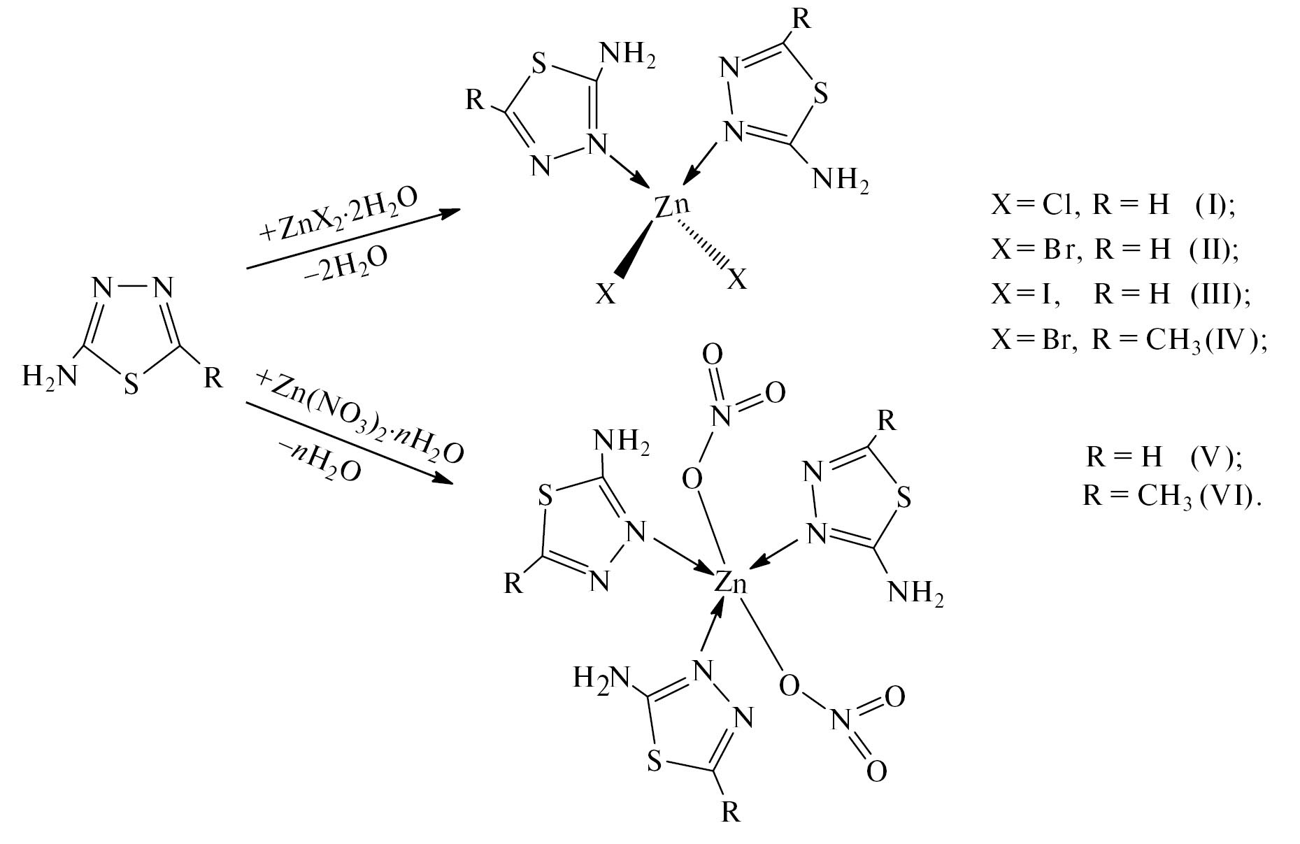
Синтезированы комплексы Zn(II) состава [ZnLn2Х2] и [ZnLn3(NO3)2], где n = 1, 2; Х = Cl, Br, I; L1 = 2-аминотиадиазол-1,3,4, L2 = 2-амино-5-метилтиадиазол-1,3,4. Полученные комплексы изучены методами элементного анализа, ИК- и 1Н ЯМР- спектроскопии. Строение комплекса [ZnL22Br2] определено методом РСА (СIF file CCDC № 2251742). Молекулы лигандов 2-амино-5-R-тиадиазолов-1,3,4 (R = –H, –CH3) координируются монодентатно эндоциклическим атомом азота, расположенным в α-положении к аминогруппе. Полиэдром центрального атома галогенидных комплексов является слегка искаженный тетраэдр, в координационной сфере которого расположены два атома галогенида и два эндоциклических атома азота. Согласно спектральным данным, при комплексообразовании раствора комплекса [ZnL22Br2] координированные лиганды L2 подвергаются амино-иминной таутомерии в гетероциклический амин с атомом азота в гетероцикле. Полиэдром центрального атома для нитратных комплексов является слегка искаженная тригональная бипирамида, в координационной сфере которой расположены в экваториальной плоскости три атома азота лигандов и в аксиальной позиции два атома кислорода двух нитратных анионов.
Полный текст
Памяти академика АН РУз Н.А. Парпиева (1931–2021)
ВВЕДЕНИЕ
Комплексы на основе гетероциклических соединений составляют обширный класс координационных соединений, интенсивно изучаемых на протяжении многих лет [1–6]. С точки зрения структурной химии он отличается большим разнообразием структурных типов [7–16] в зависимости от условий синтеза, природы металла и органических и ацидолигандов, в структуре которых содержатся координационные полимеры [17–19] и N-, O-, S-донорные атомы, образующие дискретные комплексы различной ядерности [20–25].
Интерес к химии производных циклических тиадиазольных соединений объясняется прежде всего тем, что они являются удобными объектами для изучения взаимного влияния атомов и групп различных таутомерных превращений. Кроме того, гетероциклы, особенно пятичленные, по своему значению занимают одно из ведущих мест среди уже известных биологически активных веществ [26–28]. Среди полидентатных органических лигандов для химии комплексных соединений особый интерес представляет 2-амино-1,3,4-тиадиазол. Это связано с наличием в его составе нескольких потенциальных донорных атомов и широким применением в медицине, сельском хозяйстве, промышленности [28–30].
В данной работе синтезированы комплексы галогенидов цинка(II) (I–IV) и нитрата цинка(II) (V–VI) с лигандами L1 (2-аминотиадиазол-1,3,4) и L2 (2-амино-5-метилтиадиазол-1,3,4) и определено их строение. Указанные комплексы получены по реакции (схема 1).
Схема 1.
Цель настоящей работы – разработка методики синтеза моноядерных галогенидных и нитратных комплексов цинка(II) с новыми лигандами, исследование их состава и строения методами элементного анализа, ИК- и 1Н ЯМР-спектроскопии, а также рентгеноструктурного анализа (РСА).
ЭКСПЕРИМЕНТАЛЬНАЯ ЧАСТЬ
Все эксперименты, связанные с синтезом комплексов I–VI, проводили при температуре 70–75°С с использованием коммерчески доступных химических реактивов без дополнительной очистки: ZnCl2 · · 2H2O, ZnBr2 · 2H2O, ZnI2 · 2H2O, Zn(NO3)2 · nH2O (ч. д. а.), 2-аминотиадиазола-1,3,4 (≥99.0%), 2-амино-5-метилтиадиазола-1,3,4 (≥98.0%) (Аlibaba.com), а также растворителя EtOH (х. ч., перегнанный).
Синтез комплекса [ZnL12Br2] (II). К горячему раствору 0.606 г (0.006 моль) лиганда L1 в 50 мл этанола добавляли при постепенном перемешивании горячий раствор 0.78 г (0.003 моль) ZnBr2 · 2H2O в 35 мл этанола, затем нагревали с обратным холодильником в течение 1 ч и наблюдали образование поликристаллов бежевого цвета. Через 2 сут выпавшие поликристаллы отфильтровывали и высушивали на воздухе.
Аналогично были синтезированы комплексы [ZnL12Сl2] (I) [31], [ZnL12I2] (III) [32] и [ZnL22Br2] (IV).
Синтез комплекса [ZnL23(NO3)2] (VI). К горячему раствору 1.036 г (0.009 моль) лиганда L2 в 50 мл этанола добавляли при постепенном перемешивании горячий раствор 0.57 г (0.003 моль) нитрата цинка(II) в 50 мл этанола, затем нагревали с обратным холодильником в течение 1 ч, отфильтровывали и оставляли для кристаллизации. Через сутки выпавшие кристаллы бежевого цвета отфильтровывали и высушивали на воздухе.
Аналогично синтезирован комплекс [ZnL13(NO3)2] (V) [33]. Элементный анализ соединений на C, H, N выполняли на приборе ЕА 1108 Carlo Erba, Zn определяли на приборе Perkin Elmer 3030В. Перекристаллизацией [ZnL22Br2] из этанола получены монокристаллы C6H10N6S2Br2Zn, пригодные для РСА.
ИК-спектры поглощения записывали на спектрометре Spectrum 3 FT-IR Spectrometer by PerkinElmer Inc в области 400–4000 см–1. Температуру плавления определяли в запаянных вакуумированных капиллярах.
L1: бледно-желтые кристаллы, tпл = 191–192°С.
Найдено, %: | С 23.36; | Н 3.13; | N 41.51. |
Для C2H3N3S | |||
вычислено, %: | С 23.75; | Н 3.00; | N 41.50. |
ИК-спектр (ν, см–1): 1615 ν(СН=N), 1020 ν(=N–N=), 3279, 3090, 3017 νas(N–H) и νs(N–H), 1506 δ(N–H), 890 ν(C–S).
L2: бледно-желтые кристаллы, tпл = 225°С.
Найдено, %: | С 32.00; | Н 4.49; | N 37.02. |
Для C3H5N3S | |||
вычислено, %: | С 31.28; | Н 4.38; | N 36.49. |
ИК-спектр (ν, см–1): 1640 ν(СН=N), 1072 ν(=N–N=), 3216, 3065, 2966 νas(N–H) и νs(N–H), 1505 δ(N–H), 977 ν(C–S).
I: бледно-желтые кристаллы, tпл = 236°С, выход 0.972 г (86.0% в расчете на [ZnL12Сl2]).
Найдено, %: | С 14.46; | Н 1.45; | N 24.52; | Zn 19.10. |
Для C4H6N6S2Cl2Zn | ||||
вычислено, %: | С 14.19; | Н 1.79; | N 24.83; | Zn 19.31. |
ИК-спектр (ν, см–1): 1640, 1590 ν(СН=N), 1030, 1020 ν(=N–N=), 3384, 3336, 3287 νas(N–H) и νs(N–H), 1512 δ(N–H), 899 ν(C–S), 467 ν(Zn–N).
II: бледно-желтые кристаллы, tпл = 228–230°С, выход 1.17 г (84.0% в расчете на [ZnL12Br2]).
Найдено, %: | С 11.04; | Н 1.40; | N 19.29; | Zn 15.43. |
Для C4H6N6S2Br2Zn | ||||
вычислено, %: | С 11.24; | Н 1.41; | N 19.66; | Zn 15.29. |
ИК-спектр (ν, см–1): 1639, 1598 ν(СН=N), 1100, 1042 ν(=N–N=), 3385, 3339, 3291, 3106 νas(N–H) и νs(N–H), 1523 δ(N–H), 894 ν(C–S), 452 ν(Zn–N).
III: желтыe кристаллы, tпл = 224°С, выход 1.32 г (79.0% в расчете на [ZnL12I2]).
Найдено, %: | С 9.43; | Н 2.34; | N 16.51; | Zn 13.19. |
Для C4H6N6S2I2Zn | ||||
вычислено, %: | С 9.21; | Н 1.16; | N 16.12; | Zn 12.54. |
ИК-спектр (ν, см–1): 1638, 1588 ν(СН=N), 1038, 1025 ν(=N–N=), 3376, 3324, 3265, 3111 νas(N–H) и νs(N–H), 1539 δ(N–H), 897 ν(C–S), 449 ν(Zn–N).
IV: бледно-желтые кристаллы, tпл = 242°С, выход 1.224 г (83.0% в расчете на [ZnL22Br2]).
Найдено, %: | С 15.74; | Н 2.16; | N 18.58; | Zn 14.42. |
Для C6H10N6S2Br2Zn | ||||
вычислено, %: | С 15.82; | Н 2.22; | N 18.45; | Zn 14.35. |
ИК-спектр (ν, см–1): 1598, 1550 ν(СН=N), 1080, 1046 ν(=N–N=), 3364, 3250, 3188, 3167 νas(N–H) и νs(N–H), 1550 δ(N–H), 972 ν(C–S), 455 ν(Zn–N).
V: бледно-желтые кристаллы, tпл = 183–185°С, выход 1.24 г (84.0% в расчете на [ZnL13(NO3)2]).
Найдено, %: | С 14.48; | Н 2.13; | N 31.21; | Zn 13.09. |
Для C6H9N11S3O6Zn | ||||
вычислено, %: | С 14.62; | Н 1.84; | N 31.27; | Zn 13.27. |
ИК-спектр (ν, см–1): 1622, 1588 ν(СН=N), 1050, 1015 ν(=N–N=), 3281, 3139 νas(N–H) и νs(N–H), 1543 δ(N–H), 930 ν(C–S), 439 ν(Zn–N).
VI: бледно-желтые кристаллы, tпл = 195°С, выход 1.36 г (85.0% в расчете на [ZnL23(NO3)2]).
Найдено, %: | С 20.65; | Н 2.94; | N 28.42; | Zn 12.12. |
Для C9H15N11S3O6Zn | ||||
вычислено, %: | С 20.21; | Н 2.83; | N 28.81; | Zn 12.22. |
ИК-спектр (ν, см–1): 1644, 1560 ν(СН=N), 1085, 1035 ν(=N–N=), 3440, 3290, 3190, 3112 νas(N–H) и νs(N–H), 1510 δ(N–H), 975 ν(C–S), 427 ν(Zn–N).
Спектры 1H ЯМР регистрировали на спектрометрах JNM-ECZ400R и JNM-ECZ600R (Jeol, Япония) при 400 МГц. В качестве внутреннего стандарта в спектрах 1Н ЯМР использовали ТМС (0 м.д.). Спектры ЯМР обрабатывали с использованием программного обеспечения MestReNova 14.2.0 (Mestrelab Research S.L., Santiago de Compostela, Spain).
Рентгеноструктурный эксперимент проводили на дифрактометре НРС XtaLAB Synergy (Rigaku, Япония) [34] с использованием CuKa-излучения (двухзеркальный монохроматор (double-mirror monochromator), w-сканирование).
Структуры расшифрованы прямым методом с использованием комплекса программ SHELXS-97 [35]. Расчеты по уточнению структуры выполнены по программе SHELXL-2014/7 [36]. Все неводородные атомы уточнены методом наименьших квадратов (по F 2) в полноматричном анизотропном приближении. Положения атомов водорода при атоме углерода выявлены геометрически и уточнены с фиксированными параметрами изотропного смещения Uiso = nUeq, где n = 1, 2, а Ueq — эквивалентный изотропный параметр смещения соответствующих атомов углерода.
Координаты атомов и другие параметры структуры [ZnL22Br2] депонированы в Кембриджском банке структурных данных (CCDC) (№ 2251742); deposit@ccdc.cam.ac.uk или http://www.ccdc.cam.ac.uk/data_ request/cif).
РЕЗУЛЬТАТЫ И ОБСУЖДЕНИЕ
Полосы поглощения ν(Zn–N) в ИК-спектрах комплексов по сравнению со спектрами лигандов появляются в области 427–467 см–1. Спектры комплексов цинка (I–VI) также отличаются от спектров соответствующих лигандов тем, что в них интенсивные полосы поглощения валентных колебаний связи >C=N– при 1615 см–1 (L1) и 1640 см–1 (L2) расщепляются на две интенсивные полосы: 1640, 1590 (I), 1639, 1598 (II), 1638, 1588 (III), 1598, 1550 (IV), 1622, 1588 (V) и 1644, 1560 см–1 (VI) соответственно), что можно объяснить неравноценностью связей >C=N– в молекуле лиганда, координированного через один атом азота тиадиазольного цикла. Полоса колебаний ν(>N–N<) (в спектрах лигандов 1020 (L1) и 1072 см–1 (L2)) в спектрах комплексов также расщепляется на две интенсивные полосы при 1030–1100 и 1015–1042 см–1 в случае L1, при 1080–1085 и 1035–1046 см–1 в случае L2. Валентные колебания аминогрупп остаются неизменными, располагаясь в области 3440–3017 см–1, а деформационные частоты колебаний наблюдаются в диапазоне 1550–1505 см–1 [31, 37, 38]. Такое спектральное поведение комплексов свидетельствует об образовании монодентатной координационной структуры лигандов.
Интересные результаты были получены при исследовании лигандов и синтезированных на их основе новых комплексных соединений методом 1Н ЯМР-спектроскопии в растворе ДМСО-d6 + CCl4 (400 МГц), значения химических сдвигов (δ, м.д. (ppm)) приведены на рис. 1, 2. В спектре L2 синглетный сигнал в поле ä = 2.46 м.д. относится к трем протонам СН3-группы, а синглетный сигнал в поле ä = 6.798 м.д. принадлежит двум протонам NH2-группы. Синглетные сигналы при ä = 2.48 м.д. относятся к протонам метильной группы в комплексе VI, а сигналы при ä = 6.946 м.д. – к двум протонам аминогруппы.
Рис. 1. Спектры 1Н ЯМР лиганда L1 (a) и его комплекса II (б), 400 МГц, растворитель – DMSO-d6 + CCl4, 298 K.
Рис. 2. Спектры 1Н ЯМР лиганда L2 (а) и его комплексов VI (б) и IV (в), 400 МГц, растворитель DMSO-d6 + CCl4, 298 K.
В тетраэдрически окруженном комплексе IV синглетный сигнал от трех атомов водорода метильной группы регистрировали при ä = 2.501 м.д., а дублетные сигналы от атома водорода иминной группы и атома водорода азометина в цикле – при ä = 7.196 и 7.249 м.д. [39, 40]. Можно сделать вывод, что лиганд L2 в растворе подвергается амино-иминной таутомерии при комплексообразовании с солью бромида цинка, при этом один из атомов водорода в аминогруппе смещается к эндоциклическому атому азота в α-положении от аминогруппы (схема 2).
Схема 2.
Для однозначного потверждения сделанных выводов о строении комплексов Zn(II) (по результатам ИК- и 1Н ЯМР-спектроскопии) были выращены монокристаллы [ZnL2Br2], полученные перекристаллизацией их из EtOH. Основные кристаллографические данные и результаты уточнения структуры [ZnL2Br2] приведены в табл. 1.
Таблица 1. Основные кристаллографические данные и параметры уточнения структуры [ZnL22Br2]
Параметр | Значение |
Брутто-формула | ZnC6H10N6S2Br2 |
М | 455.51 |
Т, K | 293 |
Сингония | Моноклинная |
Пр. гр. | P21/c |
a, Å | 9.27376(13) |
b, Å | 20.3510(2) |
c, Å | 7.48449(11) |
α, град | 90 |
β, град | 98.2811(14) |
γ, град | 90 |
V, Å3 | 1397.82(3) |
Z | 4 |
ρвыч, г/см3 | 2.164 |
μ, мм–1 | 11.85 |
Область сканирования по θ, град | 4.3–71.4 |
Область индексов h, k, l | −11 ≤ h ≤ 11, –24 ≤ k ≤ 22, –9 ≤ l ≤ 9 |
Число измеренных отражений | 13854 |
Число независимых отражений (Rint) | 2702 (0.043) |
Отражений с I > 2σ(I) | 2442 |
Число уточняемых параметров | 172 |
GOOF (F 2) | 1.04 |
R1, wR2 (I > 2σ(I)) | 0.026, 0.067 |
R1, wR2 (все отражения) | 0.029, 0.069 |
Äρmax, Äρmin, e Å−3 | 0.38, –0.45 |
Известно, что координационные соединения дигалогенидов цинка(II) и других двухвалентных ионов металлов I переходного ряда с монодентатными лигандами представляют собой в основном кристаллы тетраэдрической структуры, искажения в которых обусловлены (при отсутствии влияния природы центрального атома, сферически симметричная d10-оболочка) природой ацидо- и монодентатного лигандов, а также особенностями упаковки мономерных полиэдров в кристаллической структуре [31, 32, 41].
В синтезированных нами комплексах галогенидов цинка(II) с L1 (I–III) также реализуется искаженная тетраэдрическая конфигурация, в вершинах которой располагаются два атома галогена и два донорных атома азота тиадиазольных колец [31, 32, 42].
Кристаллическая структура IV состоит из дискретных моноядерных молекул, связанных водородными связями (рис. 3, 4). Атом цинка координирован с двумя ионами брома и двумя атомами эндо-азота в искаженной тетраэдрической геометрии. Длины связи Zn–Br (2.3751(5) и 2.3938(5) Å) значительно различаются (табл. 2), и только наибольшее значение близко к сумме ковалентных радиусов Zn и Br (1.31 + 1.11 = 2.42 Å, ковалентные радиусы атомов по Полингу). Две длины связи Zn–N в IV (2.032(2) и 2.021(2) Å) существенно близки к сумме ковалентных радиусов 2.05 Å [43].
Рис. 3. Кристаллическая структура комплексного соединения [ZnL22Br2]. Показаны внутримолекулярные водородные связи. Тепловые эллипсоиды показаны с вероятностью 50%.
Рис. 4. Проекция кристаллической упаковки молекул [Zn L22Br2] вдоль оси с. Показаны координационные полиэдры ZnN2Br2.
Таблица 2. Длины связей и валентные углы в координационном полиэдре комплекса IV
Связь | d, Å |
Zn(1)–Br(1) | 2.3751 (5) |
Zn(1)–Br(2) | 2.3938 (5) |
Zn(1)–N(1А) | 2.032 (2) |
Zn(1)–N(1B) | 2.021 (2) |
Угол | w, град |
Br(1)Zn(1)Br(2) | 112.33 (2) |
N(1А)Zn(1)N(1B) | 104.46 (8) |
N(1А)Zn(1)Br(2) | 107.88 (6) |
N(1B)Zn(1)Br(2) | 112.98 (7) |
N(1А)Zn(1)Br(1) | 108.90 (6) |
N(1B)Zn(1)Br(1) | 109.92 (7) |
Валентные углы NZnBr в структуре комплекса [ZnL2Br2] (107.88(6)°–112.98(7)°) близки к значениям в других тетраэдрических комплексах цинка. Углы NZnN и BrZnBr увеличены до 104.46(8)° и 112.33(2)° соответственно [31, 32, 42].
Общим для этих координационных полиэдров является то, что потенциально тридентатный лиганд аминотиадиазол координируется к атому цинка через эндоциклический атом азота, расположенный в α-положении к экзоциклическому атому азота аминогруппы. Следует отметить, что “мягкий” донорный центр в виде атома серы в кольце аминотиадиазола не участвует в координации с “мягкой” кислотой – ионом цинка(II).
С точки зрения потенциала водородной связи лиганды L1 и L2 имеют два акцепторных элемента — два атома водорода NH2-группы и два донора — атомы N1 и N2 тиадиазольного кольца [31, 44, 45], а также ионы Br–.
NH2-группы в структуре комплекса IV участвуют в образовании слабых внутримолекулярных водородных связей N–H···Br (N(3А)–H(2)···Br(1) 3.410(3) Å и N(3B)–H(4)···Br(2) 3.611(3) Å), замыкающих шестичленные М, Н-циклы (М-металл), при этом в качестве донора выступают ионы галогена (Br–). В кристаллической структуре также встречаются несимметричные межмолекулярные водородные связи (табл. 3).
Таблица 3. Характеристика водородных связей в структуре IV (D – донор, A – акцептор)
D–Н···A | Коды симметрии | Расстояние, Å | Угол DНA, град | ||
D–H | H···А | D···A | |||
ВМВС | |||||
N(3A)–H(2)···Br(1) | x, y, z | 0.86(4) | 2.60(4) | 3.410(3) | 158(3) |
N(3B)–H(4)···Br(2) | x, y, z | 0.85(4) | 2.82(4) | 3.611(3) | 156(4) |
ММВС | |||||
N(3A)–H(1)···Br(2) | –x, 1–y, 1–z | 0.79(4) | 2.73(7) | 3.531(8) | 144(6) |
N(3B)–H(3)···N2(А) | x, 1/2–y, 1/2+z | 0.83(4) | 2.30(4) | 3.114(4) | 165(3) |
Сопоставление остальных структурных данных тиадиазольных циклов соединения IV показывает, что отклонение атомов от “средней” плоскости несколько меньше (табл. 4) [45].
Таблица 4. Отклонение атомов от “средних” плоскостей в структуре IV
Атом | Отклонение, Å | Атом | Отклонение, Å |
N(1А) | 0.0005 | N(1B) | 0.002 |
N(2А) | –0.004 | N(2B) | 0.003 |
C(1А) | 0.002 | C(1B) | –0.004 |
C(2А) | 0.004 | C(2B) | –0.005 |
S(1А) | –0.003 | S(1B) | 0.004 |
N(3А)* | 0.03 | N(3B)* | –0.045 |
Zn(1)* | –0.1396 | Zn(1)* | 0.296 |
Br(1)* | 0.503 | Br(1)* | 2.558 |
Br(2)* | –2.395 | Br(2)* | –0.395 |
*Атомы не включены в расчет данной плоскости.
Нитрат цинка(II) образует с лигандами L1 и L2 пятикоординационное комплексное соединение. Увеличение координационного числа в этом случае, очевидно, объясняется бóльшим отталкиванием объемистых нитрат-ионов друг от друга, в результате появляется возможность для координации к центральному атому третьей молекулы гетероцикла. Образующийся комплекс нитрата цинка(II) с аминотиадиазолом представляет собой тригональную бипирамиду, в экваториальной плоскости которой находятся три атома азота трех молекул гетероцикла; аксиальные позиции полиэдра занимают атомы кислорода двух нитрат-ионов [33].
ЗАКЛЮЧЕНИЕ
В заключение можно отметить, что синтезированные комплексы, строение которых описывается формулами [ZnL12Х2], где X=Cl, Br, I (I–III соответственно), [ZnL22Br2] (IV), [ZnL13(NO3)2] (V) и [ZnL23(NO3)2] (VI), исследованы методами ИК- и 1Н ЯМР-спектроскопии и РСА. Установлено, что в процессе комплексообразования лиганды координируются через эндоциклические атомы азота, которые находятся в α-положении относительно аминогруппы в твердом состоянии. Параметры спектров 1H ЯМР комплекса [ZnL22Br2] (IV) (в растворе координированные лиганды L2) подвергаются амино-иминной таутомерии при комплексобразовании.
В случае галогенидных комплексов полиэдром центрального атома является слегка искаженный тетраэдр, в координационной сфере которого расположены два атома галогенида и два эндоциклических атома азота. Когда в комплексе в роли ацидолиганда присутствует нитратный анион, полиэдром центрального атома является тригональная бипирамида, в координационной сфере которой расположены три атома азота трех молекул лиганда L2 в экваториальной плоскости и два атома кислорода нитратных анионов, находящиеся в аксиальном положении.
БЛАГОДАРНОСТЬ
ИК- и 1Н ЯМР-спектры получены на оборудовании, установленном в Центре коллективного пользования Института химии растительных веществ им. акад. С.Ю. Юнусова АН РУз.
Рентгеноструктурный анализ выполнен на оборудовании Центра коллективного пользования Института биоорганической химии им. акад. О.С. Содыкова АН РУз.
КОНФЛИКТ ИНТЕРЕСОВ
Авторы заявляют об отсутствии конфликта интересов.
Об авторах
К. Ш. Хусенов
Навоийский государственный горно-технологический университет
Автор, ответственный за переписку.
Email: kahramon.husenov71@gmail.com
ORCID iD: 0000-0003-2849-8229
Узбекистан, ул. Галаба шох, 76в, Навои, 210100
Б. Б. Умаров
Бухарский государственный университет
Email: kahramon.husenov71@gmail.com
ORCID iD: 0000-0002-0479-3090
Узбекистан, ул. М. Икбола, 11, Бухара, 200117
К. К. Тургунов
Институт химии растительных веществ им. акад. С.Ю. Юнусова АН РУз; Туринский политехнический университет в г. Ташкенте
Email: kambarali@mail.ru
ORCID iD: 0000-0001-5741-6347
Узбекистан, ул. М. Улугбека, 77, Ташкент, 100170; Малая кольцевая дорога, 17, Ташкент, 100095
О. Ж. Бахронова
Навоийский государственный горно-технологический университет
Email: kahramon.husenov71@gmail.com
Узбекистан, ул. Галаба шох, 76в, Навои, 210100
Т. Б. Алиев
Навоийский государственный горно-технологический университет
Email: kahramon.husenov71@gmail.com
Узбекистан, ул. Галаба шох, 76в, Навои, 210100
Б. Т. Ибрагимов
Институт биоорганической химии АН РУз
Email: kahramon.husenov71@gmail.com
ORCID iD: 0000-0002-9700-6227
Узбекистан, ул. М. Улугбека, 83, Ташкент, 100125
Список литературы
- Serban Georgeta, Stanasel Oana, Serban Eugenia, Bota Sanda // Drug Des Devel Ther. 2018. V. 12. № 5. P. 1545. https://doi.org/10.2147/DDDT.S155958
- Karapetyan L.V., Tokmajyan G.G. // Russ. J. Gen. Chem. 2023. V. 93. № 3. P. 506. https://doi.org/10.1134/S1070363223030076
- Nikiforova M.E., Lutsenko I.A., Kiskin M.A. et al. // Russ. J. Inorg. Chem. 2021. V. 66. № 9. P. 1343. https://doi.org/10.1134/S0036023621090102
- Wang Y.F., Zhang S.Q., Feng Y.X., Wang L.Y. // Russ. J. Gen. Chem. 2021. V. 91. № 8. P. 1566. https://doi.org/10.1134/S1070363221080193
- Никифорова С.Е., Кубасов А.С., Белоусова О.Н. и др. // Журн. неорган. химии. 2023. Т. 68. № 6. С. 832. https://doi.org/10.31857/S0044457Х2260219Х
- Kalanithi M., Rajarajan M., Tharmaraj P., Johnson Raja S. // Med. Chem. Res. 2015. V. 24. № 4. P. 1578. https://doi.org/10.1007/s00044-014-1224-5
- Kadirova Sh.A., Ishankhodzhaeva M.M., Parpiev N.A. et al. // Russ. J. Gen. Chem. 2008. V. 77. № 12. P. 2398. https://doi.org/10.1134/S1070363208120177
- Umirov F.E., Shodikulov J.M., Aslonov A.B., Sharipov S.Sh.// Obog. rud. 2023/.V. 4. P. 25. https://www.doi.org/10.17580/or.2023.04.05
- Chikineva T.Yu., Koshelev D.S., Medved`ko A.V. et al. // Russ. J. Inorg. Chem. 2021. V. 66. № 2. P. 170. https://doi.org/10.1134/S0036023621020054
- Batyrenko A.A., Mikolaichuk O.V., Ovsepyan G.K. et al. // Russ. J. Gen. Chem. 2021. V. 91. № 4. P. 666. https://doi.org/10.1134/S1070363221040149
- Li R.Y., Li Y.J., Lu X.H. et al. // Russ. J. Coord. Chem. 2020. V. 46. № 12. P. 26. https://doi.org/10.1134/S1070328420010042
- Zahoor Ayesha, Imtiaz-ud-Din, Andleeb Sohaila et al. // J. Coord. Chem. 2021. V. 74. № 12. P. 1978. https://doi.org/10.1080/00958972.2021.1945046
- Yong-Hui Zhou, Dong Jiang, You-Xuan Zheng // J. Organomet. Chem. 2018. V. 876. № 12. P. 26. https://doi.org/10.1016/j.jorganchem.2018.09.008
- Umarov B.B., Ishankhodzhaeva M.M., Khusenov K.Sh. et al. // Russ. J. Org. Chem. 1999. V. 35. № 4. P. 599.
- Uvarova M.A., Nefedov S.E. // Russ. J. Inorg. Chem. 2021. V. 66. № 11. P. 1660. https://doi.org/10.1134/S0036023621110218
- Ligin Chen, Huihui Duan, Xinyu Zhang et al. // J. Heter. Chem. 2018. V. 55. № 8. P. 1978. https://doi.org/10.1002/jhet.3238
- Abdelhakim Laachir, Salaheddine Guesmi, El Mostafa Ketatni et al. // J. Mol. Struct. 2020. V. 74. № 12. P. 1978. https://doi.org/10.1016/j.molstruc.2020.128533
- Song Ye, Ji Yu-Fei, Kang MiN-Yan, Liu Zhi-Liang // Acta Crystallogr., Sect. E. 2012. V. 68. № 5. P. 772. https://doi.org/10.1107/S1600536812020995
- Geng Ying, Zhang Wen, Song Jiang-Feng et al. // Inorg. Chim. Acta. 2021. V. 528. № 12. P. 120596. https://doi.org/10.1016/j.ica.2021.120596
- Matveev E.Yu., Novikov I.V., Kubasov A.S. et al. // Russ. J. Inorg. Chem. 2021. V. 66. № 2. P. 187. https://doi.org/10.1134/S0036023621020121
- Lavrenova L.G., Dyukova I.I., Korotaev E.V. et al. // Russ. J. Inorg. Chem. 2020. V. 65. № 1. P. 30. https://doi.org/10.1134/S0036023620010106
- Yousif Emad, Majeed Ahmed, Al-Sammarrae Khulood et al. // Arab. J. Chem. 2017. V. 10. № 5. P. 1639. https://doi.org/10.1016/j.arabjc.2013.06.006
- Kodirov S., Mukhiddinov B. et. al. // E3S Web of Conf. 2023. V. 417. P. 02010. https://doi.org/10.1051/e3sconf/202341702010
- Sargsyan S.H., Sargsyan T.S., Agadjanyan I.G. et al. // Russ. J. Gen. Chem. 2021. V. 91. № 2. P. 223. https://doi.org/10.1134/S1070363221020109
- Gaponik P.N., Ivashkevich O.A., Krasitskii V.A. et al. // Russ. J. Gen. Chem. 2002. V. 72. № 9. P. 1457. https://doi.org/10.1023/A:1021646400922
- Markosyan A.I., Ayvazyan A.S., Gabrielyan S.H. et al. // Russ. J. Gen. Chem. 2023. V. 93. № 3. P. 485. https://doi.org/10.1134/S1070363223030040
- Önkol T., Doğruer D.S., Uzun L. et al. // J. Enzyme Inhibition Med. Chem. 2008. V 23. № 2. Р. 277. https://doi.org/10.1080/14756360701408697
- Yuhang He, Jingwen Chen, Xinran Yu et al. // Russ. J. Inorg. Chem. 2022. V. 67. № 8. P. 1264. https://doi.org/10.1134/S0036023622080162
- Popov L.D., Borodkin S.A., Kiskin M.A. et al. // Russ. J. Coord. Chem. 2022. V. 48. № 1. P. 9. https://doi.org/10.1134/S1070328421110038
- Garnovskii A.D., Burlov A.S., Vasil’chenko I.S. et al. // Russ. J. Coord. Chem. 2010. V. 36. № 2. P. 81. https://doi.org/10.1134/S1070328410020016
- Khusenov K.Sh., Umarov B.B., Ishankhodzhaeva M.M. et al. // Russ. J. Coord. Chem. 1997. V. 23. № 8. P. 555.
- Ishankhodzhaeva M.M., Khusenov K.Sh., Umarov B.B. et al. // Russ. J. Inorg. Chem. 1998. V. 43. № 11. P. 1709.
- Khusenov K.Sh., Umarov B.B., Ishankhodzhaeva M.M. et al. // Russ. J. Inorg. Chem. 1998. V. 43. № 12. P. 1841.
- Rigaku Oxford Diffraction. CrysAlisPRO; Yarnton: England, 2018. Search in Google Scholar
- Sheldrick G.M. SADABS. Program for Scaling and Correction of Area Detector Data (Univ. of Göttingen, Göttingen, Germany, 1997).
- Sheldrick G.M. // Acta Crystallogr., Sect. C. 2015. V. 71. № 1. P. 3. https://doi.org/10.1107/s2053229614024218
- Накомото К. ИК-спектры и спектры КР неорганических и координационных соединений. Пер. с англ. M.: Мир, 1991. 536 с.
- Kadirova Sh.A., Nuralieva G.A., Alieva M.A. et al. // Russ. J. Gen. Chem. 2005. V. 75. № 12. P. 1962. https://doi.org/10.1007/s11176-006-0022-2
- Данилова Е.А., Меленчук Т.В., Трухина О.Н. и др. // Макрогетероциклы/Macroheterocycles. 2010. V. 1. № 3. С. 68. https://doi.org/10.6060/mhc2010.1.68
- Umarov B.B., Avezov K.G., Tursunov M.A. et. al. // Russ. J. Coord. Chem. 2014. V. 40. № 7. P. 473. https://doi.org/10.1134/S1070328414070094
- Киперт Д. Неорганическая стереохимия. М.: Мир, 1975. 280 с.
- Хусенов К.Ш., Алиев Т.Б., Бахронова О.Ж. // Int. J. Adv. Technol. Natural Sci. 2022. V. 3. № 4. С. 25. https://doi.org/10.24412/2181-144X-2022-4-25-35
- Beatriz C., Verónica G., Ana E. Platero-Prats et al. // Dalton Trans. Royal Soc. Chem. 2008. P. 2832. https://doi.org/ 10.1039/b801115j
- Lynch D.E. // Acta Crystallogr., Sect. C. 2001. V. 57. Р. 1201. https://doi.org/10.1107/S0108270105040126
- Kadirova Sh.A., Ishankhodzhaeva M.M., Parpiev N.A. et al. // Russ. J. Gen. Chem. 2007. V. 77. № 10. P. 1799. https://doi.org/10.1134/S1070363207100210
Дополнительные файлы









