Preparation of strontium hexaferrite based materials by solution combustion: the effect of charges arising in precursors and an external magnetic field
- Authors: Ostroushko A.A.1, Gagarin I.D.1, Kudyukov E.V.1, Zhulanova T.Y.1, Permyakova A.E.1, Russkikh O.V.1
-
Affiliations:
- Ural Federal University
- Issue: Vol 69, No 2 (2024)
- Pages: 143-154
- Section: СИНТЕЗ И СВОЙСТВА НЕОРГАНИЧЕСКИХ СОЕДИНЕНИЙ
- URL: https://bakhtiniada.ru/0044-457X/article/view/260458
- DOI: https://doi.org/10.31857/S0044457X24020013
- EDN: https://elibrary.ru/ZIOKGY
- ID: 260458
Cite item
Full Text
Abstract
The formation of electric charges during the synthesis of complex oxide materials based on strontium hexaferrite SrFe12O19, including doped with lanthanum and cobalt ions, via the combustion of nitrate-organic precursors has been established. Precursors included polyvinyl alcohol or glycine as organic component. The intensity of charge generation was lower for precursors containing a larger amount of organic component. Data on the magnetic characteristics of the samples were obtained: magnetization, coercive force. The influence of an external magnetic field during the synthesis of hexaferrites significantly affected the coercive force of the samples and allowed to increase its values due to the formation of extended ensembles of nanoparticles. At the same time, such an effect on samples with a relatively low level of charge generation during precursor combustion was more effective. The relationship between the factors influencing the formation of extended aggregates is analyzed. The Sr0.8La0.2Fe11.8Co0.2O19 samples had the maximum coercive force. One of the techniques for increasing the coercive force is a two-stage thermomagnetic treatment, including a low-temperature stage. The formation of branched extended structures at the macro- and micro-levels was found during the combustion of glycine-containing precursors.
Full Text
ВВЕДЕНИЕ
Широко используемые в различных областях техники и в быту материалы на основе гексаферритов со структурой типа магнетоплюмбита в ряде случаев получают с использованием в качестве исходных реагентов солевых форм, наиболее часто — нитратов соответствующих металлов [1]. Методы синтеза гексаферритов, к которым относятся сложные оксиды, содержащие барий, стронций, различные допирующие добавки, а также других материалов, обладающих магнитными свойствами, включают соосаждение, гидротермальные процессы и др. [2–5]. Синтез проводят и под воздействием магнитного поля [6]. Одним из распространенных методов получения гексаферритов и других типов сложных оксидов является Solution Combustion Synthesis [7–20] (горение нитрат-органических прекурсоров). Этот метод позволяет изготавливать наноразмерные порошки различных оксидных магнитных материалов, которые применяются не только в электронной технике и катализе, но и в биомедицинской промышленности в качестве носителей биологически активных веществ, компонентов бактерицидных сред, контрастных препаратов для диагностики. На базе наноструктурированных ферритовых материалов получают магнитореологические жидкости, в которых под воздействием внешнего магнитного поля возникают агрегаты частиц.
Как показывают исследования в области синтеза сложнооксидных материалов, при горении прекурсоров в них могут возникать электрические заряды высокой плотности [21–24] за счет уноса в газовую среду заряженных (ионизированных) молекулярных группировок. К таким частицам относятся ионизированные молекулы воды, ассоциированные с дополнительным электроном, карбонатоподобные группировки [25, 26]. В таком случае прекурсор приобретает противоположный положительный заряд [21–24, 27]. Если в газовую среду уносятся преимущественно молекулы оксида азота NO, то формируется отрицательный заряд прекурсора [21–24, 27, 28], так как молекулы оксида азота достаточно легко ионизируются, образуя NO+, отдавая электрон частицам прекурсора. Для создания вполне ощутимых зарядов достаточно возникновения одной ионизированной частицы на 105–106 выделяющихся молекул газообразных продуктов горения [27]. Исследования процессов синтеза сложных оксидов в реакциях горения [21, 23] указывают на возможность управления интенсивностью генерирования зарядов за счет выбора органического компонента прекурсоров, что связано с составом выделяющихся газов, наличием в них ионизированных молекулярных частиц, их количеством и природой. Так, в частности, использование поливинилового спирта приводит к значительно более интенсивному генерированию зарядов по сравнению с глицином [21]. При этом изменение соотношения органической и нитратной составляющих исходной композиции также влияет на интенсивность формирования зарядов в прекурсорах [21], как и некоторые другие факторы [22]: состав окружающей газовой среды, свойства носителя прекурсора и др. В качестве критерия интенсивности генерирования зарядов используется измерение разности потенциалов земля–прекурсор, которая достигает сотен вольт. Интенсивность образования зарядов связана с лабильностью степени окисления переходных металлов в составе получаемого сложного оксида [22], на нее также влияют внешние поля [21–23]. Так, переменное электромагнитное поле облегчает эмиссию электронов образующимися в ходе горения наночастицами и смещает разность потенциалов земля–прекурсор в положительную сторону. Таким образом, процесс генерирования зарядов представляется управляемым, в том числе за счет выбора состава прекурсоров с различной степенью генерирования зарядов.
При синтезе в реакциях горения гексаферритов имеются все предпосылки для возникновения зарядов, что необходимо исследовать экспериментально. Наряду с этим представляет интерес изучение влияния внешнего магнитного поля на свойства синтезируемых материалов с учетом генерирования зарядов в прекурсорах.
Целью настоящей работы являлось установление закономерностей совместного влияния на формирование и магнитные характеристики материалов на основе гексаферрита стронция со структурой магнетоплюмбита, воздействия внешнего магнитного поля и процессов генерирования зарядов при синтезе в реакциях горения нитрат-органических прекурсоров.
ЭКСПЕРИМЕНТАЛЬНАЯ ЧАСТЬ
Методом растворного горения были синтезированы сложнооксидные материалы на основе гексаферрита стронция состава SrFe12O19 и Sr0.8La0.2Fe11.8Co0.2O19. Для приготовления нитрат-органических прекурсоров применяли следующие неорганические вещества квалификации не ниже “ч. д. а.”: нитрат стронция Sr(NO3)2; нитрат железа(III) нонагидрат Fe(NO3)3 . 9H2O; нитрат лантана(III) гексагидрат La(NO3)3 . 6H2O; нитрат кобальта(II) гексагидрат Co(NO3)2 . 6H2O. В качестве органических компонентов использовали поливиниловый спирт (ПВС) среднемолекулярный с вязкостью 4%-ного водного раствора при комнатной температуре 11 сПз и содержанием остаточных ацетатных групп не более 2%; поливинилпирролидон (ПВП) производства Sigma-Aldrich, CAS 9003-39-8; глицин квалификации “х. ч.”.
Для приготовления прекурсоров отдельно готовили два рабочих раствора в дистиллированной воде, содержащих нитраты соответствующих металлов и органический компонент. Растворы полимерных компонентов (концентрация ПВС или ПВП 5 или 10 мас. % соответственно) готовили при нагревании на водяной бане. При смешивании двух растворов количественные пропорции задавали в соответствии со стехиометрией реакции горения нитратов с образованием в качестве газообразных продуктов азота, диоксида углерода и воды [29]. Полученный рабочий раствор разливали на инертные подложки, в дальнейшем испарение воды (сушка) происходило при комнатной температуре, данный процесс занимал до 7 сут, в результате чего были получены прекурсоры в виде пленок, содержащие стехиометрическое количество органического компонента (φ = 1) или его двукратный избыток (φ = 2). Сжигание прекурсоров проводили в фарфоровых чашках с использованием спиртовки для инициации процесса горения. Состав газообразных продуктов горения, в частности концентрацию оксида азота NO и монооксида углерода СО, определяли на газовом анализаторе Testo 350 XL (Testo, Германия).
Для изучения процесса генерирования зарядов в ходе горения прекурсоров в композицию вводили электрод из инертного материала, связанный с металлическим экраном, на котором проводили измерения разности потенциалов земля–прекурсор с использованием измерителя параметров электростатического поля ИПЭП-1 (МНИПИ, Республика Беларусь). Калибровку осуществляли по источнику постоянного тока Б5-46 (Приборэлектро, Российская Федерация).
Окончательную термообработку полученных порошков проводили в одну или две стадии. Одностадийный отжиг осуществляли при температуре 650°С в течение 48 ч. При двустадийной термообработке порошки вначале отжигали в течение 48 ч, выбирая температуру в интервале от 250 до 500°С с шагом 50°С, а затем при 900°С в течение 4 ч.
Рентгенофазовый анализ образцов выполняли на дифрактометре D8 Advance (Bruker, Германия) в CuKα-излучении (λ = 1.5418 Å). Съемку рентгенограмм проводили в интервале углов 20° ≤ 2è ≤ 80° с шагом 0.04° и выдержкой 1 с в точке. Идентификацию фаз осуществляли при помощи программных пакетов Fpeak и MATCH! Электронно-микроскопические исследования проводили на рабочей станции AURIGA CrossBeam (Carl Zeiss NTS, Германия). Управление, контроль работы и анализ полученных данных осуществляли с использованием программного пакета Analysis Station, AURIGA series, Version 3.7. Гранулометрический состав полученных порошков определяли методом лазерной дифракции на анализаторе дисперсности SALD-7101 (Shimadzu, Япония). Измерения гистерезисных характеристик (намагниченность насыщения и коэрцитивная сила) компактизированных образцов проводили на вибрационном магнитометре LakeShore VSM 7407 (Lake Shore Cryotronics, США). Для получения компактов исследуемые порошки подвергали давлению 4 т на 1 см2 с помощью гидравлического пресса PLG20 (ЛабТулс, Российская Федерация).
РЕЗУЛЬТАТЫ И ОБСУЖДЕНИЕ
Проведенные эксперименты позволили установить, что в процессе горения прекурсоров, содержащих ПВС, и синтеза гексаферрита стронция SrFe12O19 происходит ощутимое генерирование электрических зарядов. Результаты измерения разности потенциалов земля–прекурсор приведены в табл. 1. Как в случае базового состава, так и при введении допантов в подрешетки железа и стронция или в обе позиции одновременно наблюдали тенденцию к снижению интенсивности генерирования зарядов с увеличением относительного количества ПВС в исходной композиции. Для образцов, синтезированных из прекурсоров, содержащих глицин, генерирование зарядов не носит интенсивного характера. Хотя можно отметить, что при увеличении количества глицина в композиции происходит некоторое снижение положительных зарядов и даже смещение в область отрицательных значений разности потенциалов земля–прекурсор. Помимо прочего, это объясняется общим увеличением содержания азота в прекурсоре и возрастанием количества выделяющегося при горении оксида азота NO. Концентрация оксида азота в газах горения составляла 2800 ppm при φ = 1 и уже 3400 ppm при φ = 2. Для сравнения у прекурсоров с ПВС и φ = 1 эта величина не превышала 100 ppm. На основании сказанного выше прекурсоры можно условно разделить на две группы с малой и относительно высокой интенсивностью генерирования зарядов, возникающих в процессе их горения.
Таблица 1. Генерируемые в ходе горения нитрат-органических прекурсоров заряды (разность потенциалов земля–прекурсор)
№ | Состав сложного оксида | Органический компонент | φ | dUmax, В |
1 | SrFe12O19 | ПВС | 1 | 53 |
2 | SrFe12O19 | ПВС | 2 | 4 |
3 | SrFe12O19 | Глицин | 1 | 3 |
4 | SrFe12O19 | Глицин | 2 | 0 |
5 | Sr0.8La0.2Fe12O19 | ПВС | 1 | 69 |
6 | Sr0.8La0.2Fe12O19 | ПВС | 2 | 6 |
7 | SrFe11.8Co0.2O19 | ПВС | 1 | 54 |
8 | SrFe11.8Co0.2O19 | ПВС | 2 | 11 |
9 | Sr0.8La0.2Fe11.8Co0.2O19 | ПВС | 1 | 17 |
10 | Sr0.8La0.2Fe11.8Co0.2O19 | ПВС | 2 | 11 |
11 | Sr0.8La0.2Fe11.8Co0.2O19 | Глицин | 1 | 6 |
12 | Sr0.8La0.2Fe11.8Co0.2O19 | Глицин | 2 | –4 |
Несмотря на способность ионов железа достаточно легко изменять степень окисления в нитрат-органических композициях [29], уровень генерирования зарядов в сходных системах с ПВС ниже, чем при синтезе таких сложных оксидов, как манганит лантана [21, 22]. Этот аспект, по-видимому, можно объяснить, по крайней мере частично, следующими факторами. Получаемые в ходе горения порошки гексаферрита, а также промежуточные соединения, такие как магнетит или маггемит, имеют относительно высокую температуру Кюри. Поэтому они могут обладать магнитными свойствами практически уже в ходе горения. Существует так называемый магнитно-газоселективный эффект или аналогичное явление в жидких средах [30–34], который проявляется в выталкивании диамагнитных молекул (азот и др.) из магнитного поля, создаваемого твердой фазой, и удерживании парамагнитных молекул (например, кислорода). Обнаружено, что при синтезе гексаферритов главным образом генерируются заряды положительного знака за счет удаления молекулярных группировок, ионизированных эмитируемыми электронами. К таковым относятся парамагнитные группировки типа H2O–, CO3– [25–27]. Удаление подобных отрицательно заряженных частиц затрудняется, что и приводит к наблюдаемому снижению уровня зарядов. Кроме того, следует ожидать облегчения выноса из зоны горения ионизированных диамагнитных частиц типа NO+, который способствует снижению значения положительных зарядов в прекурсорах и переходу их в отрицательную область. При этом и сама молекула оксида азота NO относится к диамагнитным. Аналогичным образом должно действовать и прикладываемое внешнее магнитное поле. Эксперименты с измерением генерируемой разности потенциалов земля–прекурсор, проведенные в постоянном магнитном поле напряженностью 3 кЭ и в его отсутствие, показали, что положительные значения dU (табл. 1) при синтезе SrFe12O19 действительно переходят в отрицательную область. Интересно, что для обоих типов прекурсоров (с ПВС и глицином) величина dU в поле составляет порядка –8–10 В, т.е. детерминирована именно его наличием.
Хорошо известно, что характеристики материалов, обладающих магнитными свойствами, чувствительны к размеру и морфологии частиц, характеру их агрегирования, фазовому составу и другим факторам, связанным с формированием этих материалов. При использовании метода растворного горения возможно варьирование температуры, развивающейся в прекурсорах, различающихся по своему составу (природа органического компонента и его количество). Это может приводить, например, к различию размеров частиц, фазового состава, которое чаще нивелируется в ходе дальнейшей термообработки материалов при более высоких температурах. Тем не менее предыстория получаемых материалов существенно влияет на их конечные свойства, в том числе и воздействие генерируемых зарядов, внешнего магнитного поля. В настоящей работе с учетом многофакторной зависимости магнитных свойств предпринята попытка установить направленность влияния двух последних факторов как на эволюцию материалов и их свойств, так и на конечный результат синтеза. При этом наиболее четко закономерности прослеживаются в тех случаях, когда близкими являются размеры частиц образцов и их фазовый состав, тогда как суперпозиция воздействия генерируемых зарядов и внешнего поля максимально влияет, например, на текстуру (характер агрегирования) материала.
Подтверждением наличия фазы гексаферрита, образовавшейся в ходе горения прекурсоров с ПВС, служат результаты анализа рентгеновских дифрактограмм (рис. 1). После отжига образцов в течение 48 ч при 650°С фаза гексаферрита представляется в достаточной мере сформированной. Этот факт говорит о продуктивности выбранных условий синтеза, позволивших при невысокой температуре термообработки получить необходимый продукт синтеза. В качестве примесных (промежуточных) фаз в образцах для синтеза гексаферрита помимо Fe2O3 и Fe3O4 наблюдали также и Sr4Fe6O13. В более сложной системе гексаферрита стронция, допированного лантаном и кобальтом, на дифрактограммах также присутствовали дополнительные рефлексы, которые можно отнести к таким сложным оксидам, как LaFeO3, и твердым растворам на его основе La1–хSrхFeO3±у и CoFe2O4 в зависимости от состава исходного прекурсора. Кроме того, возможно существование в полученных продуктах сложнооксидных фаз, содержащих стронций и кобальт. Имеются рефлексы, которые могут быть отнесены, в частности, к соединению SrCoO2.29, описываемому в картотеке базы данных “MATCH!”. Наличие значительного количества оксида железа и возникновение промежуточных фаз ферритов понятно, учитывая крайнее положение состава гексаферрита на фазовой диаграмме оксид железа–оксид стронция, где имеются ферриты разного состава [35]. Магнитные гистерезисные характеристики полученных образцов после отжига в течение 48 ч при 650°С приведены в табл. 2.
Рис. 1. Рентгеновские дифрактограммы образцов валового состава SrFe12O19 (термическая обработка при 650°С в течение 48 ч), полученных из нитрат-органических прекурсоров следующего состава (φ = 1): 1 — ПВП; 2 — ПВС; 3 — глицин.
Таблица 2. Магнитные характеристики полученных образцов SrFe12O19
№* | MS (77 K), Гс см3/г | MS (300 K), Гс см3/г | MR (77 K), Гс см3/г | MR (300 K), Гс см3/г | MR /MS (77 K) | MR /MS (300 K) | Hc (77 K), Э | Hc (300 K), Э |
1 | 63.0 | 45.8 | 33.8 | 24.6 | 0.53 | 0.53 | 5070 | 5520 |
2 | 70.9 | 50.3 | 38.6 | 27.5 | 0.54 | 0.55 | 4190 | 4800 |
3 | 77.4 | 54.9 | 42.3 | 30.2 | 0.55 | 0.55 | 4640 | 5230 |
4 | 92.4 | 66.0 | 49.0 | 35.0 | 0.53 | 0.53 | 5130 | 5700 |
*Синтез в системе с глицином (1 — φ = 1; 2 — φ = 2), с ПВС (3 — φ = 1; 4 — φ = 2).
Учитывая возможность частичного получения гексаферрита непосредственно в реакциях горения прекурсоров и дальнейшего формирования его структуры при отжиге, можно попытаться найти рациональные приемы воздействия на эти процессы. Рассмотрим полученные результаты, связанные с влиянием внешнего магнитного поля на формирование магнитных характеристик гексаферритов. Для удобства рассмотрим систему нитраты–поливиниловый спирт с разным соотношением компонентов, поскольку условия синтеза, включая состав выделяющихся газов, для них близки. При этом генерируемые заряды существенно отличаются.
Проведение различных стадий термообработки порошков, полученных в реакциях горения, в постоянном магнитном поле напряженностью до 10 кЭ оказывало довольно слабое влияние на максимальные значения намагниченности полученных образцов, это видно после проведения одностадийного отжига материалов (рис. 2). По-видимому, магнитная структура отдельных частиц гексаферрита формируется достаточным образом для получения максимальных значений намагниченности уже при обычной термообработке без поля. Измеренные параметры близки к достигнутым в ходе термообработки в течение 48 ч при 650°С. Однако на значение коэрцитивной силы использование при термообработке магнитного поля оказывало существенное воздействие. В ходе исследований была применена двухступенчатая термообработка, при этом первую (низкотемпературную) обработку осуществляли при температуре в интервале 250–500°С, а вторую — при 900°С (4 ч). Температура 900°С была выбрана исходя из достижения при ней максимальной коэрцитивной силы в ходе одностадийного отжига. На рис. 3 приведены ясно видимые зависимости коэрцитивной силы образцов SrFe12O19 (синтез при φ = 1) от напряженности приложенного поля (температура первого отжига 400°С) и от температуры для значений напряженности поля 3 и 10 кЭ. Следовательно, низкотемпературная стадия термообработки при приложении магнитного поля оказывает значимое позитивное влияние на величину коэрцитивной силы. Видно также, что воздействие магнитного поля на коэрцитивную силу образцов оказывается более эффективным при более низких зарядах, генерируемых в ходе горения прекурсоров.
Рис. 2. Значения коэрцитивной силы Hc (а) и остаточной удельной намагниченности MR (б) для образцов SrFe12O19 при разной температуре отжига.
Рис. 3. Коэрцитивная сила образцов SrFe12O19 в зависимости от приложенного магнитного поля (а) и температуры промежуточного отжига (б) при напряженности поля 3 (1) и 10 кЭ (2).
Для образцов, полученных из прекурсоров с разным количеством ПВС, имеющих различный уровень зарядов, магнитные характеристики отличаются (рис. 4).
Рис. 4. Коэрцитивная сила образцов, синтезированных при разном количестве ПВС (φ = 1 — кривая 1; φ = 2 — кривая 2).
Одной из главных причин установленного в настоящей работе влияния обработки в магнитном поле на коэрцитивную силу образцов может быть возможность образования в полученном материале протяженных ансамблей наночастиц, например цепочечных. В литературе известны примеры целенаправленного создания таких агрегатов [36]. В случае синтеза гексаферритов в реакциях горения и при их низкотемпературной термообработке необходимо учитывать сведения о генерировании зарядов в прекурсорах, которые мы изложили выше. Возникающие заряды приводят к взаимному отталкиванию наночастиц. Однако на эти частицы действуют и силы магнитного притяжения друг к другу вследствие наличия остаточной намагниченности. Важным моментом является то, что синтез и низкотемпературная обработка происходят большей частью ниже температуры Кюри гексаферрита стронция. Можно предположить, что оптимальная для формирования цепочек наночастиц суперпозиция сил притяжения и отталкивания возникает при наличии среднего по интенсивности генерирования зарядов. Слишком интенсивное образование зарядов может подавлять формирование агрегатов, а при низких зарядах будет происходить, скорее всего, объемное агрегирование. Различные варианты взаимодействия наночастиц гексаферрита стронция можно проиллюстрировать соответствующими электронными микрофотографиями (рис. 5).
Рис. 5. Объемное агрегирование наночастиц SrFe12O19 (а), возникновение протяженных агрегатов наночастиц (б, в), в значительной мере дезагрегированные частицы (г).
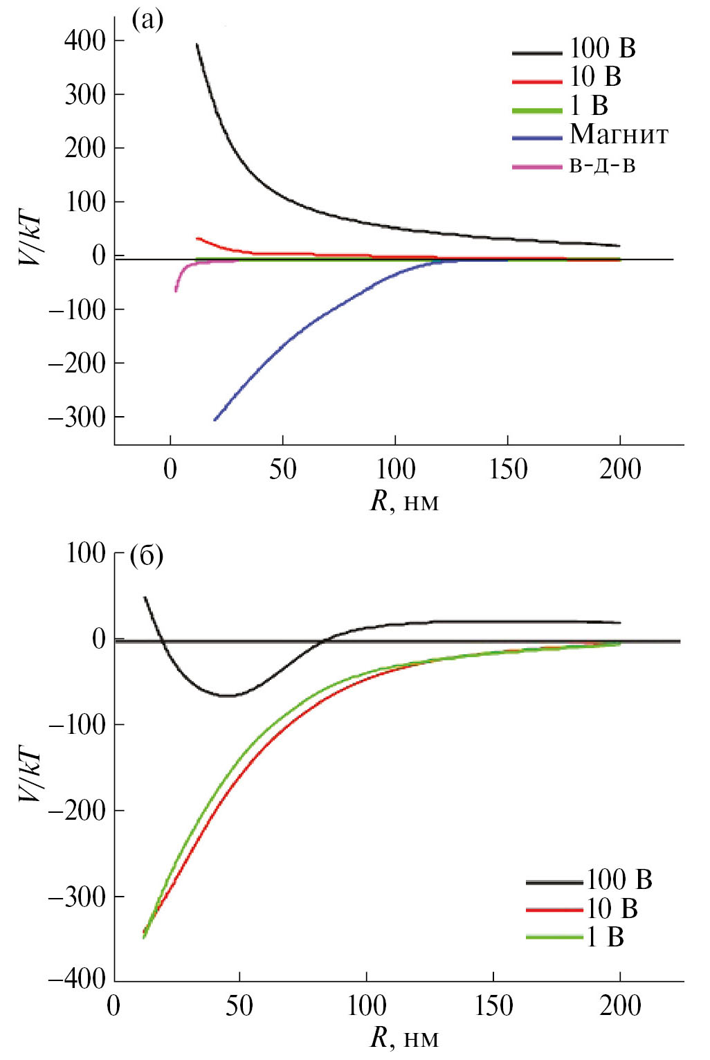
Наглядно суперпозицию взаимного электростатического отталкивания и магнитного притяжения наночастиц гексаферрита можно представить при помощи схематической модели условных потенциалов взаимодействия двух таких частиц на разных расстояниях друг от друга (рис. 6). Такое представление может характеризовать способность к агрегированию частиц хотя бы на первой стадии этого процесса. Аналогичным образом выглядит упрощенная схема взаимодействия частиц феррогелей [37], оценочно потенциалы вычисляют по соответствующим уравнениям исходя из характеристик таких частиц, в том числе рассматривают и ван-дер-ваальсовы силы, хотя они в данном случае могут вносить лишь небольшой вклад в общую суперпозицию. Помимо упрощенных моделей суперпозиции сил взаимодействия частиц могут быть использованы и более сложные варианты [37–42]. Одним из важных моментов при синтезе наноразмерных сложнооксидных материалов в реакциях горения и рассмотрении их взаимодействия следует признать относительную стабильность размеров частиц, детерминированную условиями роста в протекающих реакциях [43, 44]. В полученных образцах частицы имели микронные размеры в пределах 0.25–3 мкм (рис. 5, 7), образуя агрегаты до 30 мкм, согласно результатам измерений, проведенных методом лазерной дифракции.
Рис. 6. Потенциалы взаимодействия наночастиц (а), кривые сверху вниз: электростатическое отталкивание при зарядах на прекурсоре, эквивалентных 1, 10, 100 В соответственно; магнитное взаимодействие, ван-дерваальсовы силы; результирующие кривые для этих же значений зарядов (б): сверху вниз — 100, 10 и 1 В.
Рис. 7. Электронные микрофотографии образцов гексаферрита стронция, полученных из прекурсоров, содержащих глицин: а, б, в — внешний вид ягелеподобной структуры; г — то же на срезе; д — внутренняя часть “волокна”.
Схема потенциалов взаимодействия частиц при разной интенсивности генерирования зарядов также приведена на рис. 6. Полученные результирующие значения потенциалов взаимодействия частиц для образцов с разной интенсивностью генерирования зарядов указывают на возможность образования протяженных агрегатов частиц при средней интенсивности. Магнитные гистерезисные характеристики образцов (табл. 2) также подтверждают вышесказанное. По крайней мере, коэрцитивная сила была более высокой для образцов с меньшей интенсивностью образования зарядов. Это наблюдалось как для образцов, полученных с ПВС (большее его содержание), так и при реализации глицин-нитратного синтеза.
Введение в состав гексаферрита стронция ионов лантана и кобальта позволило получить состав Sr0.8La0.2Fe11.8Co0.2O19, имеющий высокие значения коэрцитивной силы (табл. 3). Из данных таблицы видно, что высокотемпературная термообработка образцов приводит к снижению их коэрцитивной силы, по-видимому, вследствие спекания, компактизации и утраты имевшихся цепочечных кластеров. Намагниченность насыщения при 300 K для полученных образцов достигает максимального значения 50.5 эме/г, соотношение MR /MS = 0.65. Для сравнения максимальное значение HC для состава SrFe12O19 составляет 6.3 кЭ, а намагниченность при 300 K — до 55 эме/г при соотношении MR /MS до 0.55. Достигнутая коэрцитивная сила образцов гексаферрита, допированного ионами лантана и кобальта, выше таковой для относительно чистого гексаферрита. При этом некоторое снижение значений намагниченности, по сравнению с недопированным составом, может быть связано с введением ионов кобальта в октаэдрическую подрешетку железа структуры магнетоплюмбита.
Таблица 3. Магнитные характеристики образцов Sr0.8La0.2Fe11.8Co0.2O19
Температура отжига, °C | Hc, кЭ | Остаточная намагниченность, Гс см3/г |
1000 | 7.1 | 31.2 |
1100 | 6.7 | 33.1 |
1200 | 5.2 | 33.1 |
650 (48 ч) | 4.8 | 27.0 |
Следует также отметить достаточно интересную тенденцию в образовании текстуры материала, обнаруженную в ходе горения прекурсоров получения гексаферрита, содержащих глицин с соотношением φ = 1. При этом на макроскопическом уровне формируются протяженные разветвленные по типу ягеля агрегаты (рис. 7), которые содержат во внутренней полости (каналах) волокон помимо прочего длинномерные микро- и наноразмерные частицы. Такие частицы сохраняются при отжиге образцов, их формирование не подвержено в существенной мере влиянию магнитного поля. Образование этих форм может быть связано с возникновением в прекурсорах прочных железо-глициновых комплексов, которые, по-видимому, способны пространственно ориентироваться в растворах и в ходе пиролитического синтеза твердой фазы. С другой стороны, формированию протяженных частиц, прилегающих к внутренней части полости, может способствовать более низкий химический потенциал компонентов на ее вогнутой поверхности по сравнению с внешней выпуклой образующей “волокон”. Аналогичным образом может происходить формирование минералов. На внешней поверхности наблюдали кристаллографически оформленные частицы. Обнаруженное явление при синтезе сложнооксидных материалов заслуживает более подробного изучения.
ЗАКЛЮЧЕНИЕ
В ходе синтеза сложнооксидных материалов на основе гексаферрита стронция в реакциях горения нитрат-органических прекурсоров на формирование магнитных характеристик (коэрцитивная сила, намагниченность) способно влиять взаимодействие таких факторов, как генерирование зарядов в прекурсорах, воздействие внешнего магнитного поля. Генерирование зарядов определяется образованием и уносом в газовую среду ионизированных молекулярных группировок. Процессом генерирования зарядов можно управлять, например, путем целенаправленного выбора состава прекурсоров (природа и количество органического компонента). Воздействие на генерирование зарядов может оказывать также магнитно-газоселективный эффект, связанный с наличием магнитных свойств получаемого материала и влияющий на способность парамагнитных или диамагнитных ионизированных молекулярных группировок покидать зону реакции. В изученных реакциях горения вышеназванный эффект приводил к снижению наблюдаемых значений положительных зарядов прекурсоров (разности потенциалов земля–прекурсор). При синтезе образцов гексаферрита стронция из прекурсоров, содержащих глицин, обнаружено формирование разветвленной волокнистой текстуры на макро- и микроуровне.
При получении гексаферрита стронция варьированием условий синтеза и термомагнитной обработки существенным образом удается повысить коэрцитивную силу получаемых материалов. Это является важным моментом в плане практического использования метода Solution Combustion Synthesis, в том числе и для получения других магнитных материалов. Согласно результатам исследований, позитивное влияние на повышение коэрцитивной силы образцов оказывает образование наночастицами сложного оксида агрегатов цепочечного типа. Подходящим условием для этого при воздействии магнитного поля является возникновение в прекурсорах электрических зарядов относительно небольшой интенсивности. Указанный аспект связан с суперпозицией двух факторов, а именно — взаимным электростатическим отталкиванием наночастиц и магнитным взаимодействием между ними. Проведено оценочное сопоставление потенциалов взаимодействия наночастиц (магнитного и электростатического) при различной интенсивности генерирования зарядов. В отсутствие зарядов магнитное взаимодействие может приводить к интенсивному агрегированию частиц, а при высоком уровне генерирования зарядов — к разобщению наночастиц. В обоих случаях вероятность образования цепочечных структур существенно снижается. В результате исследований, в том числе с применением двухступенчатой термообработки, были получены высококоэрцитивные образцы гексаферрита SrFe12O19, а также Sr0.8La0.2Fe11.8Co0.2O19 с еще более высокими значениями коэрцитивной силы.
Благодарность
Авторы благодарят Н.В. Кудреватых, А.Е. Удилова, С.В. Андреева за содействие при проведении магнитных измерений, И.Г. Григорова — за помощь в проведении электронно-микроскопических исследований. Изучение полученных образцов проводили с использованием оборудования Уральского центра коллективного пользования “Современные нанотехнологии”.
Финансирование работы
Исследования выполнены при финансовой поддержке Российского научного фонда (грант № 22-23-00718).
КОНФЛИКТ ИНТЕРЕСОВ
Авторы заявляют, что у них нет конфликта интересов.
About the authors
A. A. Ostroushko
Ural Federal University
Author for correspondence.
Email: alexander.ostroushko@urfu.ru
Russian Federation, Yekaterinburg, 620002
I. D. Gagarin
Ural Federal University
Email: alexander.ostroushko@urfu.ru
Russian Federation, Yekaterinburg, 620002
E. V. Kudyukov
Ural Federal University
Email: alexander.ostroushko@urfu.ru
Russian Federation, Yekaterinburg, 620002
T. Yu. Zhulanova
Ural Federal University
Email: alexander.ostroushko@urfu.ru
Russian Federation, Yekaterinburg, 620002
A. E. Permyakova
Ural Federal University
Email: alexander.ostroushko@urfu.ru
Russian Federation, Yekaterinburg, 620002
O. V. Russkikh
Ural Federal University
Email: alexander.ostroushko@urfu.ru
Russian Federation, Yekaterinburg, 620002
References
- Luo H., Rai B.K., Mishra S.R. et al. // J. Magn. Magn. Mater. 2012. V. 324. № 17. P. 2602. https://doi.org/10.1016/j.jmmm.2012.02.106
- Korsakova A.S., Kotsikau D.A., Haiduk Y.S. et al. // Condens. Matter Interph. 2020. V. 22. № 4. P. 466. https://doi.org/10.17308/kcmf.2020.22/3076
- Zhernovoy A.I., Diachenko S.V. // Nauch. Priborost. 2016. V. 26. № 1. P. 54. https://doi.org/10.18358/np-26-1-i5457
- Liu S. // Mod. Phys. Lett. B. 2020. V. 34. № 3. P. 2050043. https://doi.org/10.1142/S0217984920500438
- Berezhnaya M.V., Al’myasheva O.V., Mittova V.O. et al. // Russ. J. Gen. Chem. 2018. V. 88. № 4. P. 626. https://doi.org/10.1134/S1070363218040035
- Wang J., Zhu Y., Chen Q. // Int. J. Mod. Phys. B. 2005. V. 19. № 12. P. 2053. https://doi.org/10.1142/S0217979205029626
- Zhernovoi A.I., Komlev A.A., D’yachenko S.V. // Tech. Phys. 2016. V. 61. № 2. P. 302. https://doi.org/10.1134/S1063784216020274
- Thomas N., Shimna T., Jithin P.V. et al. // J. Magn. Magn. Mater. 2018. V. 462. P. 136. https://doi.org/10.1016/j.jmmm.2018.05.010
- Naderi P., Masoudpanah S.M., Alamolhoda S. // Appl. Phys. A. 2017. V. 123. № 11. P. 702. https://doi.org/10.1007/s00339-017-1304-8
- Aravind G., Raghasudha M., Ravinder D. et al. // J. Magn. Magn. Mater. 2016. V. 406. P. 110. https://doi.org/10.1016/j.jmmm.2015.12.087
- Kombaiah K., Vijaya J.J., Kennedy L.J. et al. // Mater. Chem. Phys. 2019. V. 221. P. 11. https://doi.org/10.1016/j.matchemphys.2018.09.012
- Nforna E.A., Tsobnang P.K., Fomekong R.L. et al. // R. Soc. Open Sci. 2021. V. 8. № 2. P. 201883. https://doi.org/10.1098/rsos.201883
- Martinson K.D., Belyak V.E., Sakhno D.D. et al. // J. Alloys Compd. 2022. V. 894. P. 162554. https://doi.org/10.1016/j.jallcom.2021.162554
- Martinson K.D., Kondrashkova I.S., Chebanenko M.I. et al. // J. Rare Earths. 2022. V. 40. № 2. P. 296. https://doi.org/10.1016/j.jre.2021.01.001
- Martinson K.D., Sakhno D.D., Belyak V.E. et al. // Int. J. Self-Propag. High-Temp. Synth. 2020. V. 29. № 4. P. 202. https://doi.org/10.3103/S106138622004007X
- Martinson K.D., Cherepkova I.A., Panteleev I.B. et al. // Int. J. Self-Propag. High-Temp. Synth. 2019. V. 28. № 4. P. 266. https://doi.org/10.3103/S1061386219040101
- Lomanova N.A., Tomkovich M.V., Danilovich D.P. et al. // Inorg. Mater. 2020. V. 56. № 12. P. 1271. https://doi.org/10.1134/S0020168520120110
- Lomanova N.A., Tomkovich M.V., Sokolov V.V. et al. // J. Nanopart. Res. 2018. V. 20. № 2. P. 17. https://doi.org/10.1007/s11051-018-4125-6
- Lomanova N.A., Tomkovich M.V., Sokolov V.V. et al. // Russ. J. Gen. Chem. 2016. V. 86. № 10. P. 2256. https://doi.org/10.1134/S1070363216100030
- Lomanova N.A., Tomkovich M.V., Osipov A.V. et al. // Russ. J. Gen. Chem. 2019. V. 89. № 9. P. 1843. https://doi.org/10.1134/S1070363219090196
- Ostroushko A.A., Russkikh O.V., Maksimchuk T.Yu. // Ceram. Int. 2021. V. 47. № 15. P. 21905. https://doi.org/10.1016/j.ceramint.2021.04.208
- Ostroushko A.A., Maksimchuk T.Yu., Permyakova A.E. et al. // Russ. J. Inorg. Chem. 2022. V. 67. № 6. P. 799. https://doi.org/10.1134/S0036023622060171
- Ostroushko A.A., Zhulanova T.Yu., Kudyukov E.V. et al. // Phys. Chem. Aspects of the Study of Clusters, Nanostruc. Nanomater. 2022. № 14. P. 820. https://doi.org/10.26456/pcascnn/2022.14.820
- Ostroushko A.A., Russkikh O.V. // Nanosystems: Phys. Chem. Math. 2017. P. 476. https://doi.org/10.17586/2220-8054-2017-8-4-476-502
- Отрицательные ионы / Пер. с англ. под ред. Мейлихова Е.З., Радцига А.А. c предисл. Смирнова Б.М. М.: Мир, 1979.
- Смирнов Б.М. Отрицательные ионы. М.: Атомиздат, 1978.
- Ostroushko A.A., Sennikov M.Yu. // Russ. J. Inorg. Chem. 2005. V. 50. № 6. P. 933. http://www.scopus.com/inward/record.url?scp = 23844539057&partnerID = 8YFLogxK
- Ostroushko A.A., Sennikov M.Yu. // Russ. J. Inorg. Chem. 2008. V. 53. № 8. P. 1172. https://doi.org/10.1134/S0036023608080032
- Ostroushko A.A. // Inorg. Mater. 2004. V. 40. № 3. P. 259. https://doi.org/10.1023/B:INMA.0000020524.35838.de
- Yao G., Wang F., Wang X. et al. // Energy. 2010. V. 35. № 5. P. 2295. https://doi.org/10.1016/j.energy.2010.02.017
- Wang D., Pan J., Zhu D. et al. // Sci. Total Environ. 2022. V. 830. P. 154712. https://doi.org/10.1016/j.scitotenv.2022.154712
- Xie Y., Wang M., Wang X. et al. // J. Clean. Prod. 2022. V. 337. P. 130549. https://doi.org/10.1016/j.jclepro.2022.130549
- Никитин В.А. Лекции по теплотехнике. Оренбург: ОГУ, 2011.
- Cai Y., Zou H., Qu G. et al. // Environ. Technol. Innov. 2022. V. 28. P. 102958. https://doi.org/10.1016/j.eti.2022.102958
- Fossdal A., Einarsrud M.-A., Grande T. // J. Solid State Chem. 2004. V. 177. № 8. P. 2933. https://doi.org/10.1016/j.jssc.2004.05.007
- Gubin S.P., Koksharov Y.A., Khomutov G.B. et al. // Russ. Chem. Rev. 2005. V. 74. № 6. P. 489. https://doi.org/10.1070/RC2005v074n06ABEH000897
- Shankar A., Safronov A.P., Mikhnevich E.A. et al. // Soft Matter. 2017. V. 13. № 18. P. 3359. https://doi.org/10.1039/C7SM00534B
- Walker D.A., Kowalczyk B., De La Cruz M.O. et al. // Nanoscale. 2011. V. 3. № 4. P. 1316. https://doi.org/10.1039/C0NR00698J
- Skomski R. // J. Phys.: Condens. Matter. 2003. V. 15. № 20. P. R841. https://doi.org/10.1088/0953-8984/15/20/202
- Ivanov A.O., Zubarev A. // Materials. 2020. V. 13. № 18. P. 3956. https://doi.org/10.3390/ma13183956
- Mikhnevich E.A., Chebotkova P.D., Safronov A.P. // Inorg. Mater. Appl. Res. 2020. V. 11. № 4. P. 855. https://doi.org/10.1134/S2075113320040267
- Kantorovich S.S., Ivanov A.O., Rovigatti L. et al. // Phys. Chem. Chem. Phys. 2015. V. 17. № 25. P. 16601. https://doi.org/10.1039/C5CP01558H
- Almjasheva O.V., Popkov V.I., Proskurina O.V. et al. // Nanosystems: Phys. Chem. Math. 2022. V. 13. № 2. P. 164. https://doi.org/10.17586/2220-8054-2022-13-2-164-180
- Almjasheva O.V., Lomanova N.A., Popkov V.I. et al. // Nanosystems: Phys. Chem. Math. 2019. V. 10. № 4. P. 428. https://doi.org/10.17586/2220-8054-2019-10-4-428-437
Supplementary files









