Coordination reaction of manganese(III)porphyrins with pyridine as model to obtain the donor-acceptor dyads with fullerene acceptors
- Authors: Ovchenkova E.N.1, Elkhovikova A.A.2, Lomova T.N.1
-
Affiliations:
- Krestov Institute of Solution Chemistry of the Russian Academy of Sciences
- Ivanovo State University of Chemical Technology
- Issue: Vol 69, No 1 (2024)
- Pages: 25-32
- Section: КООРДИНАЦИОННЫЕ СОЕДИНЕНИЯ
- URL: https://bakhtiniada.ru/0044-457X/article/view/257560
- DOI: https://doi.org/10.31857/S0044457X24010032
- EDN: https://elibrary.ru/ZZWBDY
- ID: 257560
Cite item
Full Text
Abstract
In connection with the use of the pyridyl group as the bridge in the coordination of metalloporphyrins with fullerene acceptors to obtain the photoinduced electron transfer donor-acceptor systems, the study of coordination of unsubstituted pyridine molecules and the determination of the chemical structure, spectral properties, and stability of the obtained complexes becomes relevant. The coordination of pyridine molecules by manganese(III)porphyrins depending on their structure was studied in this work. In all cases, coordination ends with the formation of 1 : 1 complexes in toluene, the structure of which was established using the data of MALDI-TOF mass spectrometry and 1H NMR spectroscopy. The numerical values of the stability constants of the coordination complexes were determined; they change from 0.16 to 104 L/mol depending on the nature of the axial anion in the manganese(III)porphyrin, the structure of the tetrapyrrole macrocycle, and the functional substitution in it. The obtained data facilitate the choice of structures in the creation of hybrid materials based on metalloporphyrins by the immobilization and supramolecular chemistry methods.
Full Text
Введение
Среди большого разнообразия металлопорфиринов (МР) заметное место в химии макрогетероциклических соединений занимают комплексы марганца. Находясь преимущественно в высокоспиновом состоянии, марганец в структуре порфиринового комплекса может иметь несколько степеней окисления (+2, +3, +4 или +5), что находит отражение в спектральных, электрохимических и координационных свойствах. Интерес к изучению комплексов марганца с порфиринами (MnP) связан с возможностью их практического применения в качестве катализаторов реакций окисления различных органических субстратов [1–4]. Особое внимание уделяется использованию MnP в медицине в качестве миметических ферментов [5, 6], контрастных веществ для магнитно-резонансной томографии с высокой релаксацией [7], фотосенсибилизаторов в фотодинамической инактивации патогенных микроорганизмов [8, 9], а также в качестве радио- и хемосенсибилизаторов при лечении опухолевых заболеваний [10, 11].
Создание на основе МР донорно-акцепторных систем с N-гетероциклическими основаниями, биолигандами, фуллеренами и графеном является перспективным подходом к моделированию практически важных процессов. Большое количество работ посвящено изучению донорно-акцепторных систем на основе порфириновых комплексов цинка [12–19]. Однако все большее внимание исследователей привлекают комплексы порфиринов с ионами других металлов [20–24], в том числе и марганца [2, 3, 25–27]. Так, в работе [28] (хлоро)(5,10,15,20-тетрафенилпорфинато)марганец(III) был ковалентно присоединен к поверхности оксида графена (GO). Комплекс охарактеризован методами спектроскопии и сканирующей и просвечивающей электронной микроскопии. При облучении УФ-видимым светом он показал высокую стабильность, быстрый перенос электронов (photoinduced electron transfer, PET) от фотовозбужденного порфиринового фрагмента к слоям GO и высокие фотокаталитические характеристики в реакции восстановления воды с получением водорода [28].
В работе [29] представлен синтез, кристаллическая и молекулярная структура новых порфириновых комплексов марганца(III) с имидазолом, пиперидином, пиридином и 1,4-диазабицикло(2,2,2)октаном. Изучение аксиальной координации N-оснований с МР используется при моделировании in vivo процессов с участием металлосодержащих ферментов и каталитических свойств реакционных центров MP [30]. Метод донорно-акцепторной сборки через аксиальную координацию относительно прост в исполнении и позволяет создавать системы, близкие к природным.
В качестве объектов в настоящей работе исследованы аксиально связанные с ацетат-ионом комплексы марганца общей формулы MnP c 5,10,15,20-тетрафенилпорфирином (AcO)MnTPP, 5,10,15,20-(тетра-4-трет-бутилфенил)порфирином (AcO)MnTtВuPP и октакис(4-трет-бутилфенил)тетраазапорфирином (AcO)MnTAP(4-tBuPh)8 (рис. 1). Получены количественные параметры, и обоснован стехиометрический механизм их реакций с пиридином (Py), определены спектральные параметры и константы устойчивости (K), выявлены взаимосвязи между полученными количественными характеристиками пиридиновых комплексов и их химическим строением с привлечением имеющихся в литературе данных по аналогичным соединениям. В связи с использованием пиридильной группы в качестве мостика при координации металлопорфиринов с фуллереновыми акцепторами для создания донорно-акцепторных систем со свойством фотоиндуцированного разделения зарядов изучение координации с участием молекул незамещенного пиридина и установление химического строения, спектральных свойств и устойчивости образуемых комплексов являются актуальными.
Рис. 1. Структурные формулы и ЭСП в толуоле (AcO)MnTPP/(AcO)MnTtВuPP (1) и (AcO)MnTAP(4-tBuPh)8 (2).
Экспериментальная часть
(AcO)MnTPP и (AcO)MnTtВuPP получены по реакции Mn(AcO)2 · 4H2O с соответствующим порфирином в кипящем диметилформамиде [31]. (AcO)MnTAP(4-tBuPh)8 синтезирован темплатной циклотетрамеризацией бис(4-трет-бутилфенил)фумаронитрила с ацетатом марганца(II) в среде 2-диметиламиноэтанола при 150°C [32]. Идентификацию и контроль степени чистоты комплексов проводили по электронным, ИК- и MALDI-TOF масс-спектрам.
(AcO)MnTtВuPP. ЭСП в толуоле (ëmax, нм (lg e)): 375 (4.78), 399 (4.71), 478 (5.10), 589 (3.99), 627 (4.13). ИК-спектр (KBr), n, см–1: 2962, 2904 ías(CH3); 2867 ís(CH3); 1631 ías(O–C–O); 1535, 1499 í(C=C)Ph; 1462 í(C=N); 1396, 1364 ä(tBu); 1342 ís(O–C–O); 1267, 1204 ä(tBu); 1109, 1074, 1008 ä(C–H)Ph; 853, 814 ä(C–H)Pyr; 803, 744 ã(Câ–C); 716, 658, 640 ã(C–H)Ph. ИК-спектр (CsBr), n, см–1: 586, 567, 474, 449, 408 ã(C–H)Ph; 306 í(Mn–N). Масс-спектр (MALDI-TOF): m/z 892.33 [M–AcO]+ (вычислено для C60H60MnN4 892.11). 1Н ЯМР-спектр (CDCl3), ä, м. д.: 8.35 (уш. с, Ho,м), 1.62 (с, НtBu), 1.33 (с, HAcO), –22.58 (уш. с, Нâ).
(AcO)MnTPP. ЭСП в толуоле (ëmax, нм (lge)): 373 (4.62), 395 (4.55), 477 (4.94), 586 (3.86), 621 (3.90). ИК-спектр (KBr), n, см–1: 1625 ías(O–C–O); 1596, 1488 í(C=C)Ph; 1440 í(C=N); 1344 ís(O–C–O); 1298, 1232 í(C–H)Pyr; 1204, 1180, 1160, 1076 ä(C–H)Ph; 1012 ä(C–H)Pyr; 804, 744 ã(Câ–C); 716, 704, 664, 621 ã(C–H)Ph. ИК-спектр (CsBr), n, см–1: 566, 521, 454, 411, 367 ã(C–H)Ph; 295 í(Mn–N). Масс-спектр (MALDI-TOF): m/z 668.02 [M–AcO]+ (вычислено для C44H28MnN4 667.68). 1Н ЯМР-спектр (CDCl3), ä, м. д.: 8.28 (уш. с, Hо,м), 1.34 (с, HAcO), –22.78 (уш. с, Нâ).
(AcO)MnTAP(4-tBuPh)8. ЭСП в толуоле (ëmax, нм (lg e)): 421 (4.51), 494 (4.50), 619 (пл), 673 (4.74). ИК-спектр (KBr), n, см–1: 2962, 2905, 2868, 1717, 1609, 1477, 1463, 1384, 1364, 1299, 1269, 1197, 1147, 1109, 997, 891, 850, 839, 811, 751, 635, 599, 585, 563. ИК-спектр (CsBr), n, см–1: 508, 479, 406, 362, 299. Масс-спектр (MALDI-TOF): m/e 1425.47 [M–AcO]+ (вычислено для C96H104N8Mn 1424.87). 1H ЯМР-спектр представлен в работе [33].
Пиридин (ч. д. а.) и толуол осушали гидроксидом калия и перед использованием перегоняли (tкип = = 110.6 и 115.3°С для Py и толуола соответственно).
Реакцию MnP с Py исследовали спектрофотометрически в толуоле при 298 K методом молярных отношений при постоянных концентрациях MP 7.0 × 10–6 и 1.4 × 10–5 моль/л для (AcO)MnTtВuPP, (AcO)MnTPP и (AcO)MnTAP(4-tBuPh)8 соответственно и концентрациях Py, изменяющихся от 0 до 10 моль/л.
Константы равновесий (K) определяли по уравнению (1) с использованием метода наименьших квадратов:
(1)
где CРу0 , С 0MnP — начальные концентрации Py и MnP в толуоле соответственно; А0, Аi, А∞ – оптические плотности на рабочей длине волны для MnP равновесной смеси при определенной концентрации Py и продукта реакции. Относительная ошибка в определении K не превышала 15%. Стехиометрический коэффициент при Py (n) определяли как тангенс угла наклона прямой lg Ii = f (lg CPy), где Ii — “индикаторное” отношение, определяемое по уравнению Ii = = Ai – A0 /A∞ – Ai .
ЭСП, ИК-, 1Н ЯМР- и масс- (MALDI-TOF) спектры регистрировали на спектрофотометре UV-Vis Agilent 8453, спектрометре VERTEX 80v, Bruker Avance III-500 и масс-спектрометре Shimadzu Confidence соответственно.
Результаты и обсуждение
ЭСП синтезированных MnP относятся к гипертипу за счет проявления в них дополнительных по отношению к спектрам нормального типа [34] интенсивных полос поглощения. В ЭСП (AcO)MnTPP в толуоле наблюдается интенсивная полоса переноса заряда при 477 нм и две менее интенсивные полосы ð→p-переходов в видимой области при 586 и 621 нм (Q-полосы). Появление четырех электронодонорных трет-бутильных групп в структуре (AcO)MnTtВuPP практически не изменяет положение полосы переноса заряда, тогда как Q-полосы претерпевают заметный батохромный сдвиг. Батохромный сдвиг Q-полосы и резкий рост ее интенсивности в спектре (AcO)MnTAP(4-tBuPh)8 наблюдается благодаря снятию квазизапрета с электронных переходов, отвечающих полосам поглощения порфириновых комплексов в видимой области, при азазамещении в структуре макроцикла [35].
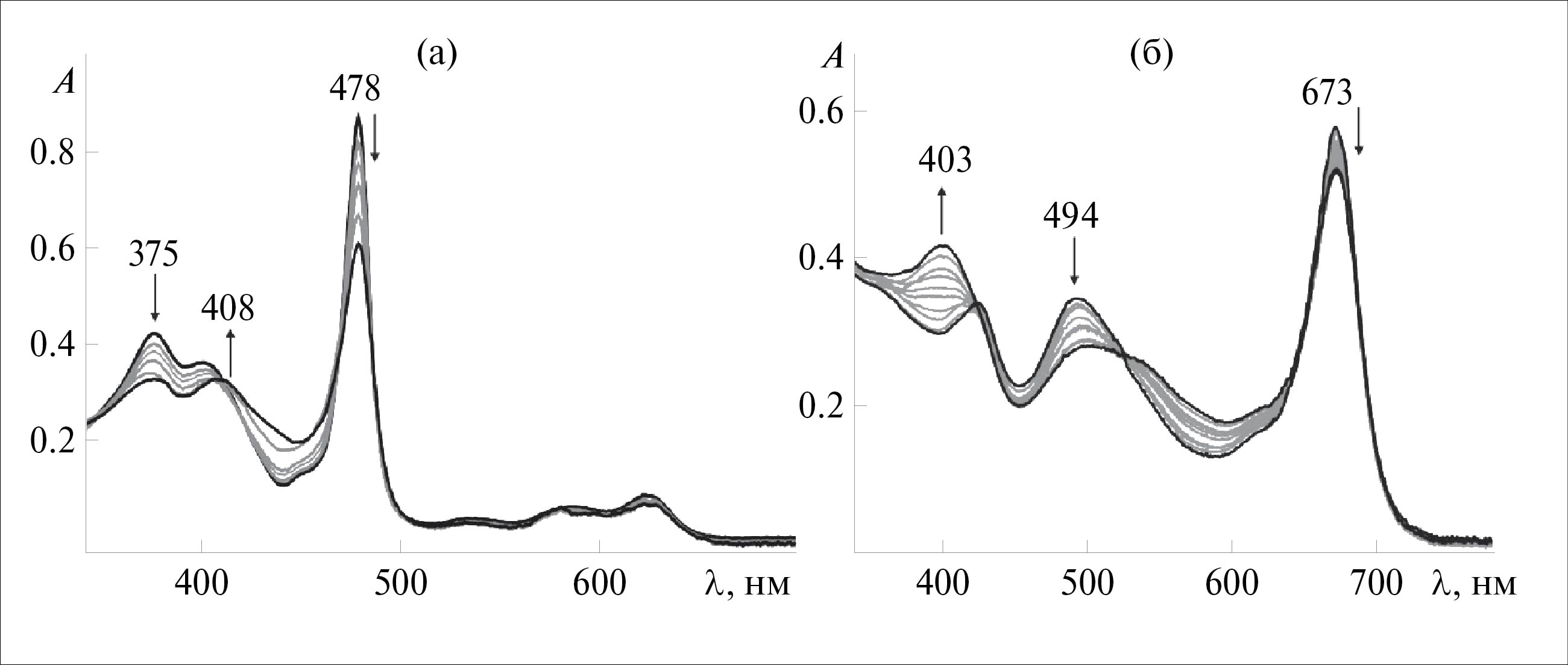
Связывание молекул Py комплексами марганца(III) во всех трех случаях сопровождается смещением и изменением интенсивности основных полос поглощения хромофора с сохранением изобестических точек. При добавлении возрастающих объемов Py к толуольному раствору (AcO)MnTtВuPP в его спектре наблюдается постепенное уменьшение интенсивности полос при 478 и 375 нм и батохромное смещение полосы при 399 до 408 нм (рис. 2а). Аналогичные спектральные изменения наблюдаются и для (AcO)MnTPP. В случае (AcO)MnTAP(4-tBuPh)8 связывание пиридина также сопровождается уменьшением интенсивности полос при 673 и 494 нм, но максимум при 421 нм (B-полоса) смещается гипсохромно до 403 нм (рис. 2б). Спектр продукта реакции для трех изученных комплексов по-прежнему принадлежит макроциклическому хромофору комплекса марганца(III). Экспериментально — разбавлением реакционных смесей по Py — установлена обратимость описанных спектральных изменений, что означает прохождение реакции до состояния равновесия.
Рис. 2. Изменение ЭСП в толуоле (AcO)MnTtВuPP (а) и (AcO)MnTAP(4-tBuPh)8 (б) с добавками Py от 0 до 10 моль/л.
Стехиометрический состав 1 : 1 комплексов MnP с Py определен по данным рис. 3 (экспериментальная часть). Медленные необратимые реакции вытеснения аксиального ацетат-иона в эксперименте не обнаружены, а представленная выше спектральная картина превращения (направление сдвигов полос) указывает на уменьшение выхода центрального атома Mn из плоскости порфирина [26]. Отсюда сделан вывод о транс-расположении молекулы Py и AcO– относительно плоскости экваториального макроциклического лиганда.
Рис. 3. Зависимости lg I от lg CPy для реакции (AcO)MnTPP (1, tgá = 1.03, R2 = 0.98), (AcO)MnTtВuPP (2, tgá = 1.03, R2 = 0.98) и (AcO)MnTAP(4-tBuPh)8 (3, tgá = 0.96, R2 = 0.99) c Py в толуоле при 298 K.
Образование координационных комплексов с Py было подтверждено данными MALDI-TOF масс-спектрометрии. Масс-спектры исследуемых MnP представлены одной интенсивной линией, соответствующей комплексному иону [M–AcO]+ без ацетатного лиганда (экспериментальная часть). Масс-спектрометрический анализ донорно-акцепторных комплексов с Py, проведенный с использованием матрицы 2,5-дигидроксибензойной кислоты (DHB), показал наличие их сигналов небольшой интенсивности наряду с сигналами свободных MnP. На рис. 4 представлен MALDI-TOF масс-спектр (AcO)(Py)MnTPP, на котором наблюдаются пики, соответствующие молекулярным ионам [M–AcO]+ (m/z 668.03) и [M–AcO + Py + DHB]+ (m/z 900.37). В случае (AcO)MnTtВuPP и (AcO)MnTAP(4-tBuPh)8 присутствуют сигналы [M–AcO]+ и [M–AcO + Py + DHB]+ со значениями m/z 892.35/1425.47 и 1124.21/1657.82 соответственно.
Рис. 4. MALDI-TOF масс-спектр (AcO)(Py)MnTPP.
Марганец(III)порфирины, в которых центральный атом металла находится в конфигурации 3d 4, проявляют парамагнетизм, так что их 1Н ЯМР-спектры характеризуются наличием сдвинутых уширенных сигналов, по сравнению со спектрами диамагнитных комплексов [36–38]. Сигналы протонов пиррольных групп (Hâ) и мета- и орто-протонов фенильных групп (Hм,о) в спектре (AcO)MnTPP в CDCl3 проявляются в виде уширенных синглетов при –22.78 и 8.28 м.д. соответственно. Сигналы пара-протонов фенильных групп в спектре не обнаруживаются. Согласно [36], они находятся в области 7.3 м.д. (в СD2Cl2) и в нашем случае перекрываются сигналом CDCl3. Введение трет-бутильных групп на периферию макроцикла способствует сдвигу сигналов Hâ и Hм,о (AcO)MnTtВuPP в слабое поле на 0.2 и 0.07 м.д. соответственно (рис. 5а). Протоны СН3-групп в 1Н ЯМР-спектре (AcO)MnTtВuPP, входящие в состав трет-бутильных и ацетатной групп, проявляются при 1.62 и 1.3 м.д. соответственно. 1Н ЯМР-спектр (AcO)MnTAP(4-tBuPh)8 представлен в работе [33]. Введение Py в структуру MnP сопровождается появлением новых сигналов протонов пиридинового кольца в области 8–7 м.д. (рис. 5б), которые претерпевают слабопольный сдвиг, по сравнению с сигналами некоординированного пиридина [39]. Образование донорно-акцепторной связи Py → Mn также приводит к смещению сигналов протонов макроцикла. Так, в 1H ЯМР-спектре (AcO)(Py)MnTtВuPP сигналы Hм,о претерпевают слабопольный сдвиг на 1.15 м. д., тогда как сигналы Hâ сдвигаются в сильное поле на 0.2 м. д. (рис. 5б). Аналогичные изменения наблюдаются и в случае других MnP, исследуемых в этой работе и в работах [37, 40]. Авторы [37] связывают такой сильнопольный сдвиг сигналов â-протонов с изменением орбитальной симметрии атома марганца при деформации порфиринового макроцикла при аксиальной координации лиганда.
Рис. 5. 1Н ЯМР-спектры (AcO)MnTtВuPP (а) и (AcO)(Py)MnTtВuPP (б) в CDCl3.
Константы устойчивости координационных комплексов MnP с Py (табл. 1) изменяются в зависимости от химического строения макроцикла и природы анионного аксиального лиганда в пределах четырех порядков.
Таблица 1. Константы устойчивости координационных 1 : 1 комплексов MP с Py в толуоле при 298 K
Координационный комплекс | K, л/моль |
(AcO)(Py)MnTPP | 0.16 ± 0.02 |
(AcO)(Py)MnTtВuPP | 0.22 ± 0.03 |
(AcO)(Py)MnTAP(4-tBuPh)8 | 0.38 ± 0.05 |
(AcO)(Py)MnOEP* [26] | 0.85 ± 0.06 |
(AcO)(Py)MnTMTtВuP* [26] | 0.33 ± 0.02 |
(AcO)(Py)MnPс(3,5-tBuPhO)8* [43] | 0.30 ± 0.04 |
(Cl)(Py)MnTPP [42] | 1.34 |
(OClO3)(Py)MnTPP [42] | 1.20 × 104 |
(AcO)(Py)CrTPP [42] | 4.0 × 102 |
[O=Mo(Py)TPP]+ OH- [42] | 9.14 × 103 |
O=W(OH)(Py)TPP [42] | 1.33 × 104 |
(X)(Py)AlTPP, X = Cl, OH, AcO, Acac [44] | 65–1.33 × 102 ** |
(Cl)(Py)InTPP [42] | 9.45 × 102 |
(Cl)(Py)FeTPP [42] | 4.79 × 103 |
(Cl)2(Py)ZrTPP [42] | 3.65 × 104 |
(Cl)2(Py)HfTPP [42] | 1.50 × 104 |
(Py)CoTPP [45] | 7.94 × 102 *** |
(Py)CoT(p-OCH3)PP [46] | 4.85 × 102 |
(Py)CoT(CN)PP [47] | 1.58 × 104 |
(Py)Co(2-Py)P * [48] | 3.56 × 102 |
*OEP – дианион 2,3,7,8,12,13,17,18-октаэтилпорфина, TMTBP — дианион 3,7,12,18-тетраметил-2,8,13,17-тетра(н-бутил)порфина, Pс(3,5-tBuPhO)8 — дианион октакис(3,5-ди-трет-бутилфенокси)фталоцианина, (2-Py)P — дианион 3,7,8,12,18-гексаметил-13,17-диэтил-5-(2-пиридил)порфина. **В CHCl3. ***В CH2Cl2.
Резкое возрастание величины K наблюдается для комплекса марганца(III) с аксиальным анионным лигандом слабого поля (OClO3)MnTPP, для которого эффект транс-влияния Черняева приводит к прочному связыванию транс-лиганда Py. Для всех остальных изученных комплексов марганца(III) (табл. 1) определены невысокие значения K приблизительно одного и того же порядка.
Изменение природы макроцикла оказывает заметное влияние на устойчивость комплексов с Py. Как видно из табл. 1, наиболее устойчивым среди комплексов с ацетат-лигандом оказался комплекс (AcO)(Py)MnOEP. В целом алкильные заместители в â-положениях повышают величину К, по сравнению с фенильными заместителями в мезо-положениях. Так, устойчивость (AcO)(Py)MnOEP в 5 раз выше, чем устойчивость (AcO)(Py)MnTPP. Тетра-азазамещение в макроцикле оказывает менее заметное влияние. Так, константы устойчивости (AcO)(Py)MnTAP(4-tBuPh)8 и (AcO)(Py)MnPс(3,5-tBuPhO)8 сопоставимы в пределах ошибки и в ~2 и 1.5–2 раза меньше К для (AcO)(Py)MnOEP и (AcO)(Py)MnTPP, (AcO)(Py)MnTtBuPP соответственно. Возможно, это связано с уменьшением размера координационной полости макроцикла при переходе от порфиринового к фталоцианиновому лиганду и с присутствием в мезо-положениях электроноакцепторных атомов азота [41].
Как видно из сравнения устойчивости пиридиновых комплексов MP с различными катионами металлов (табл. 1), комплексы марганца(III) характеризуются самой низкой устойчивостью. Это предоставляет уникальную возможность проверить при изучении явления PET в донорно-акцепторных системах на основе MP, как влияет сила связывания через пиридильную группу аксиального акцептора электрона фуллуреновой природы на эффективность разделения зарядов в возбужденном состоянии. На примере уже изученных координационных донорно-акцепторных систем на основе MP-доноров и пиридилзамещенных фуллеро[60]пирролидиновых акцепторов [42] видно, что марганецсодержащие системы также имеют пониженную устойчивость, по сравнению с таковыми на основе кобальта(II), демонстрируя, однако, более высокие показатели эффективности фотопреобразования — плотность фототока ( jphavg, мкА/см2) и дифференциальный коэффициент преобразования энергии падающих фотонов в ток (IPCE365 нм, %) в короткозамкнутой электрохимической ячейке Ti|пленка фотоактивного вещества|0.5 моль/л Na2SO4|Pt. Поскольку подобный материал мало освещен в литературе, можно надеяться, что данные настоящей работы стимулируют дальнейшие исследования в рассматриваемом направлении.
Заключение
Представлены данные по константам равновесий и стехиометрии реакций образования донорно-акцепторных комплексов MnP с Py и по ключевым параметрам их спектральных (УФ-, видимая, 1Н ЯМР- и масс-спектрометрия) свойств. Дан анализ взаимосвязи устойчивости полученных координационных комплексов со структурой их молекул, и показаны особенности порфириновых комплексов марганца(III) в сравнении с аналогами с другим центральным ионом, открывающие новые перспективы в исследованиях донорно-акцепторных систем на основе MP со свойством PET.
Благодарность
Работа выполнена при поддержке Российского научного фонда (грант № 21-73-20090) и на оборудовании Центра коллективного пользования научным оборудованием “Верхневолжский региональный центр физико-химических исследований”.
Конфликт интересов
Авторы заявляют об отсутствии конфликта интересов.
About the authors
E. N. Ovchenkova
Krestov Institute of Solution Chemistry of the Russian Academy of Sciences
Author for correspondence.
Email: enk@isc-ras.ru
Russian Federation, Ivanovo 153045
A. A. Elkhovikova
Ivanovo State University of Chemical Technology
Email: enk@isc-ras.ru
Russian Federation, Ivanovo, 153000
T. N. Lomova
Krestov Institute of Solution Chemistry of the Russian Academy of Sciences
Email: enk@isc-ras.ru
Russian Federation, Ivanovo 153045
References
- Meireles A.M., Guimarães A.S., Querino G.R. et al. // Appl. Organomet. Chem. 2021. V. 35. № 11. P. e6400. https://doi.org/10.1002/aoc.6400
- Gou F., Bian Q., Pan H. et al. // J. Mol. Struct. 2023. V. 1281. P. 135116. https://doi.org/10.1016/j.molstruc.2023.135116
- Jokazi M., Mpeta L.S., Nyokong T. // J. Electroanal. Chem. 2021. V. 901. P. 115748. https://doi.org/10.1016/j.jelechem.2021.115748
- Lomova T., Tsaplev Y., Klyueva M. et al. // J. Organomet. Chem. 2021. V. 945. P. 121880. https://doi.org/10.1016/j.jorganchem.2021.121880.
- Žiniauskaitė A., Ragauskas S., Ghosh A.K. et al. // Ocul. Surf. 2019. V. 17. № 2. P. 257. https://doi.org/10.1016/j.jtos.2019.02.006.
- Zheng Y., Yuan Y., Chai Y. et al. // Biosens. Bioelectron. 2015. V. 66. P. 585. https://doi.org/10.1016/j.bios.2014.12.022.
- Lu H.-S., Wang M.-Y., Ying F.-P. et al. // Bioorg. Med. Chem. 2021. V. 35. P. 116090. https://doi.org/10.1016/j.bmc.2021.116090
- Karimipour G., Kowkabi S., Naghiha A. // Braz. Arch. Biol. Technol. 2015. V. 58. P. 431. https://doi.org/10.1590/S1516-8913201500024
- Yu K.G., Li D.H., Zhou C.H. et al. // Chine. Chem. Lett. 2009. V. 20. № 4. P. 411. https://doi.org/10.1016/j.cclet.2008.11.030
- Ashcraft K.A., Boss M.-K., Tovmasyan A. et al. // Int. J. Radiat. Oncol. Biol. Phys. 2015. V. 93. № 4. P. 892. https://doi.org/10.1016/j.ijrobp.2015.07.2283
- Weitzel D.H., Tovmasyan A., Ashcraft K.A. et al. // Mol. Cancer Ther. 2015. V. 14. № 1. P. 70. https://doi.org/10.1158/1535-7163.MCT-14-0343.
- Ezhov A.V., Aleksandrov A.E., Zhdanova K.A. et al. // Synth. Met. 2020. V. 269. P. 116567. https://doi.org/10.1016/j.synthmet.2020.116567.
- Fu B., Che Y., Yuan X. et al. // Dyes and Pigments. 2021. V. 196. P. 109754. https://doi.org/10.1016/j.dyepig.2021.109754
- Gacka E., Burdzinski G., Marciniak B. et al. // Phys. Chem. Chem. Phys. 2020. V. 22. № 24. P. 13456. https://doi.org/10.1039/D0CP02545C
- Malyasova A.S., Smirnova P.N., Koifman O.I. // Russ. J. Inorg. Chem. 2022. V. 67. № 3. P. 388. https://doi.org/10.1134/S0036023622030093 [Малясова А.С., Смирнова П.Н., Койфман О.И. // Журн. неорган. химии. 2022. Т. 67. № 3. С. 409. https://doi.org/ 10.31857/S0044457X22030096]
- Chitta R., Badgurjar D., Reddy G. et al. // J. Porphyrins Phthalocyanines. 2021. V. 25. № 5–6. P. 469. https://doi.org/10.1142/S1088424621500395
- Janczak J. // Polyhedron. 2020. V. 178. P. 114313. https://doi.org/10.1016/j.poly.2019.114313
- Li Y., Wang G., Feng X. et al. // J. Mol. Struct. 2021. V. 1242. P. 130819. https://doi.org/10.1016/j.molstruc.2021.130819
- Nene L.C., Managa M.E., Oluwole D.O. et al. // Inorg. Chim. Acta. 2019. V. 488. P. 304. https://doi.org/10.1016/j.ica.2019.01.012
- Amati A., Cavigli P., Kahnt A. et al. // J. Phys. Chem. A. 2017. V. 121. № 22. P. 4242. https://doi.org/10.1021/acs.jpca.7b02973
- Amiri N., Taheur F.B., Chevreux S. et al. // Tetrahedron. 2017. V. 73. № 50. P. 7011. https://doi.org/10.1016/j.tet.2017.10.029
- Bichan N.G., Ovchenkova E.N., Ksenofontov A.A. et al. // J. Mol. Liq. 2021. V. 326. P. 115306. https://doi.org/ 10.1016/j.molliq.2021.115306
- Birin K.P., Abdulaeva I.A., Polivanovskaya D.A. et al. // Russ. J. Inorg. Chem. 2021. V. 66. № 2. P. 193. https://doi.org/10.1134/S0036023621020029 [Бирин К.П., Абдулаева И.А., Поливановская Д.А. и др. // Журн. неорган. химии. 2021. Т. 66. № 2. С. 194. https://doi.org/10.31857/S0044457X21020021]
- Znoiko S.A., Kustova T.V., Pavlova E.I. et al. // Russ. J. Gen. Chem. 2021. V. 91. № 2. P. 190. https://doi.org/10.1134/S1070363221020067 [Знойко С.А., Кустова Т.В., Павлова Е.И. и др. // Журн. общ. химии. 2021. Т. 91. № 2. С. 231. https://doi.org/10.31857/S0044460X21020062]
- Ovchenkova E.N., Bichan N.G., Kudryakova N.O. et al. // Dyes and Pigments. 2018. V. 153. P. 225. https://doi.org/10.1016/j.dyepig.2018.02.023
- Ovchenkova E.N., Klyueva M.E., Lomova T.N. // Russ. J. Inorg. Chem. 2017. V. 62. № 11. P. 1483. http://doi.org/10.1134/S0036023617110134 [Овченкова Е.Н., Клюева М.Е., Ломова Т.Н. // Журн. неорган. химии. 2017. Т. 62. № 11. С. 1490].
- Wang H., Fan Z., Cao T. et al. // J. Alloys Compd. 2021. V. 887. P. 161462. https://doi.org/10.1016/j.jallcom.2021.161462
- Li X., Li K., Wang D. et al. // J. Porphyrins Phthalocyanines. 2017. V. 21. № 3. P. 179. https://doi.org/10.1142/S1088424616501236
- Lahanas N., Kucheryavy P., Lalancette R.A. et al. // Acta Crystallogr., Sect. C. 2019. V. 75. № 3. P. 304. https://doi.org/10.1107/S2053229619001232
- Kadish K., Smith K., Guilard R. // In The Porphyrin Handbook: Biochemistry and Binding: Activation of Small Molecules. New York: Academic Press. 1999. V. 4.
- Adler A.D., Longo F.R., Kampas F. et al. // J. Inorg. Nucl. Chem. 1970. V. 32. № 7. P. 2443. https://doi.org/10.1016/0022-1902(70)80535-8
- Ovchenkova E.N., Hanack M., Lomova T.N. // Macroheterocycles. 2010. V. 3. № 1. P. 63. https://doi.org/10.6060/mhc2010.1.63
- Ovchenkova E.N., Bichan N.G., Lomova T.N. // Tetrahedron. 2015. V. 71. № 38. P. 6659. https://doi.org/10.1016/j.tet.2015.07.054
- Lomova T.N., Berezin B.D. // Russ. J. Coord. Chem. 2001. V. 27. № 2. P. 85. https://doi.org/10.1023/A:1009523115380 [Ломова Т.Н., Березин Б.Д. // Коорд. химия. 2001. Т. 27. № 2. С. 96]
- Клюева М.Е. // Дис. … докт. хим. наук. М., 2006.
- Turner P., Gunter M.J. // Inorg. Chem. 1994. V. 33. № 7. P. 1406. https://doi.org/10.1021/ic00085a032
- Ikezaki A., Nakamura M. // J. Porphyrins Phthalocyanines. 2016. V. 20. № 1–4. P. 318. https://doi.org/10.1142/S1088424616500085.
- Ikezaki A., Nakamura M. // Chem. Lett. 2005. V. 34. № 7. P. 1046. https://doi.org/10.1246/cl.2005.1046
- Fulmer G.R., Miller A.J.M., Sherden N.H. et al. // Organomet. 2010. V. 29. № 9. P. 2176. https://doi.org/10.1021/om100106e
- Ovchenkova E.N., Bichan N.G., Lyubimtsev A.V. et al. // Russ. J. Gen. Chem. 2018. V. 88. № 8. P. 1657. https://doi.org/10.1134/S1070363218080170. [Овченкова Е.Н., Бичан Н.Г., Любимцев А.В. и др. // Журн. общ. химии. 2018. Т. 88. № 8. С. 1337.]
- Аскаров К.А., Березин Б.Д., Евстигнеева Р.П. и др. // Под ред. Ениколопяна Н.С. М.: Наука, 1985. 333 с.
- Lomova T. // Appl. Organomet. Chem. 2021. V. 35. № 8. P. e6254. https://doi.org/10.1002/aoc.6254
- Ovchenkova E.N., Bichan N.G., Lomova T.N. // Russ. J. Phys. Chem. 2019. V. 93. № 2. P. 236. https://doi.org/10.1134/S0036024419010217 [Овченкова Е.Н., Бичан Н.Г., Ломова Т.Н. и др. // Журн. физ. химии. 2019. Т. 93. № 2. С. 213.]
- Lomova T.N., Zaitseva S.V., Molodkina O.V. et al. // Russ. J. Coord. Chem. 1999. V. 25. № 6. P. 397. [Ломова Т.Н., Зайцева С.В., Молодкина О.В. и др. // Коорд. химия. 1999. V. 25. № 6. P. 424.]
- Kadish K.M., Bottomley L.A., Beroiz D. // Inorg. Chem. 1978. V. 17. № 5. P. 1124. https://doi.org/10.1021/ic50183a006
- Walker F.A. // J. Am. Chem. Soc. 1973. V. 95. № 4. P. 1150. https://doi.org/10.1021/ja00785a025
- Lin X.Q., Boisselier-Cocolios B., Kadish K.M. // Inorg. Chem. 1986. V. 25. № 18. P. 3242. https://doi.org/10.1021/ic00238a030
- Ovchenkova E.N., Bichan N.G., Semeikin A.S. et al. // Macroheterocycles. 2018. V. 11. № 1. P. 79. https://doi.org/10.6060/mhc170301o
Supplementary files







