Hierarchically Organized MoS2 Films as Promising Electrodes for Flexible Supercapacitors
- Authors: Simonenko T.L.1, Simonenko N.P.1, Zemlyanukhin A.A.1,2, Gorobtsov F.Y.1, Simonenko E.P.1, Kuznetsov N.T.1
-
Affiliations:
- Kurnakov Institute of General and Inorganic Chemistry, Russian Academy of Sciences
- Mendeleev University of Chemical Technology of Russia
- Issue: Vol 68, No 12 (2023)
- Pages: 1860-1872
- Section: НЕОРГАНИЧЕСКИЕ МАТЕРИАЛЫ И НАНОМАТЕРИАЛЫ
- URL: https://bakhtiniada.ru/0044-457X/article/view/231686
- DOI: https://doi.org/10.31857/S0044457X23601608
- EDN: https://elibrary.ru/BYOEJZ
- ID: 231686
Cite item
Full Text
Abstract
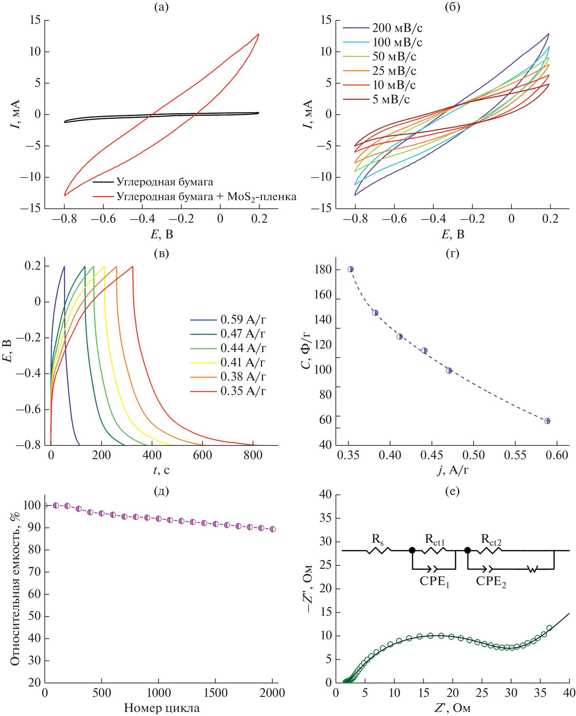
The formation of hierarchically organized MoS2 films on various substrates by a hydrothermal method was studied. The influence of synthesis conditions and the substrate (a glass or a flexible carbon paper substrate) on the crystal structure of sulfide films was determined using X-ray powder diffraction (XRD). Scanning electron microscopy (SEM) showed that the films on glass substrates comprised structurally different elements, namely a continuous dense layer of spherical nanoparticles on the surface of which hierarchically organized globular agglomerates of two types are arranged. A molybdenum disulfide shell about 1.5 μm thick, consisting of hierarchically organized nanosheets less than 10 nm thick, was formed on the surface of carbon fibers that make up the carbon paper. Elemental mapping was used to evaluate the homogeneity of the MoS2 film formed on the carbon paper. Atomic force microscopy (AFM) showed that an individual carbon fiber modified with a sulfide film had a mean square roughness of about 13 nm (over an area of about 100 μm2). According to Kelvin-probe force microscopy (KPFM) data, the electron work function of the material was 4.53 eV. The electrochemical characteristics of the manufactured flexible electrode based on a hierarchically organized molybdenum disulfide film were investigated. The specific capacitance and the stability of functional and microstructural properties of the manufactured supercapacitor electrode in 2000 charge–discharge cycles were evaluated. Thus, the proposed strategy is promising for the fabrication of efficient hierarchically organized MoS2 electrodes for flexible supercapacitors.
About the authors
T. L. Simonenko
Kurnakov Institute of General and Inorganic Chemistry, Russian Academy of Sciences
Email: egorova.offver@gmail.com
119991, Moscow, Russia
N. P. Simonenko
Kurnakov Institute of General and Inorganic Chemistry, Russian Academy of Sciences
Email: egorova.offver@gmail.com
119991, Moscow, Russia
A. A. Zemlyanukhin
Kurnakov Institute of General and Inorganic Chemistry, Russian Academy of Sciences; Mendeleev University of Chemical Technology of Russia
Email: egorova.offver@gmail.com
119991, Moscow, Russia; 125047, Moscow, Russia
F. Yu. Gorobtsov
Kurnakov Institute of General and Inorganic Chemistry, Russian Academy of Sciences
Email: egorova.offver@gmail.com
119991, Moscow, Russia
E. P. Simonenko
Kurnakov Institute of General and Inorganic Chemistry, Russian Academy of Sciences
Email: egorova.offver@gmail.com
119991, Moscow, Russia
N. T. Kuznetsov
Kurnakov Institute of General and Inorganic Chemistry, Russian Academy of Sciences
Author for correspondence.
Email: egorova.offver@gmail.com
119991, Moscow, Russia
References
- Sun B., Long Y.-Z., Chen Z.-J. et al. // J. Mater. Chem. C 2014. V. 2. № 7. P. 1209. https://doi.org/10.1039/C3TC31680G
- Gillan L., Hiltunen J., Behfar M.H. et al. // Jpn. J. Appl. Phys. 2022. V. 61. P. SE0804. https://doi.org/10.35848/1347-4065/ac586f
- Mohan M., Shetti N.P., Aminabhavi T.M. // Mater. Today Chem. 2023. V. 27. P. 101333. https://doi.org/10.1016/j.mtchem.2022.101333
- Wei S., Zhou R., Wang G. // ACS Omega. 2019. V. 4. № 14. P. 15780. https://doi.org/10.1021/acsomega.9b01058
- He X., Zhang X. // J. Energy Storage. 2022. V. 56. P. 106023. https://doi.org/10.1016/j.est.2022.106023
- Thangappan R., Kalaiselvam S., Elayaperumal A. et al. // Dalt. Trans. 2016. V. 45. № 6. P. 2637. https://doi.org/10.1039/C5DT04832J
- Riaz A., Sarker M.R., Saad M.H.M. et al. // Sensors. 2021. V. 21. № 15. P. 5041. https://doi.org/10.3390/s21155041
- Saraf M., Natarajan K., Mobin S.M. // ACS Appl. Mater. Interfaces. 2018. V. 10. № 19. P. 16588. https://doi.org/10.1021/acsami.8b04540
- Karade S.S., Dubal D.P., Sankapal B.R. // RSC Adv. 2016. V. 6. № 45. P. 39159. https://doi.org/10.1039/C6RA04441G
- Zhang Y.-Z., Wang Y., Cheng T. et al. // Chem. Soc. Rev. 2019. V. 48. № 12. P. 3229. https://doi.org/10.1039/C7CS00819H
- Dubal D.P., Kim J.G., Kim Y. et al. // Energy Technol. 2014. V. 2. № 4. P. 325. https://doi.org/10.1002/ente.201300144
- Chalangar E., Björk E.M., Pettersson H. // Sci. Rep. 2022. V. 12. № 1. P. 11843. https://doi.org/10.1038/s41598-022-15771-w
- Joseph N., Shafi P.M., Bose A.C. // Energy Fuels. 2020. V. 34. № 6. P. 6558. https://doi.org/10.1021/acs.energyfuels.0c00430
- Guo C., Pan J., Li H. et al. // J. Mater. Chem. C. 2017. V. 5. № 41. P. 10855. https://doi.org/10.1039/C7TC03749J
- Quilty C.D., Housel L.M., Bock D.C. et al. // ACS Appl. Energy Mater. 2019. V. 2. № 10. P. 7635. https://doi.org/10.1021/acsaem.9b01538
- Acerce M., Voiry D., Chhowalla M. // Nat. Nanotechnol. 2015. V. 10. № 4. P. 313. https://doi.org/10.1038/nnano.2015.40
- Krishnan U., Kaur M., Singh K. et al. // Superlattices Microstruct. 2019. V. 128. P. 274. https://doi.org/10.1016/j.spmi.2019.02.005
- Gupta D., Chauhan V., Kumar R. // Inorg. Chem. Commun. 2022. V. 144. P. 109848. https://doi.org/10.1016/j.inoche.2022.109848
- Tao J., Chai J., Lu X. et al. // Nanoscale. 2015. V. 7. № 6. P. 2497. https://doi.org/10.1039/C4NR06411A
- Taherkhani A., Shahbazi M. // Mater. Today Commun. 2023. V. 34. P. 105092. https://doi.org/10.1016/j.mtcomm.2022.105092
- Serpini E., Rota A., Ballestrazzi A. et al. // Surf. Coatings Technol. 2017. V. 319. P. 345. https://doi.org/10.1016/j.surfcoat.2017.04.006
- Cho Y.J., Sim Y., Lee J.-H. et al. // Curr. Appl. Phys. 2023. V. 45. P. 99. https://doi.org/10.1016/j.cap.2022.11.008
- Seravalli L., Bosi M. // Materials (Basel). 2021. V. 14. № 24. P. 7590. https://doi.org/10.3390/ma14247590
- Aspiotis N., Morgan K., März B. et al. // npj 2D Mater. Appl. 2023. V. 7. № 1. P. 18. https://doi.org/10.1038/s41699-023-00379-z
- Cho A.-J., Ryu S.H., Yim J.G. et al. // J. Mater. Chem. C. 2022. V. 10. № 18. P. 7031. https://doi.org/10.1039/D2TC01156E
- Duraisamy S., Ganguly A., Sharma P.K. et al. // ACS Appl. Nano Mater. 2021. V. 4. № 3. P. 2642. https://doi.org/10.1021/acsanm.0c03274
- Askari M.B., Kalourazi A.F., Seifi M. et al. // Optik (Stuttg). 2018. V. 174. P. 154. https://doi.org/10.1016/j.ijleo.2018.08.035
- Du H., Liu D., Li M. et al. // RSC Adv. 2015. V. 5. № 97. P. 79724. https://doi.org/10.1039/C5RA08424E
- Li J., Listwan A., Liang J. et al. // Chem. Eng. J. 2021. V. 422. P. 130100. https://doi.org/10.1016/j.cej.2021.130100
- Simonenko T.L., Bocharova V.A., Simonenko N.P. et al. // Russ. J. Inorg. Chem. 2020. V. 65. № 4. P. 459. https://doi.org/10.1134/S003602362004018X
- Simonenko T.L., Bocharova V.A., Gorobtsov P.Y. et al. // Russ. J. Inorg. Chem. 2020. V. 65. № 9. Р. 1304https://doi.org/10.1134/S0036023620090181
- Simonenko T.L., Bocharova V.A., Simonenko N.P. et al. // Russ. J. Inorg. Chem. 2021. V. 66. № 12. P. 1779. https://doi.org/10.1134/S0036023621120160
- Simonenko T.L., Bocharova V.A., Simonenko N.P. // Russ. J. Inorg. Chem. 2021. V. 66. № 11. P. 1633. https://doi.org/10.1134/S0036023621110176
- Simonenko T.L., Simonenko N.P., Gorobtsov P.Y. et al. // Ceram. Int. 2022. V. 48. № 15. P. 22401. https://doi.org/10.1016/j.ceramint.2022.04.252
- Zhao W., Liu X., Yang X. et al. // Nanomaterials. 2020. V. 10. № 6. P. 1124. https://doi.org/10.3390/nano10061124
- Qiu X., Zhang T., Dai Z. et al. // Ionics (Kiel). 2022. V. 28. № 2. P. 939. https://doi.org/10.1007/s11581-021-04379-1
- Fan H., Wu R., Liu H. et al. // J. Mater. Sci. 2018. V. 53. № 14. P. 10302. https://doi.org/10.1007/s10853-018-2266-8
- Yan J., Huang Y., Zhang X. et al. // Nano-Micro Lett. 2021. V. 13. № 1. P. 114. https://doi.org/10.1007/s40820-021-00646-y
- Chen Y.-L., Tsai C.-H., Chen M.-Y. et al. // Materials (Basel). 2018. V. 11. № 12. P. 2587. https://doi.org/10.3390/ma11122587
- Samy O., Zeng S., Birowosuto M.D. et al. // Crystals. 2021. V. 11. № 4. P. 355. https://doi.org/10.3390/cryst11040355
- Shakya J., Kumar S., Kanjilal D. et al. // Sci. Rep. 2017. V. 7. № 1. P. 9576. https://doi.org/10.1038/s41598-017-09916-5
- Zhou P., Song X., Yan X. et al. // Nanotechnology. 2016. V. 27. № 34. P. 344002. https://doi.org/10.1088/0957-4484/27/34/344002
- Priya S., Mandal D., Chowdhury A. et al. // Nanoscale Adv. 2023. V. 5. № 4. P. 1172. https://doi.org/10.1039/D2NA00807F
- Ranjan B., Sharma G.K., Kaur D. // Appl. Phys. Lett. 2021. V. 118. № 22. https://doi.org/10.1063/5.0048272
- Ali G.A.M., Thalji M.R., Soh W.C. et al. // J. Solid State Electrochem. 2020. V. 24. № 1. P. 25. https://doi.org/10.1007/s10008-019-04449-5
- Chen W., Gu J., Liu Q. et al. // Nat. Nanotechnol. 2022. V. 17. № 2. P. 153. https://doi.org/10.1038/s41565-021-01020-0
- Zhou R., Wei S., Liu Y. et al. // Sci. Rep. 2019. V. 9. № 1. P. 3980. https://doi.org/10.1038/s41598-019-40672-w
- Kumar S., Kumar V., Devi R. et al. // Adv. Mater. Sci. Eng. 2022. V. 2022. P. 1. https://doi.org/10.1155/2022/1288623
- Manuraj M., Kavya Nair K.V., Unni K.N.N. et al. // J. Alloys Compd. 2020. V. 819. P. 152963. https://doi.org/10.1016/j.jallcom.2019.152963
- Dhas S.D., Maldar P.S., Patil M.D. et al. // Vacuum. 2020. V. 181. P. 109646. https://doi.org/10.1016/j.vacuum.2020.109646
- Quan T., Härk E., Xu Y. et al. // ACS Appl. Mater. Interfaces. 2021. V. 13. № 3. P. 3979. https://doi.org/10.1021/acsami.0c19506
- Yu X., Du R., Li B. et al. // Appl. Catal. B Environ. 2016. V. 182. P. 504. https://doi.org/10.1016/j.apcatb.2015.09.003
- Zhang F., Tang Y., Liu H. et al. // ACS Appl. Mater. Interfaces. 2016. V. 8. № 7. P. 4691. https://doi.org/10.1021/acsami.5b11705
- Tobis M., Sroka S., Frąckowiak E. // Front. Energy Res. 2021. V. 9. https://doi.org/10.3389/fenrg.2021.647878
Supplementary files










