Potentiometraic Method for Determining Biologically Non-Degradable Antimicrobial Substances
- Authors: Turyshev E.S.1, Kubasov A.S.1, Golubev A.V.1, Zhizhin K.Y.1, Kuznetsov N.T.1
-
Affiliations:
- Kurnakov Institute of General and Inorganic Chemistry, Russian Academy of Sciences
- Issue: Vol 68, No 12 (2023)
- Pages: 1824-1830
- Section: ФИЗИКОХИМИЯ РАСТВОРОВ
- URL: https://bakhtiniada.ru/0044-457X/article/view/231683
- DOI: https://doi.org/10.31857/S0044457X23601633
- EDN: https://elibrary.ru/RIYEOA
- ID: 231683
Cite item
Full Text
Abstract
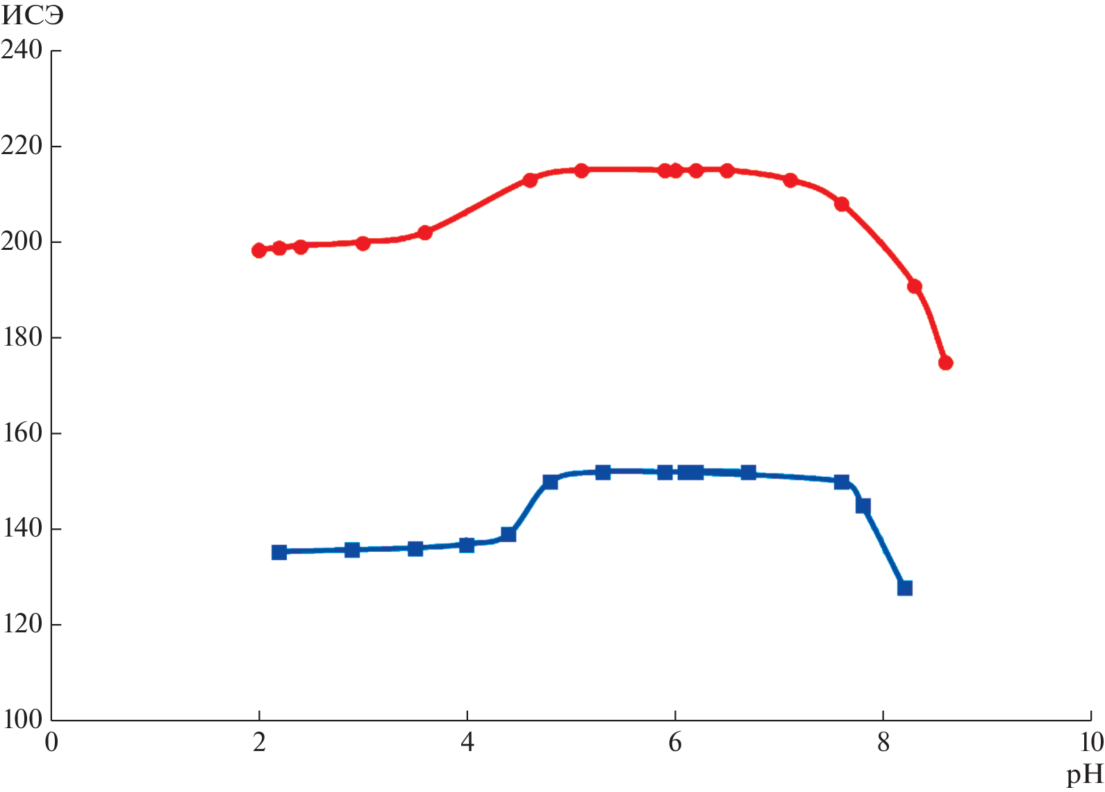
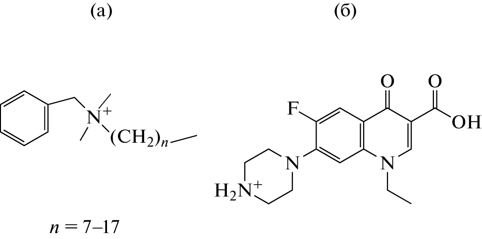
Ion selective electrodes (ISEs) based on polymer plasticized membranes have been developed for the determination of benzalkonium chloride (alkyldimethylbenzylammonium), the active component being cesium bis-octodecyl-2-sulfonio-closo-decaborate Cs[B10H9S(C18H37)2] (sensor A). For the determination of norfloxacin hydrochloride, the active component is potassium tris-octodecyl-1-ammonio-closo-decaborate K[B10H9N(C18H37)3] (sensor B). It has been shown that the electrodes have a reversible potentiometric response with respect to the analyzed cations in the presence of a number of other inorganic and organic cations. The influence of the concentration of the electrode-active substance on the electrochemical characteristics of the manufactured sensor has been studied. The optimal composition of the ion-sensitive membrane has been found. It has been determined that the developed sensors provide a wide range of detectable concentrations (for sensor A, 2 × 10–7–1 × 10–2; for sensor B, 1 × 10–7–1 × 10–2) and a low detection limit (for sensor A, 1 × 10–7 M; for sensor B, 8 × 10–8 M). New ISEs can be recommended for direct potentiometric detection of free ions in water bodies and water extracts of soils.
About the authors
E. S. Turyshev
Kurnakov Institute of General and Inorganic Chemistry, Russian Academy of Sciences
Email: tyrishev@gmail.com
119991, Moscow, Russia
A. S. Kubasov
Kurnakov Institute of General and Inorganic Chemistry, Russian Academy of Sciences
Email: tyrishev@gmail.com
119991, Moscow, Russia
A. V. Golubev
Kurnakov Institute of General and Inorganic Chemistry, Russian Academy of Sciences
Email: tyrishev@gmail.com
119991, Moscow, Russia
K. Yu. Zhizhin
Kurnakov Institute of General and Inorganic Chemistry, Russian Academy of Sciences
Email: tyrishev@gmail.com
119991, Moscow, Russia
N. T. Kuznetsov
Kurnakov Institute of General and Inorganic Chemistry, Russian Academy of Sciences
Author for correspondence.
Email: tyrishev@gmail.com
119991, Moscow, Russia
References
- Zhang C., Tezel U., Li K. et al. // Water Res. 2011. V. 45. № 3. P. 1238. https://doi.org/10.1016/j.watres.2010.09.037
- Barber O.W., Hartmann E.M. // Crit. Rev. Environ. Sci. Technol. 2022. V. 52. № 15. P. 2691. https://doi.org/10.1080/10643389.2021.1889284
- Domnina Yu.M., Suslov V.V., Kedik S.A. et al. // Drug development & registration. 2020. V. 9. № 4. P. 121. https://doi.org/10.33380/2305-2066-2020-9-4-121-127
- Kümmerer K., Eitel A., Braun U. et al. // J. Chromatogr. A. 1997. V. 774. № 1–2. P. 281. https://doi.org/10.1016/S0021-9673(97)00242-2
- Ul’yanovskii N., Kosyakov D.S., Shavrina I. // Macc-cпeктpoмeтpия. 2022. T. 16. № 1. https://doi.org/10.25703/MS.2021.59.36.002
- Ly N.H., Nguyen P., Son S.J. et al. // Bull. Korean. Chem. Soc. 2022. V. 43. № 2. P. 246. https://doi.org/10.1002/bkcs.12441
- Schubert S. // Prävention und Gesundheitsförderung. 2014. V. 9. № 3. P. 171. https://doi.org/10.1007/s11553-014-0457-y
- Von Ah S., Stephan R., Zurfluh K. et al. // Schweiz Arch Tierheilkd. 2019. V. 161. № 6. P. 387. https://doi.org/10.17236/sat00211
- Bloem E., Albihn A., Elving J. et al. // Sci. Total Environ. 2017. V. 607–608. P. 225. https://doi.org/10.1016/j.scitotenv.2017.06.274
- Domes C., Domes R., Popp J. et al. // Anal. Chem. 2017. V. 89. № 18. P. 9997. https://doi.org/10.1021/acs.analchem.7b02422
- Ratsak C., Guhl B., Zühlke S. et al. // Environ. Sci. Eur. 2013. V. 25. № 1. P. 7. https://doi.org/10.1186/2190-4715-25-7
- Abdullina S.G., Serebriannikova E.A. // Medical Pharmaceutical J. “Pulse”. 2022. P. 17. https://doi.org/10.26787/nydha-2686-6838-2022-24-6-17-22
- Kubasov A.S., Turishev E.S., Kopytin A.V. et al. // Inorg. Chim. Acta. 2021. V. 514. P. 119992. https://doi.org/10.1016/j.ica.2020.119992
- Zdrachek E., Bakker E. // Anal. Chem. 2019. V. 91. № 1. P. 2. https://doi.org/10.1021/acs.analchem.8b04681
- Turyshev E.S., Shpigun L.K., Kopytin A.V. et al. // Austin. J. Anal. Pharm. Chem. 2023. V. 10. № 1. P. 1154. https://doi.org/10.26420/austinjanalpharmchem.2023. 1154
- Zhizhin K.Yu., Turyshev E.S., Kopytin A.V. et al. // Nanosystems: Phys. Chem. Mathem. 2022. V. 13. № 6. P. 688. https://doi.org/10.17586/2220-8054-2022-13-6-688-697
- Kubasov A.S., Turishev E.S., Golubev A.V. et al. // Inorg. Chim. Acta. 2020. V. 507. P. 119589. https://doi.org/10.1016/j.ica.2020.119589
- Nelyubin A.V., Klyukin I.N., Novikov A.S. et al. // Inorganics (Basel). 2022. V. 10. № 11. P. 196. https://doi.org/10.3390/inorganics10110196
- Kubasov A.S., Turishev E.S., Golubev A.V. et al. // Inorg. Chim. Acta. 2020. V. 507. P. 119589. https://doi.org/10.1016/j.ica.2020.119589
- Nelyubin A.V., Selivanov N.A., Bykov A.Yu. et al. // Russ. J. Inorg. Chem. 2022. V. 67. № 11. P. 1776. https://doi.org/10.1134/S0036023622601106
- Turyshev E.S., Kopytin A.V., Zhizhin K.Y. et al. // Talanta. 2022. V. 241. P. 123239. https://doi.org/10.1016/j.talanta.2022.123239
- Kopytin A., Turyshev E., Madraimov M. et al. // Russ. J. Inorg. Chem. 2023. V. 68. № 1. P. 10.
- Schaller U., Bakker E., Pretsch E. // Anal. Chem. 1995. V. 67. № 18. P. 3123. https://doi.org/10.1021/ac00114a005
- Buck R.P., Lindner E. // Pure Appl. Chem. 1994. V. 66. № 12. P. 2527. https://doi.org/10.1351/pac199466122527
Supplementary files






