Thermochemical Study of Bismuth Cobalt Dysprosium Oxide: The Enthalpy of Formation and Lattice Enthalpy
- Authors: Matskevich N.I.1, Semerikova A.N.1, Gel’fond N.V.1, Zaitsev V.P.1,2, Matskevich M.Y.1, Anufrieva O.I.1, Fedorov A.A.1
-
Affiliations:
- Nikolaev Institute of Inorganic Chemistry, Siberian Branch, Russian Academy of Sciences
- Siberian State University of Water Transport
- Issue: Vol 68, No 12 (2023)
- Pages: 1786-1791
- Section: ФИЗИКО-ХИМИЧЕСКИЙ АНАЛИЗ НЕОРГАНИЧЕСКИХ СИСТЕМ
- URL: https://bakhtiniada.ru/0044-457X/article/view/231674
- DOI: https://doi.org/10.31857/S0044457X23601402
- EDN: https://elibrary.ru/BWNIYL
- ID: 231674
Cite item
Full Text
Abstract
Bismuth cobalt dysprosium oxide of composition Bi12.5Dy1.5CoO22.325 has been prepared by solid-state reactions. The compound has a cubic structure (space group Fm
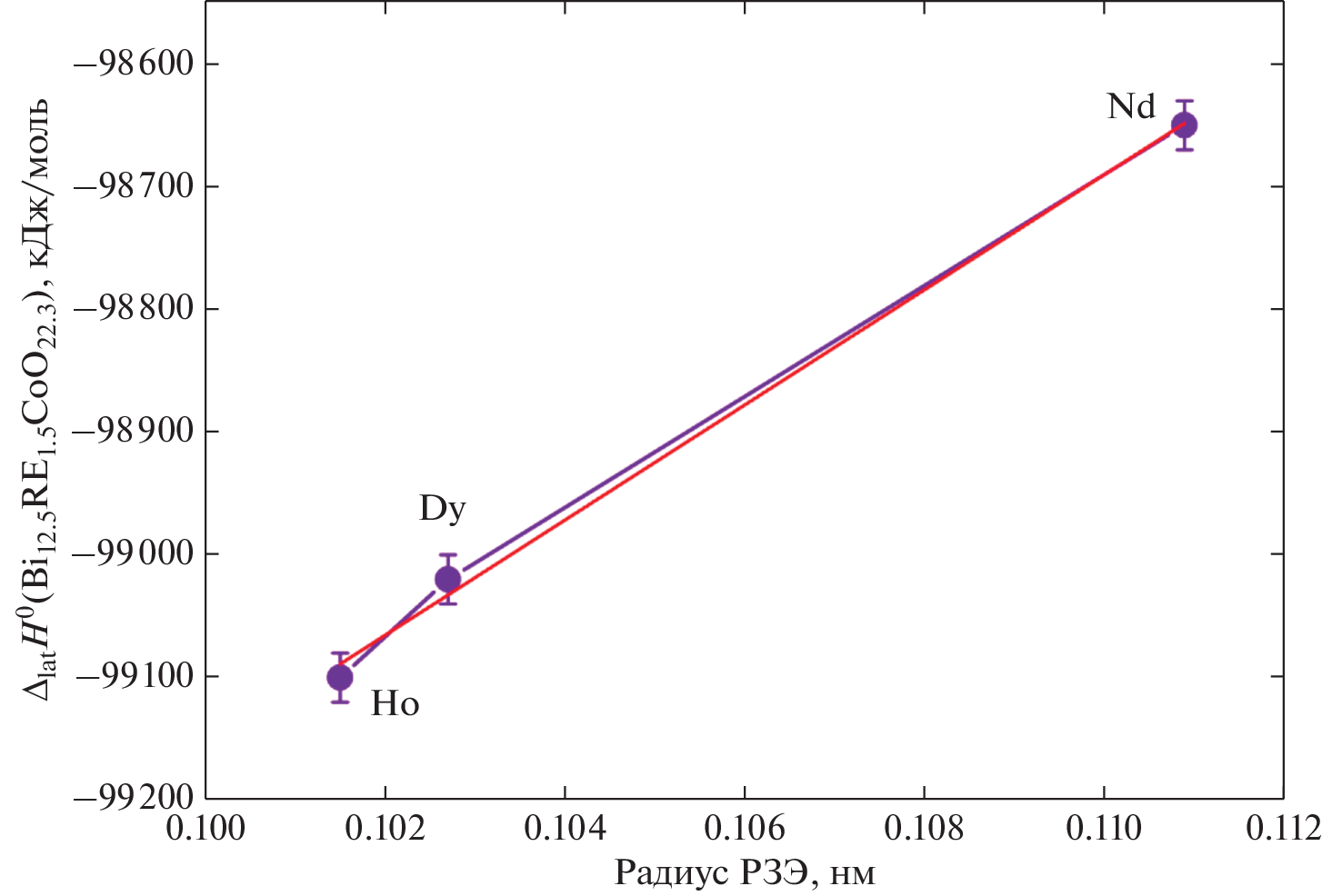
m) with the unit cell parameter a = 0.55279(5) nm. The solution enthalpy and standard enthalpy of formation of Bi12.5Dy1.5CoO22.325 have been measured by solution calorimetry: ΔsolH0 = −1017.0 ± 7.5 kJ/mol, and ΔfH0 = −5338.8 ± 19.9 kJ/mol. The lattice enthalpy has been calculated using the Born–Haber cycle: ΔlatH0 = −99020 kJ/mol. The lattice enthalpy increases in magnitude as the lanthanide radius decreases in the neodymium–dysprosium–holmium series.
About the authors
N. I. Matskevich
Nikolaev Institute of Inorganic Chemistry, Siberian Branch, Russian Academy of Sciences
Email: nata.matskevich@yandex.ru
630090, Novosibirsk, Russia
A. N. Semerikova
Nikolaev Institute of Inorganic Chemistry, Siberian Branch, Russian Academy of Sciences
Email: nata.matskevich@yandex.ru
630090, Novosibirsk, Russia
N. V. Gel’fond
Nikolaev Institute of Inorganic Chemistry, Siberian Branch, Russian Academy of Sciences
Email: nata.matskevich@yandex.ru
630090, Novosibirsk, Russia
V. P. Zaitsev
Nikolaev Institute of Inorganic Chemistry, Siberian Branch, Russian Academy of Sciences; Siberian State University of Water Transport
Email: nata.matskevich@yandex.ru
630090, Novosibirsk, Russia; 630033, Novosibirsk, Russia
M. Yu. Matskevich
Nikolaev Institute of Inorganic Chemistry, Siberian Branch, Russian Academy of Sciences
Email: nata.matskevich@yandex.ru
630090, Novosibirsk, Russia
O. I. Anufrieva
Nikolaev Institute of Inorganic Chemistry, Siberian Branch, Russian Academy of Sciences
Email: nata.matskevich@yandex.ru
630090, Novosibirsk, Russia
A. A. Fedorov
Nikolaev Institute of Inorganic Chemistry, Siberian Branch, Russian Academy of Sciences
Author for correspondence.
Email: nata.matskevich@yandex.ru
630090, Novosibirsk, Russia
References
- Crumpton T.E., Mosselmans J.F.W., Creaves C. // J. Mater. Chem. 2005. V. 15. P. 164. https://doi.org/10.1039/b412108m
- Yue Ya., Dziegielewska A., Zhang M. et al. // Chem. Mater. 2023. V. 35. P. 189. https://doi.org/10.1021/acs.chemmater.2c03001
- Gagarin P.G., Guskov A.V., Gavrichev K.S. et al. // Russ. J. Inorg. Chem. 2022. V. 67. P. 2183. https://doi.org/10.1134/S0036023622602070
- Lomanova N.A. // Russ. J. Inorg. Chem. 2022. V. 67. P. 741. https://doi.org/10.1134/S0036023622060146
- Pandey P., Dixit P., Chauhan V. et al. // J. Alloys Compd. 2023. V. 952. P. 169911. https://doi.org/10.1016/j.jallcom.2023.169911
- Kaimieva O.S., Sabirova I.E., Buyanova E.S. et al. // Russ. J. Inorg. Chem. 2022. V. 67. P. 1348. https://doi.org/10.1134/S0036023622090054
- Jankovsky O., Sedmidubsky D., Leitner J. et al. // Thermochim. Acta. 2014. V. 582. P. 40. https://doi.org/10.1016/j.tca.2014.02.022
- Dmitriev A.V., Vladimirova E.V., Kellerman D.G. et al. // J. Alloys Compd. 2019. V. 777. P. 586. https://doi.org/10.1016/j.jallcom.2018.10.387
- Elovikov D.P., Tomkovich M.V., Levin A.A. et al. // Russ. J. Inorg. Chem. 2022. V. 67. P. 850. https://doi.org/10.1134/S0036023622060067
- Steblevskaya N.I., Belobeletskaya M.V., Medkov M.A. et al. // Russ. J. Inorg. Chem. 2022. V. 67. P. 1228. https://doi.org/10.1134/S0036023622080265
- Milewska K., Maciejewski M., Lapinski M. et al. // J. Non-Cryst. Solids. 2023. V. 605. P. 122169. https://doi.org/10.1016/j.jnoncrysol.2023.122169
- Balci M., Saatci B., Turk H. et al. // Mater. Today Comm. 2022. V. 33. P. 104542. https://doi.org/10.1016/j.mtcomm.2022.104542
- Crumpton T.E., Greaves C. // J. Mater. Chem. 2004. V. 14. P. 2433. https://doi.org/10.1039/b405770h
- Lv P., Huang F. // RSC Advances. 2019. V. 9. P. 8650. https://doi.org/10.1039/c8ra09565e
- Capoen E., Steil C., Boivin J.C. et al. // Solid State Ionics. 2006. V. 177. P. 483. https://doi.org/10.1016/j.ssi.2005.12.015
- Emel’yanova Yu.V., Mikhailovskaya Z.A., Buyanova E.S. et al. // Russ. J. Appl. Chem. 2017. V. 90. P. 354. https://doi.org/10.1134/S1070427217030053
- Krok F., Abrahams I., Holdynski M. et al. // Solid State Ionics. 2008. V. 179. P. 975. https://doi.org/10.1016/j.ssi.2008.02.015
- Hervoches C.H., Greaves C. // Solid State Ionics. 2014. V. 254. P. 1. https://doi.org/10.1016/j.ssi.2013.10.032
- Matskevich N.I., Wolf Th., Pischur D. et al. // J. Therm. Anal. Calorim. 2016. V. 124. P. 1745. https://doi.org/10.1007/s10973-016-5316-y
- Kekade S.S., Gaikwad P.V., Raut S.A. et al. // ACS Omega. 2018. V. 3. P. 5853. https://doi.org/10.1021/acsomega.8b00564
- Punn R., Feteira A.M., Sinclair D.C. et al. // J. Am. Chem. Soc. 2006. V. 128. P. 15386. https://doi.org/10.1021/ja065961d
- Matskevich N.I., Wolf Th., Greaves C. et al. // J. Chem. Thermodyn. 2015. V. 91. P. 234. https://doi.org/10.1016/j.jct.2015.07.036
- Minenkov Yu.F., Matskevich N.I., Stenin Yu.G. et al. // Thermochim. Acta. 1996. V. 278. P. 1. https://doi.org/10.1016/0040-6031(95)02801-3
- Matskevich N.I., McCallum R.W. // Thermochim. Acta. 1999. V. 342. P. 41. https://doi.org/10.1016/s0040-6031(99)00314-7
- Matskevich N.I., Krabbes G., Berasteguie P. // Thermochim. Acta. 2003. V. 397. P. 97. https://doi.org/10.1016/S0040-6031(02)00330-1
- Kilday M.V. // J. Res. Nat. Bur. Stand. 1980. V. 85. P. 467.
- Gunther C., Pfestorf R., Rother M. et al. // J. Therm. Anal. Calorim. 1988. V. 33. P. 359.
- Termicheskie konstanty veshchestv (Thermal Constants of Substances) / Ed. Glushko V.P. M.: VINITI, 1965–1982. V. 1–10.
- Matskevich N.I., Semerikova A.N., Samoshkin D.A. et al. // Russ. J. Inorg. Chem. 2022. V. 67. P. 1825. https://doi.org/10.1134/S0036023622600988
- Shannon R.D. // Acta Crystallogr., Sect. A. 1976. V. 32. P. 751. https://doi.org/10.1107/S0567739476001551




