СТРУКТУРА И НЕОБЫЧНЫЕ МАГНИТНЫЕ СВОЙСТВА Mg-СОДЕРЖАЩИХ ТВЕРДЫХ РАСТВОРОВ НА ОСНОВЕ Y2FeTaO7
- Авторы: Эллерт О.Г.1, Попова Е.Ф.1, Кирдянкин Д.И.1, Имшенник В.К.2, Куликова Е.С.3, Егорышева А.В.1
-
Учреждения:
- Институт общей и неорганической химии им. Н.С. Курнакова РАН
- Федеральный исследовательский центр химической физики им. Н.Н. Семенова РАН
- Национальный исследовательский центр “Курчатовский институт”
- Выпуск: Том 68, № 10 (2023)
- Страницы: 1339-1347
- Раздел: СИНТЕЗ И СВОЙСТВА НЕОРГАНИЧЕСКИХ СОЕДИНЕНИЙ
- URL: https://bakhtiniada.ru/0044-457X/article/view/140298
- DOI: https://doi.org/10.31857/S0044457X23600937
- EDN: https://elibrary.ru/GECLNS
- ID: 140298
Цитировать
Полный текст
Аннотация
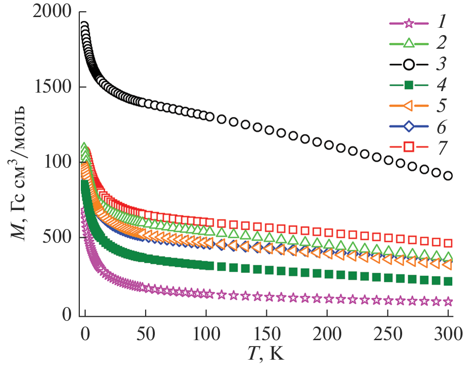
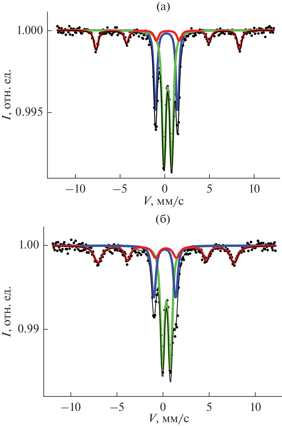
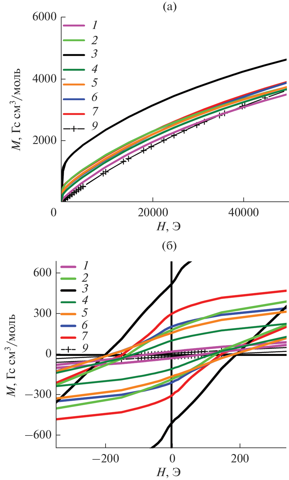
Синтезированы Mg-содержащие твердые растворы на основе Y2FeTaO7, соответствующие различным механизмам гетеровалентного замещения, а именно: Y2Fe0.55Mg0.3Ta1.15O7, Y2Fe0.625Mg0.3Ta1.075O7, Y2Fe0.7Mg0.3TaO7, Y2Fe0.7Mg0.2Ta1.1O7, Y2Fe0.85Mg0.15TaO7, Y1.85Mg0.15Fe0.925Ta1.075O7, Y1.85Mg0.15FeTaO7. Показано, что все синтезированные твердые растворы обладают пирохлороподобной слоистой структурой (пр. гр. P3121), в которых ионы Fe3+ распределены по трем структурным позициям. Магнитные свойства этих твердых растворов обусловлены присутствием небольшой ферромагнитной компоненты в преимущественно антиферромагнитной системе, и характеризуют ферримагнетик или скошенный антиферромагнетик с переходом Нееля (ТN) выше комнатной температуры. По данным магнитных измерений, во всех изученных образцах происходят два магнитных фазовых перехода в упорядоченную фазу. Наряду с переходом ТN, в слабых магнитных полях и ниже ТN регистрируется второй переход, который, наиболее вероятно, обусловлен спиновой переориентацией по типу перехода Морина. Существование магнитного упорядочения при комнатной температуре в одной магнитной подрешетке или внутреннего магнитного поля (Hin) подтверждено методом мессбауэровской спектроскопии.
Об авторах
О. Г. Эллерт
Институт общей и неорганической химии им. Н.С. Курнакова РАН
Email: anna_egorysheva@rambler.ru
Россия, 119991, Москва,
Ленинский пр-т, 31
Е. Ф. Попова
Институт общей и неорганической химии им. Н.С. Курнакова РАН
Email: anna_egorysheva@rambler.ru
Россия, 119991, Москва,
Ленинский пр-т, 31
Д. И. Кирдянкин
Институт общей и неорганической химии им. Н.С. Курнакова РАН
Email: anna_egorysheva@rambler.ru
Россия, 119991, Москва,
Ленинский пр-т, 31
В. К. Имшенник
Федеральный исследовательский центр химической физики им. Н.Н. Семенова РАН
Email: anna_egorysheva@rambler.ru
Россия, 119991, Москва, ул. Косыгина, 4
Е. С. Куликова
Национальный исследовательский центр “Курчатовский институт”
Email: anna_egorysheva@rambler.ru
Россия, 123182, Москва,
пл. Академика Курчатова, 1
А. В. Егорышева
Институт общей и неорганической химии им. Н.С. Курнакова РАН
Автор, ответственный за переписку.
Email: anna_egorysheva@rambler.ru
Россия, 119991, Москва,
Ленинский пр-т, 31
Список литературы
- Dzyaloshinsky I. // J. Phys. Chem. Solids. 1958. V. 4. P. 241. https://doi.org/10.1016/0022-3697(58)90076-3
- Matarrese L.M., Stout J.W. // Phys. Rev. 1954. V. 94. P. 1792. https://doi.org/10.1103/PhysRev.94.1792
- Боровик-Романов А.С., Орлова М.П. // ЖЭТФ. 1956. Т. 31. С. 579.
- Yuan X., Sun Y., Xu M. // J. Solid State Chem. 2012. V. 196. P. 362. https://doi.org/10.1016/j.jssc.2012.06.042
- Bernal F.L.M., Gonano B., Lundvall F. et al. // Phys. Rev. Mater. 2020. V. 4. P. 114412. https://doi.org/10.1103/PhysRevMaterials.4.114412
- Eibschütz M., Shtrikman S., Treves D. // Phys. Rev. 1967. V. 156. P. 562. https://doi.org/10.1103/PhysRev.156.562
- Dmitrienko V.E., Ovchinnikova E.N., Collins S.P. et al. // Nat. Phys. 2014. V. 10. P. 202. https://doi.org/10.1038/nphys2859
- Москвин А.С. // ЖЭТФ. 2021. Т. 159. № 4. С. 607.
- Yamaguchi T. // J. Phys. Chem. Solids. 1974. V. 35. P. 479. https://doi.org/10.1016/S0022-3697(74)80003-X
- Kurtzig A.J., Wolfe R., LeCraw R.C. et al. // Appl. Phys. Lett. 1969. V. 14. P. 350. https://doi.org/10.1063/1.1652682
- Lee J.-H., Jeong Y.K., Park J.H. et al. // Phys. Rev. Lett. 2011. V. 107. P. 117201. https://doi.org/10.1103/PhysRevLett.107.117201
- Klepov V.V., Pace K.A., Berseneva A.A. et al. // J. Am. Chem. Soc. 2021. V. 143. P. 11554. https://doi.org/10.1021/jacs.1c04245
- Zhu W.K., Lu C.-K., Tong W. et al. // Phys. Rev. B. 2015. V. 91. P. 144408. https://doi.org/10.1103/PhysRevB.91.144408
- Egorysheva A.V., Ellert O.G., Popova E.F. et al. // Mendeleev Commun. 2023 (в печати).
- Pressley L.A., Torrejon A., Phelan W.A. et al. // Inorg. Chem. 2020. V. 59. P. 17251. https://doi.org/10.1021/acs.inorgchem.0c02479
- Егорышева А.В., Попова Е.Ф., Тюрин А.В. и др. // Журн. неорган. химии. 2019. Т. 64. № 11. С. 1154.
- Егорышева А.В., Эллерт О.Г., Попова Е.Ф. и др. // Журн. неорган. химии. 2022. Т. 67. № 11. С. 1515.
- Qian F.Z., Jiang J.S., Jiang D.M. et al. // J. Phys. D: Appl. Phys. 2010. V. 43. P. 025403. https://doi.org/10.1088/0022-3727/43/2/025403
- Kothari D., Reddy V.R., Gupta A. et al. // J. Phys.: Condens. Matter. 2010. V. 22. P. 356001. https://doi.org/10.1088/0953-8984/22/35/356001
- Ellert O.G., Egorysheva A.V. // Pyrochlore Ceramics. Properties, Processing, and Applications. Amsterdam: Elsevier, 2022. https://doi.org/10.1016/B978-0-323-90483-4.00009-X
- Morin F.J. // Phys. Rev. 1950. V. 78. P. 819. https://doi.org//10.1103/PhysRev.78.819.2
- Tsymbal L.T., Kamenev V.I., Bazaliy Y.B. et al. // Phys. Rev. B. 2005. V. 72. P. 052413. https://doi.org/10.1103/PhysRevB.72.052413
- Pinto H., Shachar G., Shaked H. et al. // Phys. Rev. B. 1971. V. 3. P. 3861. https://doi.org/10.1103/PhysRevB.3.3861
- Doroshev V.D., Kharnachev A.S., Kovtun N.M. et al. // Phys. Stat. Sol. B. 1972. V. 51. P. 31. https://doi.org/10.1002/pssb.2220510150
- Bertaut I.F. // Acta Crystallogr. A. 1968. V. 24. P. 217. https://doi.org/10.1107/S0567739468000306
- Bhattacharjee S., Senyshyn A., Fuess H. et al. // Phys. Rev. B. 2013. V. 87. P. 054417. https://doi.org/10.1103/PhysRevB.87.054417
Дополнительные файлы









