Synthesis, Structure, and Electrochemical Properties of Cobalt Complex Based on N-(2,5-Bis(methoxycarbonyl)phenyl)-α-diphenylphosphorylglycinate
- Authors: Sakhapov I.F.1, Kagilev A.A.1,2, Kantyukov A.O.1,2, Mikhailov I.K.1,2, Sof’icheva O.S.1, Islamov D.R.3, Gafurov Z.N.1, Yakhvarov D.G.1,2
-
Affiliations:
- Arbuzov Institute of Organic and Physical Chemistry, FRC Kazan Scientific Center, Russian Academy of Sciences
- Alexander Butlerov Institute of Chemistry, Kazan Federal University
- Laboratory for Structural Analysis of Biomacromolecules, FRC Kazan Scientific Center, Russian Academy of Sciences
- Issue: Vol 68, No 9 (2023)
- Pages: 1287-1292
- Section: КООРДИНАЦИОННЫЕ СОЕДИНЕНИЯ
- URL: https://bakhtiniada.ru/0044-457X/article/view/136497
- DOI: https://doi.org/10.31857/S0044457X23601098
- EDN: https://elibrary.ru/WOIXFC
- ID: 136497
Cite item
Full Text
Abstract
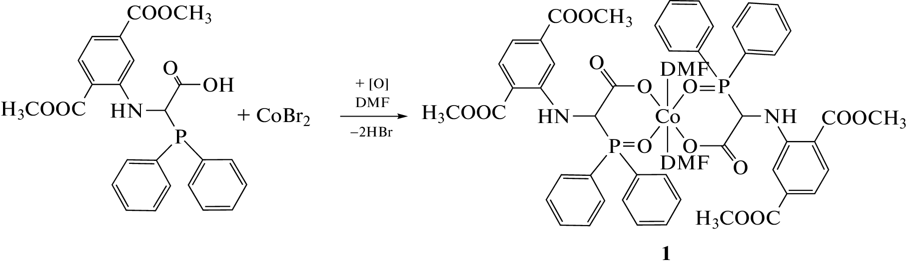
New bis-chelate cobalt(II) complex [Co(DPG)2(DMF)2] (1), where DPG is N-(2,5-bis(methoxycarbonyl)phenyl)-α-diphenylphosphorylglycinate, has been prepared and characterized. The complex is the first example of cobalt complex containing phosphorylated derivative of α-amino acid. Octahedral coordination geometry of the cobalt complex 1 has been determined by X-ray diffraction. Electrochemical reduction of the obtained complex has been found to be irreversible two-electron process (
= –1.70 V vs Ag/AgNO3, 1 × 10–2 М in CH3CN), resulting in formation of cobalt metal adsorbed on the surface of working electrode.
About the authors
I. F. Sakhapov
Arbuzov Institute of Organic and Physical Chemistry, FRC Kazan Scientific Center, Russian Academy of Sciences
Email: ilyas.sakhapov@iopc.ru
420088, Kazan, Russia
A. A. Kagilev
Arbuzov Institute of Organic and Physical Chemistry, FRC Kazan Scientific Center, Russian Academy of Sciences; Alexander Butlerov Institute of Chemistry, Kazan Federal University
Email: yakhvar@iopc.ru
420088, Kazan, Russia; 420008, Kazan, Russia
A. O. Kantyukov
Arbuzov Institute of Organic and Physical Chemistry, FRC Kazan Scientific Center, Russian Academy of Sciences; Alexander Butlerov Institute of Chemistry, Kazan Federal University
Email: yakhvar@iopc.ru
420088, Kazan, Russia; 420008, Kazan, Russia
I. K. Mikhailov
Arbuzov Institute of Organic and Physical Chemistry, FRC Kazan Scientific Center, Russian Academy of Sciences; Alexander Butlerov Institute of Chemistry, Kazan Federal University
Email: yakhvar@iopc.ru
420088, Kazan, Russia; 420008, Kazan, Russia
O. S. Sof’icheva
Arbuzov Institute of Organic and Physical Chemistry, FRC Kazan Scientific Center, Russian Academy of Sciences
Email: yakhvar@iopc.ru
420088, Kazan, Russia
D. R. Islamov
Laboratory for Structural Analysis of Biomacromolecules, FRC Kazan Scientific Center, Russian Academy of Sciences
Email: yakhvar@iopc.ru
420011, Kazan, Russia
Z. N. Gafurov
Arbuzov Institute of Organic and Physical Chemistry, FRC Kazan Scientific Center, Russian Academy of Sciences
Email: yakhvar@iopc.ru
420088, Kazan, Russia
D. G. Yakhvarov
Arbuzov Institute of Organic and Physical Chemistry, FRC Kazan Scientific Center, Russian Academy of Sciences; Alexander Butlerov Institute of Chemistry, Kazan Federal University
Author for correspondence.
Email: yakhvar@iopc.ru
420088, Kazan, Russia; 420008, Kazan, Russia
References
- Kotha S., Goyal D., Chavan A.S. // J. Org. Chem. 2013. V. 78. № 24. P. 12288. https://doi.org/10.1021/jo4020722
- Noisier A.F.M., Brimble M.A. // Chem. Rev. 2014. V. 114. № 18. P. 8775. https://doi.org/10.1021/cr500200x
- Mondal S., Chowdhury S. // Adv. Synth. Catal. 2018. V. 360. № 10. P. 1884. https://doi.org/10.1002/adsc.201800011
- Lewis J.C. // Curr. Opin. Chem. Biol. 2015. V. 25. P. 27. https://doi.org/10.1016/j.cbpa.2014.12.016
- Heravi M.M., Vavsari V.F. // Adv. Heterocycl. Chem. 2015. V. 114. P. 77. https://doi.org/10.1016/bs.aihch.2015.02.002
- Roy S.G., De P. // J. Appl. Polym. Sci. 2014. V. 131. № 20. P. 41084. https://doi.org/10.1002/app.41084
- Зарезин Д.П., Ненайденко В.Г. // Успехи химии. 2019. Т. 88. № 3. С. 248.
- Софьичева О.С., Кислицын Ю.А., Нестерова А.А., Добрынин А.Б., Яхваров Д.Г. // Электрохимия. 2020. Т. 56. № 5. С. 456.
- Soficheva O.S., Nesterova A.A., Dobrynin A.B. et al. // Mendeleev Commun. 2020. V. 30. № 4. P. 516. https://doi.org/10.1016/j.mencom.2020.07.038
- Lach J., Peulecke N., Kindermann M.K. et al. // Tetrahedron 2015. V. 71. № 30. P. 4933. https://doi.org/10.1016/j.tet.2015.05.101
- Wardle N., Annie Bligh S., Hudson H. // Curr. Org. Chem. 2007. V. 11. № 18. P. 1635. https://doi.org/10.2174/138527207783221200
- Ferreira P.M.T., Monteiro L.S. // N,N-diprotected dehydroamino acid derivatives: Versatile substrates for the synthesis of novel amino acids, in: Targets Heterocycl. Syst., 2006: pp. 152–174
- Marsh R.E., Donohue J. // Adv. Protein Chem. 1967. V. 22C. P. 235. https://doi.org/10.1016/S0065-3233(08)60042-X
- Peulecke N., Kindermann M.K., Köckerling M. et al. // Polyhedron. 2012. V. 41. № 1. P. 61. https://doi.org/10.1016/j.poly.2012.04.019
- Peulecke N., Yakhvarov D.G., Heinicke J.W. // Eur. J. Inorg. Chem. 2019. V. 2019. № 11. P. 1507. https://doi.org/10.1002/ejic.201801130
- Kagileva A.A., Kagilev A.A., Kantyukov A.O. et al. // New J. Chem. 2022. V. 46. № 36. P. 17303. https://doi.org/10.1039/d2nj02578g
- Dutta A., Du Bois D.L., Roberts J.A.S. et al. // Proc. Natl. Acad. Sci. USA. 2014. V. 111. № 46. P. 16286. https://doi.org/10.1073/pnas.1416381111
- Oughli A.A., Ruff A., Boralugodage N.P. et al. // Nat. Commun. 2018. V. 9. № 1. P. 1. https://doi.org/10.1038/s41467-018-03011-7
- Galan B.R., Reback M.L., Jain A. et al. // Eur. J. Inorg. Chem. 2013. V. 2013. № 30. P. 5366. https://doi.org/10.1002/ejic.201300751
- Priyadarshani N., Ginovska B., Bays J.T. et al. // Dalt. Trans. 2015. V. 44. № 33. P. 14854. https://doi.org/10.1039/c5dt01649e
- Buhaibeh R., Filippov O.A., Bruneau-Voisine A. et al. // Angew. Chem. Int. Ed. 2019. V. 58. № 20. P. 6727. https://doi.org/10.1002/anie.201901169
- Lach J., Guo C.Y., Kindermann M.K. et al. // Eur. J. Org. Chem. 2010. V. 2010. № 6. P. 1176. https://doi.org/10.1002/ejoc.200901251
- Фомина О., Яхваров Д.Г., Хайнике И. et al. // Ученые записки Казанского университета 2012. Т. 154. № 3.
- Sheldrick G.M. // Acta Crystallogr., Sect. A: Found. Crystallogr. 2015. V. 71. № 1. P. 3. https://doi.org/10.1107/S2053273314026370
- Sheldrick G.M. // Acta Crystallogr., Sect. A: Found. Crystallogr. 2008. V. 64. № 1. P. 112. https://doi.org/10.1107/S0108767307043930
- Macrae C.F., Edgington P.R., McCabe P. et al. // J. Appl. Crystallogr. 2006. V. 39. № 3. P. 453. https://doi.org/10.1107/S002188980600731X
- Khusnuriyalova A.F., Petr A., Gubaidullin A.T. et al. // Electrochim. Acta 2018. V. 260. P. 324. https://doi.org/10.1016/j.electacta.2017.12.050
Supplementary files







