Замещенные фталимиды, связанные с цимантренильным фрагментом: молекулы с настраиваемыми оптическими и электрохимическими свойствами
- Авторы: Келбышева Е.С.1, Стрелкова Т.В.1, Езерницкая М.Г.1, Алексеев В.Г.2, Телегина Л.Н.1
-
Учреждения:
- Институт элементоорганических соединений им. А.Н. Несмеянова РАН
- Тверской государственный университет, Химико-технологический факультет
- Выпуск: Том 68, № 9 (2023)
- Страницы: 1265-1276
- Раздел: КООРДИНАЦИОННЫЕ СОЕДИНЕНИЯ
- URL: https://bakhtiniada.ru/0044-457X/article/view/136495
- DOI: https://doi.org/10.31857/S0044457X23600949
- EDN: https://elibrary.ru/YFGNEA
- ID: 136495
Цитировать
Полный текст
Аннотация
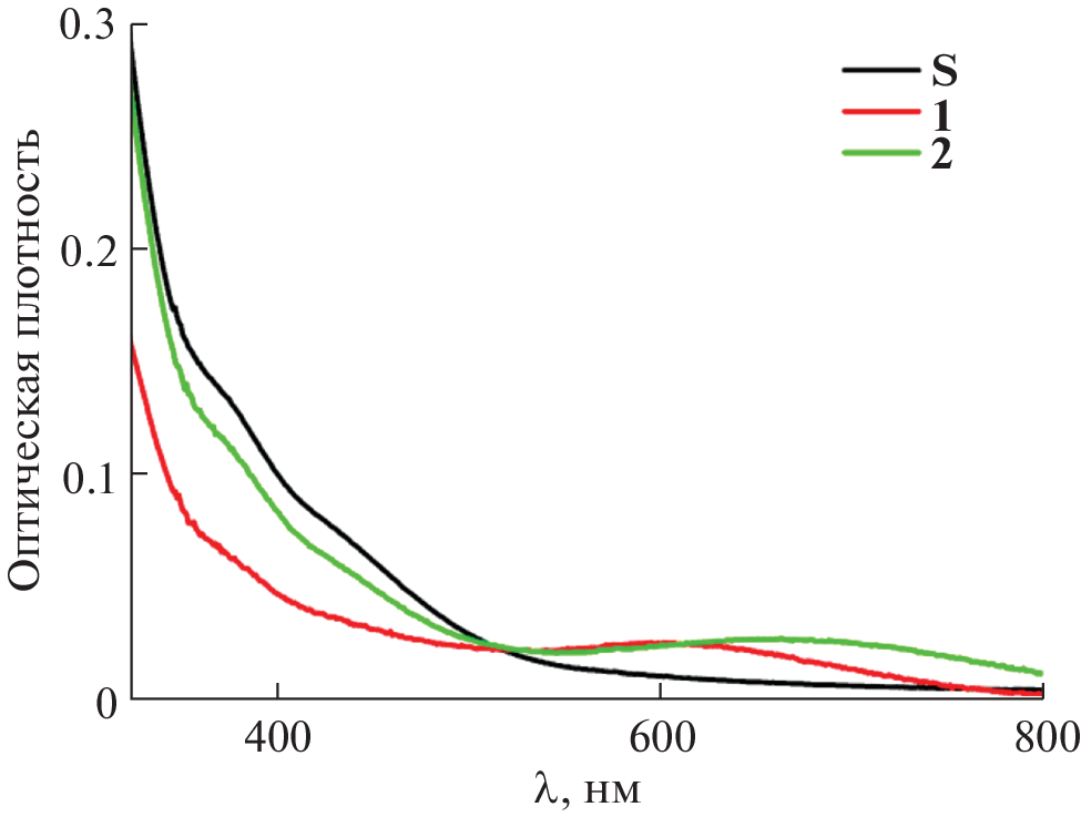
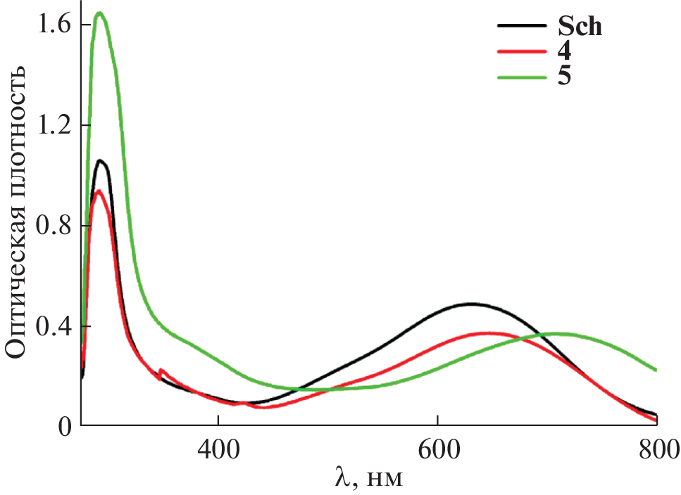
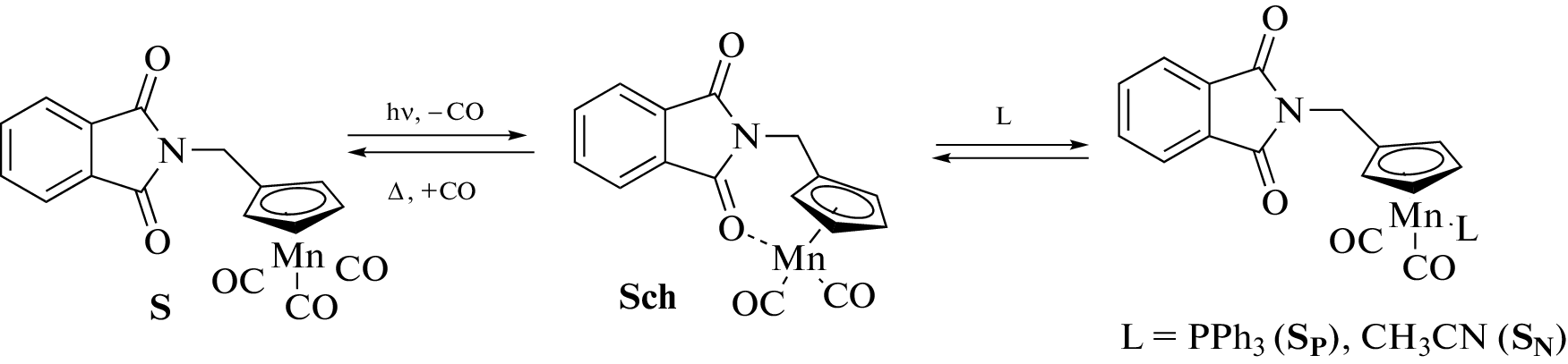
Представлены результаты исследования оптических и электрохимических свойств замещенных фталимидов, связанных с цимантренильным фрагментом, методами ИК- и ЯМР-спектроскопии, электронной спектроскопии поглощения и циклической вольтамперометрии, а также при помощи DFT-расчетов. Показано, что на оптические, донорно-акцепторные и окислительно-восстановительные свойства металлоорганических фталимидов оказывает влияние введение заместителя как в положение 1 боковой цепи Ср-кольца цимантрена, так и в положение 4 бензольного кольца фталимида. При этом взаимодействие в темновых условиях дикарбонильных хелатов с внешними лигандами свидетельствует о хемилабильности связи Mn–O=C(имид).
Ключевые слова
Об авторах
Е. С. Келбышева
Институт элементоорганических соединений им. А.Н. Несмеянова РАН
Email: kellena80@mail.ru
Россия, 119334, Москва, ул. Вавилова, 28
Т. В. Стрелкова
Институт элементоорганических соединений им. А.Н. Несмеянова РАН
Email: kellena80@mail.ru
Россия, 119334, Москва, ул. Вавилова, 28
М. Г. Езерницкая
Институт элементоорганических соединений им. А.Н. Несмеянова РАН
Email: kellena80@mail.ru
Россия, 119334, Москва, ул. Вавилова, 28
В. Г. Алексеев
Тверской государственный университет, Химико-технологический факультет
Email: kellena80@mail.ru
Россия, 170100, Тверь, ул. Желябова, 33
Л. Н. Телегина
Институт элементоорганических соединений им. А.Н. Несмеянова РАН
Автор, ответственный за переписку.
Email: kellena80@mail.ru
Россия, 119334, Москва, ул. Вавилова, 28
Список литературы
- Jun-ichi Nishida, Yoshiki Morikawa, Akito Hashimoto et al. // Mater. Adv. 2021. V. 2. P. 7861. https://doi.org/10.1039/d1ma00716e
- Biao Chen, Xuepeng Zhang, Yucai Wang et al. // Chem. Asian J. 2019. V. 14. P. 751. https://doi.org/10.1002/asia.201801002
- Georgiev A., Yordanov D., Dimov D. et al. // J. Photochem. Photobiol. A. 2020. V. 393. P. 112443. https://doi.org/10.1016/j.jphotochem.2020.112443
- Venkatramaiah N., Dinesh Kumar G., Chandrasekaran Y. et al. // ACS Appl. Mater. Interfaces. 2018. V. 10. P. 3838. https://doi.org/10.1021/acsami.7b11025
- Xiaodong He, Lunxiang Yin, Yanqin Li // New J. Chem. 2019. V. 43. P. 6577. https://doi.org/10.1039/C9NJ00600A
- Fanyong Yan, Chunhui Yi, Zhonghua Hao et al. // Colloids Surf., A. 2022. V. 650. P. 129626. https://doi.org/10.1016/j.colsurfa.2022.129626
- Zawadzka M., Nitschke P., Musioł M. et al. // Molecules. 2023. V. 28. № 4. P. 1740. https://doi.org/10.3390/molecules28041740
- Çakal D., Ertan S., Cihaner A. et al. // Dyes Pigm. 2019. V. 161. P. 411. https://doi.org/10.1016/j.dyepig.2018.10.002
- Wei Lv, Huijiao Liu, Wen Wang et al. // RSC Adv. 2017. V. 7. P. 18384. https://doi.org/10.1039/C6RA28757C
- Zhijun Li, Yong Jin Jeong, JisuHong et al. // ACS Appl. Mater. Interfaces. 2022. V. 14. P. 7073. https://doi.org/10.1021/acsami.1c20278
- Dierschke F., Jacob J., Mullen K. // Synth. Met. 2006. V. 156. P. 433. https://doi.org/10.1016/j.synthmet.2005.11.016
- Quanyou Feng, Xiaojun Zheng, Hongjian Wang et al. // Mater. Adv. 2021. V. 2. P. 4000. https://doi.org/10.1039/d1ma00181g
- Orita R., Franckevicius M., Vysniauskas A. et al. // Phys. Chem. Chem. Phys. 2018. V. 20. P. 16033. https://doi.org/10.1039/c8cp01999a
- Taku Shoji, Nanami Iida, Akari Yamazaki et al. // Org. Biomol. Chem. 2020. V. 18. P. 2274. https://doi.org/10.1039/d0ob00164c
- Yizhen Zhan, Xue Zhao, Wei Wang et al. // Dyes Pigm. 2017. V. 146. P. 240. https://doi.org/10.1016/j.dyepig.2017.07.013
- Singha D., Sahu D.K., Sahu K. et al. // J. Phys. Chem. B. 2018. V. 122. P. 6966. https://doi.org/10.1021/acs.jpcb.8b03901
- Tan A., Bozkurt E., Kara Y. et al. // J. Fluoresc. 2017. V. 27. P. 981. https://doi.org/10.1007/s10895-017-2033-2
- Majhi D., Das S.K., Sahu P.K. et al. // Phys. Chem. Chem. Phys. 2014. V. 16. P. 18349. https://doi.org/10.1039/c4cp01912a
- Yuanyuan Qin, Guoping Li, Ting Qi et al. // Mater. Chem. Front. 2020. V. 4. P. 1554. https://doi.org/10.1039/D0QM00084A
- Kelbysheva E.S., Strelkova T.V., Ezernitskaya M.G. et al. // Chem. Select. 2023. V. 8. P. e202204162. https://doi.org/10.1002/slct.202204162
- Kelbysheva E.S., Telegina L.N., Ershova E.A. et al. // Russ. Chem. Bull. 2017. V. 66. № 2. P. 327. https://doi.org/10.1007/s11172-017-1735-6
- Yang P.F., Yang G.K. // J. Am. Chem. Soc. 1992. V. 114. P. 6937. https://doi.org/10.1021/ja00043a061
- Kelbysheva E.S., Strelkova T.V., Ezernitskaya M.G. et al. // Chem. Select. 2021. V. 6. P. 9861. https://doi.org/10.1002/slct.202102464
- Kelbysheva E.S., Telegina L.N., Abramova O.V. et al. // Russ. Chem. Bull. 2015. V. 11. P. 2646. https://doi.org/10.1007/s11172-015-1203-0
- Zhang C., Niu Z., Ding Y. et al. // Chem. 2018. V. 4. P. 2814. https://doi.org/10.1016/j.chempr.2018.08.024
- Hendsbee A.D., McAfee S.M., Sun J.-P. et al. // J. Mater. Chem. C. 2015. V. 3. P. 8904. https://doi.org/10.1039/c5tc01877c
- Wu K., Pudasaini B., Park J.Y. et al. // Organometallics. 2020. V. 3. P. 679. https://doi.org/10.1021/acs.organomet.9b00822
- Kostyuchenko A.S., Kurowska A., Zassowski P. et al. // J. Org. Chem. 2019. V. 84. P. 10040. https://doi.org/10.1021/acs.joc.9b01216
Дополнительные файлы











