Строение и термические свойства бензоилтрифторацетоната скандия(III)
- Авторы: Сартакова А.В.1,2, Макаренко А.М.1, Куратьева Н.В.1, Пищур Д.П.1, Сысоев С.В.1, Викулова Е.С.1, Жерикова К.В.1
-
Учреждения:
- Институт неорганической химии им. А.В. Николаева СО РАН
- Новосибирский государственный университет
- Выпуск: Том 68, № 9 (2023)
- Страницы: 1217-1225
- Раздел: КООРДИНАЦИОННЫЕ СОЕДИНЕНИЯ
- URL: https://bakhtiniada.ru/0044-457X/article/view/136482
- DOI: https://doi.org/10.31857/S0044457X23600718
- EDN: https://elibrary.ru/YDKTCT
- ID: 136482
Цитировать
Полный текст
Аннотация
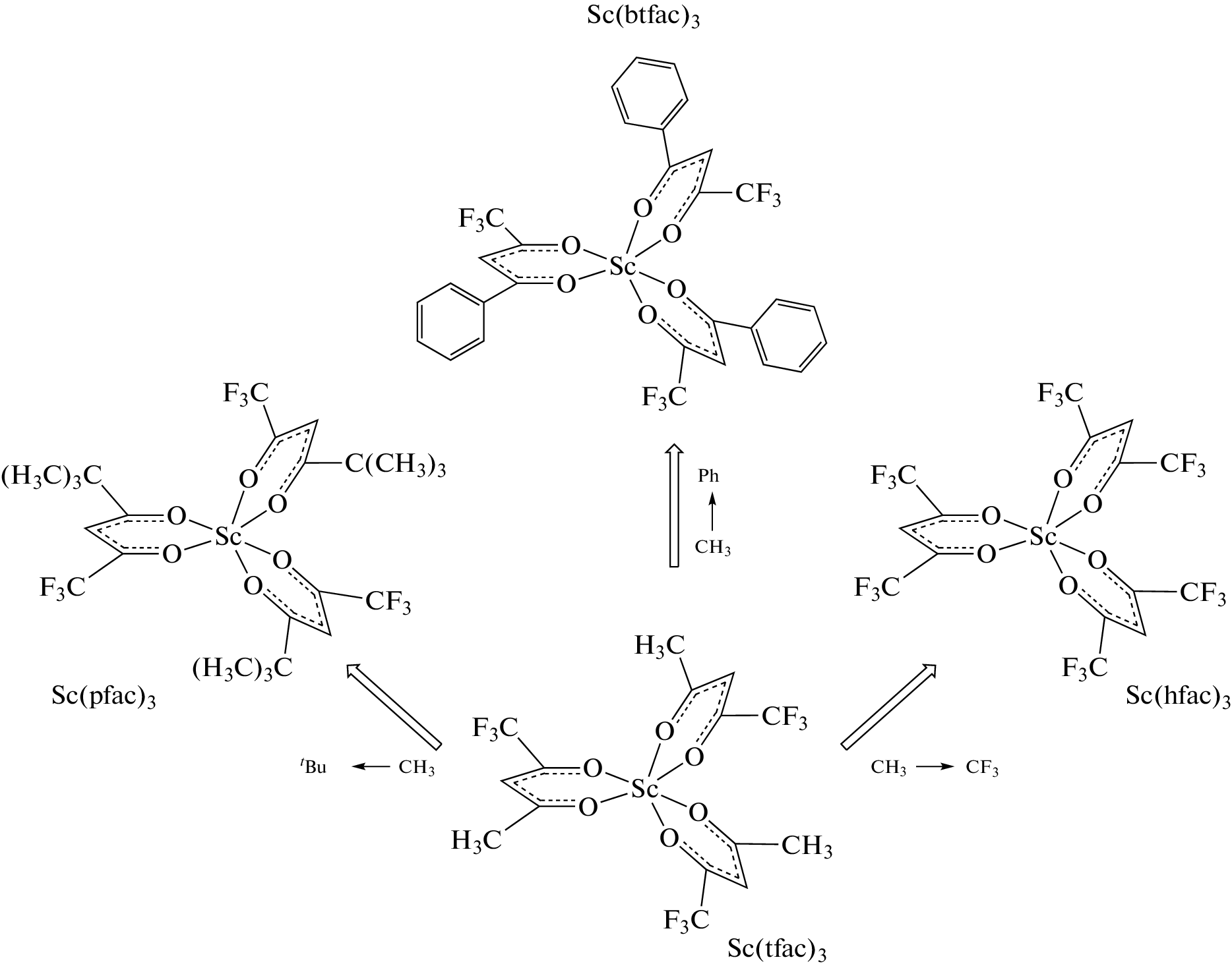
Синтезирован, очищен и изучен методами элементного анализа и ПМР-спектроскопии бензоилтрифторацетонат скандия(III) [Sc(btfac)3]. Методом РСА при 150 K определена его структура. Комплекс имеет молекулярное строение и является ос-изомером. Все лиганды координированы по бидентатно-циклическому типу, скандий находится в искаженно-октаэдрическом окружении, d(Sc–O) = = 2.0681(2)–2.094(2) Å. Реализуются два вида стэкинг-взаимодействий. Термические свойства в конденсированной фазе исследованы методами термического анализа и дифференциальной сканирующей калориметрии, определены температура (399.1 ± 0.5 K), энтальпия (\({{\Delta }_{{{\text{{п}{л}}}}}}H_{{{{T}_{{{\text{{п}{л}}}}}}}}^{^\circ }\) = 36.8 ± 1.3 кДж/моль) и энтропия плавления (\({{\Delta }_{{{\text{{п}{л}}}}}}S_{{{{T}_{{{\text{{п}{л}}}}}}}}^{^\circ }\) = 92.2 ± 3.3 Дж/(K моль)) комплекса. Методом потока (переноса) получена температурная зависимость давления насыщенного пара [Sc(btfac)3] в интервале температур 413–443 K, на основании которой рассчитаны термодинамические характеристики процесса испарения при средней температуре: \({{{\text{\Delta }}}_{{{\text{{и}{с}{п}}}}}}H_{{430}}^{^\circ }\) = 135 ± 4 кДж/моль, \({{{\text{\Delta }}}_{{{\text{{и}{с}{п}}}}}}S_{{430}}^{^\circ }\) = 212 ± 9 Дж/(K моль). Проведено сравнение строения и термических свойств бензоилтрифторацетоната скандия(III) с трис-β-дикетонатными комплексами скандия.
Об авторах
А. В. Сартакова
Институт неорганической химии им. А.В. Николаева СО РАН; Новосибирский государственный университет
Email: ksenia@niic.nsc.ru
Россия, 630090, Новосибирск,
пр-т Академика Лаврентьева, 3; Россия, 630090, Новосибирск, ул. Пирогова, 1
А. М. Макаренко
Институт неорганической химии им. А.В. Николаева СО РАН
Email: ksenia@niic.nsc.ru
Россия, 630090, Новосибирск,
пр-т Академика Лаврентьева, 3
Н. В. Куратьева
Институт неорганической химии им. А.В. Николаева СО РАН
Email: ksenia@niic.nsc.ru
Россия, 630090, Новосибирск,
пр-т Академика Лаврентьева, 3
Д. П. Пищур
Институт неорганической химии им. А.В. Николаева СО РАН
Email: ksenia@niic.nsc.ru
Россия, 630090, Новосибирск,
пр-т Академика Лаврентьева, 3
С. В. Сысоев
Институт неорганической химии им. А.В. Николаева СО РАН
Email: ksenia@niic.nsc.ru
Россия, 630090, Новосибирск,
пр-т Академика Лаврентьева, 3
Е. С. Викулова
Институт неорганической химии им. А.В. Николаева СО РАН
Email: ksenia@niic.nsc.ru
Россия, 630090, Новосибирск,
пр-т Академика Лаврентьева, 3
К. В. Жерикова
Институт неорганической химии им. А.В. Николаева СО РАН
Автор, ответственный за переписку.
Email: ksenia@niic.nsc.ru
Россия, 630090, Новосибирск,
пр-т Академика Лаврентьева, 3
Список литературы
- Song X., Chang M.H., Pecht M. // JOM. 2013. V. 65. P. 1276. https://doi.org/10.1007/s11837-013-0737-6
- Xu Z., Daga A., Chen H. // Appl. Phys. Lett. 2001. V. 79. P. 3782. https://doi.org/10.1063/1.1424072
- Al-Kuhaili M.F. // Thin Solid Films. 2003. V. 426. № 1–2. P. 178. https://doi.org/10.1016/S0040-6090(03)00015-4
- Takaichi K., Yagi H., Becker P. et al. // Laser Phys. Lett. 2007. V. 4. P. 507. https://doi.org/10.1002/lapl.200710020
- Lupei V., Pavel N., Lupei A. // Laser Phys. 2014. V. 24. № 4. P. 045801. https://doi.org/10.1088/1054-660X/24/4/045801
- Selvakumar J., Raghunathan V.S., Nagaraja K.S. // Chem. Vap. Depos. 2009. V. 15. № 10–12. P. 262. https://doi.org/10.1002/cvde.200906792
- Zherikova K.V., Zelenina L.N., Chusova T.P. et al. // Phys. Procedia. 2013. V. 46. P. 200. https://doi.org/10.1016/j.phpro.2013.07.068
- Kong P., Pu Y., Ma P. et al. // Thin Solid Films. 2020. V. 714. P. 138357. https://doi.org/10.1016/j.tsf.2020.138357
- Karavaev I.A., Savinkina E.V., Grigor’ev M.S. et al. // Russ. J. Inorg. Chem. 2022. V. 67. № 8. P. 1178. https://doi.org/10.1134/S0036023622080186
- De Rouffignac P., Yousef A.P., Kim K.H. et al. // Electrochem. Solid State Lett. 2006. V. 9. № 6. P. F45. https://doi.org/10.1149/1.2191131
- Smirnova T.P., Yakovkina L.V., Borisov V.O. et al. // J. Struct. Chem. 2017. V. 58. P. 1573. https://doi.org/10.1134/S0022476617080145
- Jeong D., Kim J., Kwon O. et al. // Appl. Sci. 2018. V. 8. № 11. P. 2217. https://doi.org/10.3390/app8112217
- Jung E.Y., Park C.S., Hong T.E. et al. // Jap. J. Appl. Phys. 2014. V. 53. № 3. P. 036002. https://doi.org/10.7567/JJAP.53.036002
- Anderson T.J., Neuman M.A., Melson G.A. // Inorg. Chem. 1973. V. 12. № 4. P. 927. https://doi.org/10.1021/ic50122a046
- Bennett D.W., Siddiquee T.A., Haworth D.T. et al. // J. Chem. Crystallogr. 2007. V. 37. P. 207. https://doi.org/10.1007/s10870-006-9171-8
- Zherikova K.V., Kuratieva N.V. // J. Struct. Chem. 2019. V. 60. P. 1622. https://doi.org/10.1134/S002247661910007X
- Smolentsev A.I., Zherikova K.V., Trusov M.S. et al. // J. Struct. Chem. 2011. V. 52. P. 1070. https://doi.org/10.1134/S0022476611060059
- Makarenko A.M., Kuratieva N.V., Pischur D.P. et al. // Russ. J. Inorg. Chem. 2023. V. 68. № 2. P. 183. https://doi.org/10.1134/S0036023622602215
- Rossini A.J., Schurko R.W. // J. Am. Chem. Soc. 2006. V. 128. № 32. P. 10391. https://doi.org/10.1021/ja060477w
- Makarenko A.M., Zaitsau D.H., Zherikova K.V. // Coatings. 2023. V. 13. P. 535. https://doi.org/10.3390/coatings13030535
- Fadeeva V.P., Tikhova V.D., Nikulicheva O.N. // J. Anal. Chem. 2008. V. 63. P. 1094. https://doi.org/10.1134/S1061934808110142
- Sheldrick G.M. // Acta Crystallogr. 2015. V. C71. № 1. P. 3. https://doi.org/10.1107/S2053229614024218
- Vikulova E.S., Cherkasov S.A., Nikolaeva N.S. et al. // J. Therm. Anal. Calorim. 2019. V. 135. P. 2573. https://doi.org/10.1007/s10973-018-7371-z
- Eisentraut K., Sievers R., Coucouvanis D. et al. // Inorganic syntheses. USA: McGraw-Hill, 1968. P. 94. https://doi.org/10.1002/9780470132425.ch17
- Zherikova K.V., Zelenina L.N., Chusova T.P. et al. // J. Chem. Thermodyn. 2016. V. 101. P. 162. https://doi.org/10.1016/j.jct.2016.05.020
- Zelenina L.N., Zherikova K.V., Chusova T.P. et al. // Thermochim. Acta. 2020. V. 689. P. 178639. https://doi.org/10.1016/j.tca.2020.178639
- Stathatos E., Lianos P., Evgeniou E. et al. // Synth. Met. 2003. V. 139. № 2. P. 433. https://doi.org/10.1016/S0379-6779(03)00204-2
- Matsubara N., Kuwamoto T. // Inorg. Chem. 1985. V. 24. № 17. P. 2697. https://doi.org/10.1021/ic00211a022
Дополнительные файлы








