Synthesis, Structures, Optical, and Electrochemical Properties of Bis-Cyclometallated Iridium(III) Complexes with N-Benzylbenzimidazoles
- Authors: Smirnov D.Е.1, Tatarin S.V.1, Kiseleva M.A.1,2, Taydakov I.V.3,4, Metlin M.T.3, Bezzubov S.I.1
-
Affiliations:
- Kurnakov Institute of General and Inorganic Chemistry, Russian Academy of Sciences
- Moscow State University
- P.N. Lebedev Physical Institute, Russian Academy of Sciences
- N.D. Zelinsky Institute of Organic Chemistry, Russian Academy of Sciences
- Issue: Vol 68, No 9 (2023)
- Pages: 1202-1210
- Section: КООРДИНАЦИОННЫЕ СОЕДИНЕНИЯ
- URL: https://bakhtiniada.ru/0044-457X/article/view/136479
- DOI: https://doi.org/10.31857/S0044457X23601049
- EDN: https://elibrary.ru/YFVIQG
- ID: 136479
Cite item
Full Text
Abstract
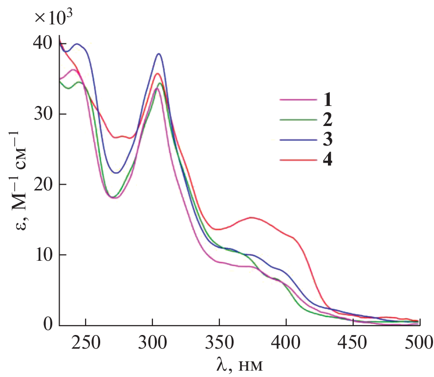
A series of bis-cyclometallated iridium(III) complexes with various 2-aryl-1-benzylbenzimidazoles (aryl is 4-chlorophenyl, 4-tert-butylphenyl, 3,4-dimethoxyphenyl) and 4,4'-dicarboxy-2,2'-bipyridine have been prepared. The synthesized complexes have been studied by 1H NMR spectroscopy, high-resolution mass spectrometry, X-ray diffraction analysis, spectrophotometry, luminescent spectroscopy, and cyclic voltammetry. In the electronic spectra of the complexes, the absorption bands show a noticeable bathochromic shift with an increase in the electron-donating properties of the benzimidazole ligand. In solution, the complexes exhibit photoluminescence in the yellow–red region of the spectrum with a quantum yield in the range of 0.4–7.7% and an excited state lifetime in the range of 71–408 ns. According to cyclic voltammetry data, quasi-reversible redox transitions are observed in solutions of the studied complexes (Eox = 1.16–1.57 V vs. SHE, acetonitrile).
About the authors
D. Е. Smirnov
Kurnakov Institute of General and Inorganic Chemistry, Russian Academy of Sciences
Email: bezzubov@igic.ras.ru
119991, Moscow, Russia
S. V. Tatarin
Kurnakov Institute of General and Inorganic Chemistry, Russian Academy of Sciences
Email: bezzubov@igic.ras.ru
119991, Moscow, Russia
M. A. Kiseleva
Kurnakov Institute of General and Inorganic Chemistry, Russian Academy of Sciences; Moscow State University
Email: bezzubov@igic.ras.ru
119991, Moscow, Russia; 119991, Moscow, Russia
I. V. Taydakov
P.N. Lebedev Physical Institute, Russian Academy of Sciences; N.D. Zelinsky Institute of Organic Chemistry, Russian Academy of Sciences
Email: bezzubov@igic.ras.ru
119991, Moscow, Russia
M. T. Metlin
P.N. Lebedev Physical Institute, Russian Academy of Sciences
Email: bezzubov@igic.ras.ru
119991, Moscow, Russia
S. I. Bezzubov
Kurnakov Institute of General and Inorganic Chemistry, Russian Academy of Sciences
Author for correspondence.
Email: bezzubov@igic.ras.ru
119991, Moscow, Russia
References
- Zysman-Colman E. (ed.). Iridium(III) in Optoelectronic and Photonics Applications. Chichester: Wiley, 2017. 753 p. https://doi.org/10.1002/9781119007166
- Zhang C., Liu R., Zhang D. et al. // Adv. Funct. Mater. 2020. V. 30. № 33. P. 1907156. https://doi.org/10.1002/adfm.201907156
- Kabir E., Wu Y., Sittel S. et al. // Inorg. Chem. Front. 2020. V. 7. № 6. P. 1362. https://doi.org/10.1039/C9QI01584A
- Zhang Y., Qiao J. // iScience. 2021. V. 24. № 8. P. 102858. https://doi.org/10.1016/j.isci.2021.102858
- Schreier M.R., Guo X., Pfund B. et al. // Acc. Chem. Res. 2022. V. 55. № 9. P. 1290. https://doi.org/10.1021/acs.accounts.2c00075
- Hassan M.M., Guria S., Dey S. et al. // Sci. Adv. 2023. V. 9. № 16. P. 3311. https://doi.org/10.1126/sciadv.adg3311
- Fan Z., Xie J., Sadhukhan T. et al. // Chem. Eur. J. 2022. V. 28. № 3. P. e202103346. https://doi.org/10.1002/chem.202103346
- Ho P.-Y., Lee S.-Y., Kam C. et al. // Adv. Healthcare Mater. 2021. V. 10. № 24. P. 2100706. https://doi.org/10.1002/adhm.202100706
- Busto N., Vigueras G., Cutillas N et al. // Dalton Trans. 2022. V. 51. № 25. P. 9653. https://doi.org/10.1039/D2DT00752E
- He P., Chen Y., Li X.-N. et al. // Chemosensors. 2023. V. 11. № 3. P. 177. https://doi.org/10.3390/chemosensors11030177
- Legalite F., Escudero D., Pellegrin Y. et al. // Dyes Pigm. 2019. V. 171. P. 107693. https://doi.org/10.1016/j.dyepig.2019.107693
- Cai Y., Zhang Y., Wang H. et al. // ACS Appl. Bio Mater. 2021. V. 4. № 8. P. 6103. https://doi.org/10.1021/acsabm.1c00445
- Sen A., Putra M.H., Biswas A.K. et al. // Dyes Pigments. 2023. V. 213. P. 111087. https://doi.org/10.1016/j.dyepig.2023.111087
- Wahyuono R.A., Amthor S., Müller C. et al. // ChemPhotoChem. 2020. V. 4. № 8. P. 618. https://doi.org/10.1002/cptc.202000038
- Bobo M.V., Paul A., Robb A.J. et al. // Inorg. Chem. 2020. V. 59. № 9. P. 6351. https://doi.org/10.1021/acs.inorgchem.0c00456
- Zhou Y., He P., Mo X.-F. et al. // Inorg. Chem. 2021. V. 60. № 9. P. 6266. https://doi.org/10.1021/acs.inorgchem.0c03812
- Kobayashi A., Muramatsu E., Yoshida M. et al. // Energies. 2021. V. 14. № 9. P. 2425. https://doi.org/10.3390/en14092425
- Zhao J.-H., Hu Y.-X., Lu H.-Y. et al. // Org. Electron. 2017. V. 41. P. 56. https://doi.org/10.1016/j.orgel.2016.11.039
- Liao H.-S., Xia X., Hu Y.-X. et al. // Synth. Met. 2022. V. 291. P. 117195. https://doi.org/10.1016/j.synthmet.2022.117195
- Laha P., Husain A., Patra S. // J. Mol. Liq. 2022. V. 349. P. 118446. https://doi.org/10.1016/j.molliq.2021.118446
- Lavrova M.A., Mishurinskiy S.A., Smirnov D.E. et al. // Dalton Trans. 2020. V. 49. № 46. P. 16935. https://doi.org/10.1039/D0DT03564E
- Bezzubov S.I., Doljenko V.D., Troyanov S.I. et al. // Inorg. Chim. Acta. 2014. V. 415. P. 22. https://doi.org/10.1016/j.ica.2014.02.024
- Tatarin S.V., Kalle P., Taydakov I.V. et al. // Dalton Trans. 2021. V. 50. № 20. P. 6889. https://doi.org/10.1039/D1DT00820J
- Martìnez-Vollbert E., Ciambrone C., Lafargue-Dit-Hauret W. et al. // Inorg. Chem. 2022. V. 61. № 7. P. 3033. https://doi.org/10.1021/acs.inorgchem.1c02968
- Билялова А.А., Татарин С.В., Калле П. и др. // Журн. неорган. химии. 2019. Т. 64. № 2. С. 172.
- Беззубов С.И., Долженко В.Д., Киселев Ю.М. // Журн. неорган. химии. 2014. Т. 59. № 6. С. 749.
- Brunen S., Grell Y., Steinlandt P.S. et al. // Molecules. 2021. V. 26. № 7. P. 1822. https://doi.org/10.3390/molecules26071822
- Fu-Quan H., Chun-Miao H., Hui X. // Chin. Chem. Lett. 2016. V. 27. P. 1193. https://doi.org/10.1016/j.cclet.2016.07.009
- Martínez-Alonso M., Cerdá J., Momblona C. et al. // Inorg. Chem. 2017. V. 56. № 17. P. 10298. https://doi.org/10.1021/acs.inorgchem.7b01167
- Liao H.-S., Hu Y.-X., Xia X. et al. // J. Organomet. Chem. 2022. V. 957. P. 122157. https://doi.org/10.1016/j.jorganchem.2021.122157
- Bezzubov S.I., Kiselev Y.M., Churakov A.V. et al. // Eur. J. Inorg. Chem. 2016. V. 2016. № 3. P. 347. https://doi.org/10.1002/ejic.201501068
- Bezzubov S.I., Zharinova I.S., Khusyainova A.A. et al. // Eur. J. Inorg. Chem. 2020. V. 2020. № 34. P. 3277. https://doi.org/10.1002/ejic.202000372
- Tatarin S.V., Smirnov D.E., Taydakov I.V. et al. // Dalton Trans. 2023. V. 52. № 19. P. 6435. https://doi.org/10.1039/D3DT00200D
- Zijian L., Si-Wei Z., Meng Z. et al. // Front. Chem. 2021. V. 9. P. 758357. https://doi.org/10.3389/fchem.2021.758357
- Henwood A.F., Pal A.K., Cordes D.B. et al. // J. Mater. Chem. C. 2017. V. 5. № 37. P. 9638. https://doi.org/10.1039/C7TC03110F
- Penconi M., Cazzaniga M., Kesarkar S. et al. // Photochem. Photobiol. Sci. 2017. V. 16. P. 1220. https://doi.org/10.1039/c7pp00119c
- Park Y., Lee G.S., Lee W. et al. // Sci. Rep. 2023. V. 13. P. 1369. https://doi.org/10.1038/s41598-023-27487-6
- Hasan K., Zysman-Colman E. // Inorg. Chem. 2012. V. 51. № 22. P. 12560. https://doi.org/10.1021/ic301998t
- Henwood A.F., Hu Y., Sajjad M.T. et al. // Chem. Eur. J. 2015. V. 21. № 52. P. 19128. https://doi.org/10.1002/chem.201503546
- Kalle P., Kiseleva M.A., Tatarin S.V. et al. // Molecules. 2022. V. 27. № 10. P. 3201. https://doi.org/10.3390/molecules27103201
- Oki A.R., Morgan R.J. // Synth. Commun. 1995. V. 25. № 24. P. 4093. https://doi.org/10.1080/00397919508011487
- Беззубов С.И., Билялова А.А., Кузнецова И.В. и др. // Журн. неорган. химии. 2017. Т. 62. № 8. С. 1087.
- Sheldrick G.M. // SADABS. Version 2008/1. 2008. Bruker AXS Inc. Germany.
- Sheldrick G.M. // Acta Cryst., Sect. A. 2015. V. 71. P. 3. https://doi.org/10.1107/S2053273314026370
- Sheldrick G.M. // Acta Cryst. 2015. V. C71. P. 3. https://doi.org/10.1107/S2053229614024218
- Spek A.L. // Acta Cryst. 2015. V. C71. P. 9. https://doi.org/10.1107/S2053229614024929
- Dolomanov O.V., Bourhis L.J., Gildea et al. // J. Appl. Cryst. 2009. V. 42. P. 339. https://doi.org/10.1107/S0021889808042726
- He Y., Chen J., Yu X. et al. // Russ. J. Inorg. Chem. 2022. V. 67. № 6. P. 1264. https://doi.org/10.1134/S0036023622080162
Supplementary files









