Влияние F-заместителей в тиофенолиле на строение и свойства µ2-S-(дифтортиолат)тетранитрозильных биядерных комплексов железа
- Авторы: Санина Н.А.1,2,3, Конюхова А.С.1,2, Корчагин Д.В.1, Ованесян Н.С.1, Куликов А.В.1, Мумятова В.А.1, Терентьев А.А.1,2,3, Алдошин С.М.1
-
Учреждения:
- Федеральный исследовательский центр проблем химической физики и медицинской химии РАН
- Московский государственный университет им. М.В. Ломоносова
- Федеральное государственное бюджетное образовательное учреждение высшего образования “Государственный университет просвещения”
- Выпуск: Том 68, № 9 (2023)
- Страницы: 1165-1180
- Раздел: КООРДИНАЦИОННЫЕ СОЕДИНЕНИЯ
- URL: https://bakhtiniada.ru/0044-457X/article/view/136465
- DOI: https://doi.org/10.31857/S0044457X23600664
- EDN: https://elibrary.ru/WRLQZC
- ID: 136465
Цитировать
Полный текст
Аннотация
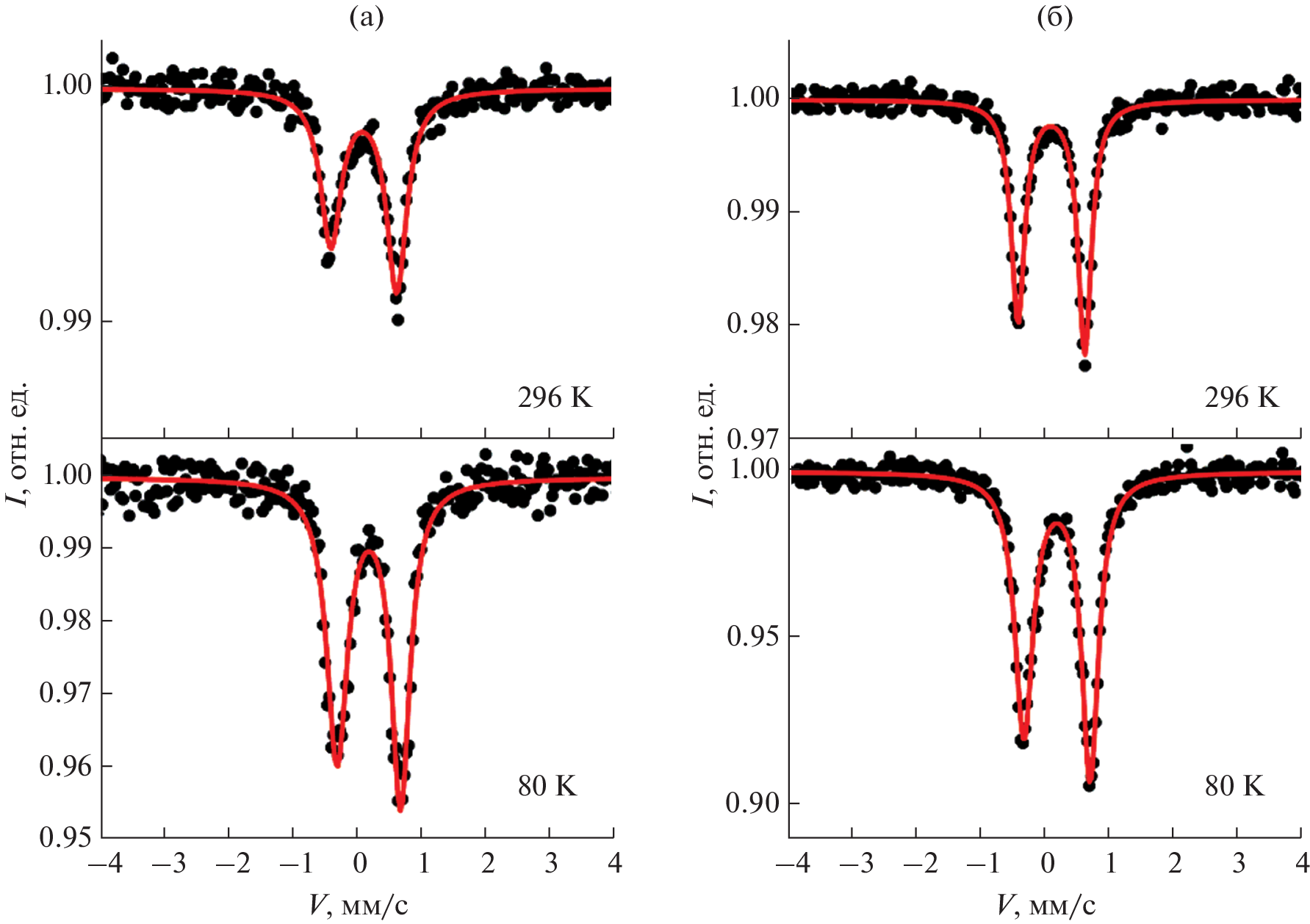
Синтезированы новые нейтральные биядерные тетранитрозильные комплексы железа состава [Fe2R2(NO)4] (R = 2,4-дифтортиофенил (1) и 3,4-дифтортиофенил (2)) – доноры монооксида азота (NO). Комплексы исследованы методами мессбауэровской, ИК- и ЭПР-спектроскопии, рентгеноструктурного и элементного анализа. Впервые изучена антибактериальная активность и цитотоксичность на нормальных клетках Vero комплексов 1, 2 и ранее синтезированного комплекса [\({\text{F}}{{{\text{e}}}_{{\text{2}}}}{\text{R}}_{2}^{'}\)(NO)4] (R' = 2,4-дихлортиофенил (3)) и выполнен корреляционный анализ количество NO–биологическая активность в зависимости от природы и положения заместителя в тиофенильном лиганде. Установлено, что комплекс 2 обладает антибактериальной активностью, превосходящей активность известного антибиотика канамицина в 4 раза, и антибиопленочной активностью: на 46% ингибирует формирование биопленок и на 32% разрушает сформированные биопленки M. luteus, превосходя действие препаратов сравнения канамицина и ампициллина.
Ключевые слова
Об авторах
Н. А. Санина
Федеральный исследовательский центр проблем химической физикии медицинской химии РАН; Московский государственный университет им. М.В. Ломоносова; Федеральное государственное бюджетное образовательное учреждение высшего образования “Государственный университет просвещения”
Email: sanina@icp.ac.ru
Россия, 142432, Черноголовка, пр-т Академика Семенова, 1; Россия, 119991, Москва, Ленинские горы, 1; Россия, 141014, Мытищи, ул. Веры Волошиной, 24
А. С. Конюхова
Федеральный исследовательский центр проблем химической физикии медицинской химии РАН; Московский государственный университет им. М.В. Ломоносова
Email: sanina@icp.ac.ru
Россия, 142432, Черноголовка, пр-т Академика Семенова, 1; Россия, 119991, Москва, Ленинские горы, 1
Д. В. Корчагин
Федеральный исследовательский центр проблем химической физикии медицинской химии РАН
Email: sanina@icp.ac.ru
Россия, 142432, Черноголовка, пр-т Академика Семенова, 1
Н. С. Ованесян
Федеральный исследовательский центр проблем химической физикии медицинской химии РАН
Email: sanina@icp.ac.ru
Россия, 142432, Черноголовка, пр-т Академика Семенова, 1
А. В. Куликов
Федеральный исследовательский центр проблем химической физикии медицинской химии РАН
Email: sanina@icp.ac.ru
Россия, 142432, Черноголовка, пр-т Академика Семенова, 1
В. А. Мумятова
Федеральный исследовательский центр проблем химической физикии медицинской химии РАН
Email: sanina@icp.ac.ru
Россия, 142432, Черноголовка, пр-т Академика Семенова, 1
А. А. Терентьев
Федеральный исследовательский центр проблем химической физикии медицинской химии РАН; Московский государственный университет им. М.В. Ломоносова; Федеральное государственное бюджетное образовательное учреждение высшего образования “Государственный университет просвещения”
Email: sanina@icp.ac.ru
Россия, 142432, Черноголовка, пр-т Академика Семенова, 1; Россия, 119991, Москва, Ленинские горы, 1; Россия, 141014, Мытищи, ул. Веры Волошиной, 24
С. М. Алдошин
Федеральный исследовательский центр проблем химической физикии медицинской химии РАН
Автор, ответственный за переписку.
Email: sanina@icp.ac.ru
Россия, 142432, Черноголовка, пр-т Академика Семенова, 1
Список литературы
- Thomas J.T., Robertson J.H., Cox E.G. // Acta Crystallogr. 1958. V. 11. P. 599. https://doi.org/10.1107/S0365110X58001602
- Butler A.R., Glidewell C., Hyde A.R. et al. // Polyhedron. 1985. V. 4. P. 797. https://doi.org/10.1016/S0277-5387(00)87029-1
- Butler A.R., Glidewell C., Hyde A.R. et al. // Inorg. Chem. 1985. V. 24. P. 2931. https://doi.org/10.1021/ic00213a012
- Glidewell C., Harman M.E., Hursthouse M.B. et al. // J. Chem. Res. 1988. V. 212–213. P. 1676.
- Harrop T.C., Song D., Lippard S.J. et al. // J. Am. Chem. Soc. 2006. V. 128. P. 3528. https://doi.org/10.1021/ja060186n
- Tsou C.-C., Lu T.-T., Liaw W.-F. et al. // J. Am. Chem. Soc. 2007. V. 129. P. 12626. https://doi.org/10.1021/ja0751375
- Lee H.M., Chiou S.-J. // Acta Crystallogr., Sect. E: Struct. Rep. Online. 2009. V. 65. № m1600. https://doi.org/10.1107/S1600536809048065
- Chen Y.-J., Ku W.-C., Feng L.-T. et al. // J. Am. Chem. Soc. 2008. V. 130. P. 10929. https://doi.org/10.1021/ja711494m
- Chiou S.-J., Wang C.-C., Chang Ch.-M. et al. // J. Organomet. Chem. 2008. V. 693. P. 3582. https://doi.org/10.1016/j.jorganchem.2008.08.034
- Tsai M.-C., Tsai F.-T., Lu T.-T. et al. // Inorg. Chem. 2009. V. 48. P. 9579. https://doi.org/10.1021/ic901675p
- Lu T.-T., Huang H.-W., Liaw W.-F. et al. // Inorg. Chem. 2009. V. 48. P. 9027. https://doi.org/10.1021/ic9012679
- Wang R., Camacho-Fernandez M.A., Xu W. et al. // Dalton Trans. 2009. V. 5. P. 777. https://doi.org/10.1039/B810230A
- Chang H.-H., Huang H.-J., Ho Y.-L. et al. // Dalton Trans. 2009. V. 32. P. 6396. https://doi.org/10.1039/B902478F
- Rauchfuss T.B., Weatherill T.D. // Inorg. Chem. 1982. V. 21. P. 827. https://doi.org/10.1021/ic00132a071
- Tsai M.-L., Liaw W.-F. // Inorg. Chem. 2006. V. 45. P. 6583. https://doi.org/10.1021/ic0608849
- Tsai M.-L., Hsieh C.-H., Liaw W.-F. et al. // Inorg. Chem. 2007. V. 46. P. 5110. https://doi.org/10.1021/ic0702567
- Harrop T.C., Song D., Lippard S.J. // J. Inorg. Biochem. 2007. V. 101. P. 1730. https://doi.org/10.1016/j.jinorgbio.2007.05.006
- Chen C.-H., Chiou S.-J., Chen H.-Y. et al. // Inorg. Chem. 2010. V. 49. P. 2023. https://doi.org/10.1021/ic902324d
- Tsou C.-C., Liaw W.-F. // Chem. Eur. J. 2011. V. 17. P. 13358. https://doi.org/10.1002/chem.201100253
- Shih W.-C., Lu T.-T., Yang L.-B. et al. // J. Inorg. Biochem. 2012. V. 113. P. 83. https://doi.org/10.1016/j.jinorgbio.2012.03.007
- Lu C.-Y., Liaw W.-F. // Inorg. Chem. 2013. V. 52. P. 13918. https://doi.org/10.1021/ic402364p
- Lu T.-T., Wang Y.-M., Hung Ch.-H. et al. // Inorg. Chem. 2018. V. 5720. P. 12425. https://doi.org/10.1021/acs.inorgchem.8b01818
- Hsiao H.-Y., Chung C.-W., Santos J.H. et al. // Dalton Trans. 2019. V. 48. P. 9431. https://doi.org/10.1039/C9DT00777F
- Ostrowski A.D., Ford P.C. // Dalton Trans. 2009. V. 48. P. 10660. https://doi.org/10.1039/B912898K
- Vanin A.F. // Int. J. Mol. Sci. 2021. V. 22. P. 10356. https://doi.org/10.3390/ijms221910356
- MacMicking J., Xie Q., Nathan C. // Annu. Rev. Immunol. 1997. V. 15. P. 323. https://doi.org/10.1146/annurev.immunol.15.1.323
- Wink D. A., Mitchell J.B. // Free Radic. Biol. Med.1998. V. 25. P. 434. https://doi.org/10.1016/S0891-5849(98)00092-6
- Murad F. // Biosci Rep. 1999. V. 19. P. 133. https://doi.org/10.1023/A:1020265417394
- Chung H.-T., Pae H.-O., Choi B.-M. et al. // Biochem. Biophys. Res. Commun. 2001. V. 282. P. 1075 https://doi.org/10.1006/bbrc.2001.4670
- Davis K.L., Martin E., Turko I.V. et al. // Annu. Rev. Pharmacol. Toxicol. 2001. V. 41. P. 203. https://doi.org/10.1146/annurev.pharmtox.41.1.203
- Webb D.J., Megson I.L. // Expert Opin. Investig. Drugs. 2002. V. 11. P. 587. https://doi.org/10.1038/sj.bjp.0707224
- Bredt D.S. // Mol. Pharmacol. 2003. V. 63. P. 1206. https://doi.org/10.1124/mol.63.6.1206
- McCleverty J.A. // Chem. Rev. 2004. V. 104. P. 403. https://doi.org/10.1021/cr020623q
- Singel D.J., Stamler J.S. // Annu. Rev. Physiol. 2005. V. 67. P. 99. https://doi.org/10.1146/annurev.physiol.67.060603. 090918
- Liu V.W.T., Huang P.L. // Cardiovascular Research. 2008. V. 77. P. 19. https://doi.org/10.1016/j.cardiores.2007.06.024
- Hirst D.G., Robson T. // Curr. Pharm. Des. 2010. V. 16. P. 45. https://doi.org/10.1016/j.redox.2015.07.002
- Toledo J.C., Jr Augusto O. // Chem. Res. Toxicol. 2012. V. 25. P. 975. https://doi.org/10.1021/tx300042g
- Heinrich T.A., da Silva R.S., Miranda K.M. et al. // Br. J. Pharmacol. 2013. V. 169. P. 1417. https://doi.org/10.1111/bph.12217
- Choudhari S.K., Chaudhary M., Bagde S. et al. // World J. Surg. Oncol. 2013. V. 11. P. 118. https://doi.org/10.1186/1477-7819-11-118
- Bondonno C.P., Croft K.D., Hodgson J.M. // Crit. Rev. Food Sci. Nutr. 2015. V. 56. P. 2036. https://doi.org/10.1080/10408398.2013.811212
- Basudhar D., Ridnour L.A., Cheng R. et al. // Coord. Chem. Rev. 2016. V. 306. P. 708.https://doi.org/10.1016/j. ccr.2015.06.001.
- Deppisch C., Herrmann G., Graepler-Mainka U. et al. // Infection. 2016. V. 44. P. 513. PMID: 26861246 https://doi.org/10.1007/s15010-016-0879-x
- Ignarro L.J., Freeman B.A. Nitric Oxide: Biology and Pathobiology. London: Elsevier, 2017. 411 p. https://www.sciencedirect.com/book/9780128042731/ nitric-oxide#book-info
- Kamm A., Przychodzen P., Kuban-Jankowska A. et al. // Nitric Oxide. 2019. V. 93. P. 102. https://doi.org/10.1016/j.niox.2019.09.005
- Lehnert N., Kim E., Dong H.T. et al. // Chem. Rev. 2021. V. 121. P. 14682. https://doi.org/10.1021/acs.chemrev.1c00253
- Алдошин C.М., Санина Н.А. Фундаментальные науки – медицине: Биофизические медицинские технологии. M: МАКС Пресс, 2015. 72 с. https://search.rsl.ru/ru/record/01007915439
- Sanina N.A., Emel’yanova N.S., Chekhlov A.N. et al. // Russ. Chem. Bull. 2010. V. 59. P. 1126. https://doi.org/10.1007/s11172-010-0215-z
- Kozub G.I., Kondratieva T.A., Shilov G.V. et al. // Russ. Chem. Bull. 2023. V. 72. № 3. P. 651. https://doi.org/10.1007/s11172-023-3829-2
- Sanina N.A., Kozub G.I., Zhukova O.S. et al. // J. Coord. Chem. 2013. V. 66. № 20. P. 3602. https://doi.org/10.1080/00958972.2013.848980
- Sanina N.A., Kozub G.I., Kondrat’eva T.A. et al. // J. Coord. Chem. 2021. V. 74. № 4–6. P. 743. https://doi.org/10.1080/00958972.2020.1869222
- Sanina N.A., Kozub G.I., Kondrat’eva T.A. et al. // Russ. Chem. Bull. 2017. V. 66. P. 1706. https://doi.org/10.1007/s11172-017-1944-z
- Kozub G.I., Sanina N.A., Emel’yanova N.S. et al. // Inorg. Chim. Acta. 2018. V. 480. P. 132. https://doi.org/10.1016/j.ica.2018.05.015
- Sanina N.A., Krivenko A.G., Manzhos R.A. et al. // New J. Chem. V. 38. P. 292. https://doi.org/10.1039/C3NJ00704A
- Neshev N.I., Sokolova E.M., Kozub G.I. et al. // Russ. Chem. Bull. 2020. V. 69. P. 1987. https://doi.org/10.1007/s11172-020-2989-y
- Stupina T., Balakina A., Kondrat’eva T. et al. // Sci. Pharm. 2018. V. 86. № 4. P. 46. https://doi.org/10.3390/scipharm86040046
- Mumyatova V.A., Kozub G.I., Kondrat’eva T.A. et al. // Russ. Chem. Bull. 2019. V. 68. № 5. P. 1025. https://doi.org/10.1007/s11172-019-2514-3
- Pokidova O.V., Novikova V.O., Emel’yanova N.S. et al. // Dalton Trans. 2023. V. 52. P. 2641. https://doi.org/10.1039/D2DT04047F
- Sanina N.A., Aldoshin S.M., Rudneva T.N. et al. // Russ. J. Coord. Chem. 2005. V. 31. № 5. P. 301. https://doi.org/10.1007/s11173-005-0093-3
- Weissberger A., Proskauer E., Riddick J.A. et al. // Organic Solvents: Phys. Properties and Methods of Purification. N.Y.: Interscience, 1955. 552 p. https://searchworks.stanford.edu/view/1072486
- Sheldrick G.M. SHELXTL v. 6.14, Structure Determination Software Suite, 2000.
- Cambridge Structural Database. version 5.43 (November, 2022).
- Ignarro L.J., Fukuto J.M., Griscavage J.M. et al. // Proc. Natl. Acad. Sci. U.S.A. 1993. V. 90. P. 8103. https://doi.org/10.1073/pnas.90.17.8103
- Ford P.C., Miranda K.M. // Nitric Oxide. 2020. V. 103 P. 31. https://doi.org/10.1016/j.niox.2020.07.004
- Awad H.H., Stanbury D.M. // Int. J. Chem. Kinet. 1993. V. 25. P. 375. https://doi.org/10.1002/kin.550250506
- Möller M.N., Rios N., Trujillo M. et al. // J. Biol. Chem. 2019. V. 294. № 40. P. 14776. https://doi.org/10.1074/jbc.REV119.006136
- Sanina N.A., Sulimenkov V., Emel’yanova N.S. et al. // Dalton Trans. 2022. V. 51. P. 8893. https://doi.org/10.1039/D2DT01011A
- Rhodes K.A., Schweizer H.P. // Drug Resist Updates. 2016. V. 28. № 9. P. 82. https://doi.org/10.1016/j.drup.2016.07.003
- Chan C., Hardin T.C., Smart J.I. // Future Microbiol. 2015. V. 10. P. 1325. https://doi.org/10.2217/fmb.15.53
- Srinivasan R., Santhakumari S., Poonguzhali P. et al. // Front Microbiol. 2021. V. 12. P. 676458. https://doi.org/10.3389/fmicb.2021.676458
- Hall C.W., Mah T-F. // FEMS Microbiol Rev. 2017. V. 41. № 3. P. 276. https://doi.org/10.1093/femsre/fux010
Дополнительные файлы
























