Thermodynamic Study of a Volatile Complex of Magnesium Benzoyltrifluoroacetonate with N,N,N',N'-Tetramethylethylenediamine
- Authors: Vikulova E.S.1, Sysoev S.V.1, Sartakova A.V.1,2, Rikhter E.A.1,2, Rogov V.A.2,3, Nazarova A.A.1, Zelenina L.N.1, Morozova N.B.1
-
Affiliations:
- Nikolaev Institute of Inorganic Chemistry, Siberian Branch, Russian Academy of Sciences
- Novosibirsk State University
- Boreskov Institute of Catalysis, Siberian Branch, Russian Academy of Sciences
- Issue: Vol 68, No 2 (2023)
- Pages: 167-173
- Section: СИНТЕЗ И СВОЙСТВА НЕОРГАНИЧЕСКИХ СОЕДИНЕНИЙ
- URL: https://bakhtiniada.ru/0044-457X/article/view/136451
- DOI: https://doi.org/10.31857/S0044457X22601560
- EDN: https://elibrary.ru/LQQWNY
- ID: 136451
Cite item
Full Text
Abstract
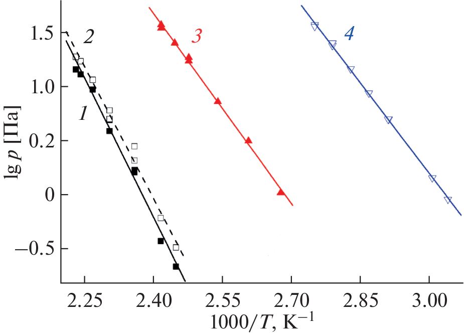
To expand the library of volatile magnesium precursors certified for effective use in chemical gas-phase deposition of the corresponding oxide or fluoride layers, a thermodynamic study of the mixed ligand complex Mg(tmeda)(btfac)2 (tmeda is N,N,N',N'-tetramethylethylenediamine, btfac is benzoyl trifluoroacetonate) have been performed. The melting process has been studied using DSC (Tm = 459.4 ± 0.3 K,
= 42.9 ± 0.4 kJ/mol); the sublimation process has been studied using the flow (transfer) method in the temperature range 407–447 K (
= 163 ± 6 kJ/mol, ΔsublS427 = 293 ± 14 J/(mol K)). The substance passes into the gas phase with partial decomposition. Thermodynamic modeling of the composition of condensed phases formed from Mg(tmeda)(btfac)2 with the addition of H2 or O2 has been performed depending on the temperature (700–1300 K), total pressure (133–13 332 Pa), and the ratio of the reagent gas to the precursor (0–300). The data obtained can be used to determine the experimental parameters of the processes for obtaining functional layers. Comparison of the results with a similar trifluoroacetylacetonate complex made it possible to quantitatively reveal the effect of replacing the methyl group in the anionic ligand with a phenyl one.
About the authors
E. S. Vikulova
Nikolaev Institute of Inorganic Chemistry, Siberian Branch, Russian Academy of Sciences
Email: lazorevka@mail.ru
630090, Novosibirsk, Russia
S. V. Sysoev
Nikolaev Institute of Inorganic Chemistry, Siberian Branch, Russian Academy of Sciences
Email: lazorevka@mail.ru
630090, Novosibirsk, Russia
A. V. Sartakova
Nikolaev Institute of Inorganic Chemistry, Siberian Branch, Russian Academy of Sciences; Novosibirsk State University
Email: lazorevka@mail.ru
630090, Novosibirsk, Russia; 630090, Novosibirsk, Russia
E. A. Rikhter
Nikolaev Institute of Inorganic Chemistry, Siberian Branch, Russian Academy of Sciences; Novosibirsk State University
Email: lazorevka@mail.ru
630090, Novosibirsk, Russia; 630090, Novosibirsk, Russia
V. A. Rogov
Novosibirsk State University; Boreskov Institute of Catalysis, Siberian Branch, Russian Academy of Sciences
Email: lazorevka@mail.ru
630090, Novosibirsk, Russia; 630090, Novosibirsk, Russia
A. A. Nazarova
Nikolaev Institute of Inorganic Chemistry, Siberian Branch, Russian Academy of Sciences
Email: lazorevka@mail.ru
630090, Novosibirsk, Russia
L. N. Zelenina
Nikolaev Institute of Inorganic Chemistry, Siberian Branch, Russian Academy of Sciences
Email: lazorevka@mail.ru
630090, Novosibirsk, Russia
N. B. Morozova
Nikolaev Institute of Inorganic Chemistry, Siberian Branch, Russian Academy of Sciences
Author for correspondence.
Email: lazorevka@mail.ru
630090, Novosibirsk, Russia
References
- Zherikova K.V., Verevkin S.P. // RSC Adv. 2020. V. 10. № 63. P. 38158.
- Acree Jr.W., Chickos J.S. // J. Phys. Chem. Ref. Data. 2017. V. 46. № 1. P. 013104. https://doi.org/10.1063/1.4970519
- Hull H.S., Reid A.F., Turnbull A.G. // Aust. J. Chem. 1965. V. 18. № 2. P. 249. https://doi.org/10.1071/CH9650249
- Hayashi D., Teraoka A., Sakaguchi Y. et al. // J. Cryst. Growth. 2016. V. 453. P. 54. https://doi.org/10.1016/j.jcrysgro.2016.08.002
- Ribeiro da Silva M.A.V., Matos M.A.R., Goncalves J.M. et al. // Thermochim. Acta. 1994. V. 247. P. 245. https://doi.org/10.1016/0040-6031(94)80125-8
- Ribeiro da Silva M.A.V., Matos M.A.R., Goncalves J.M. et al. // J. Chem. Thermodyn. 1998. V. 30. P. 299. https://doi.org/10.1006/jcht.1997.0299
- Pousaneh E., Rüffer T., Assim K. et al. // RSC Adv. 2018. V. 8. № 35. P. 19668. https://doi.org/10.1039/c8ra01851k
- Maria M., Selvakumar J., Raghunathan V.S. et al. // Surf. Coat. Technol. 2009. V. 204. № 1–2. P. 222. https://doi.org/10.1016/j.surfcoat.2009.07.022
- Vikulova E.S., Zherikova K.V., Korolkov I.V. et al. // J. Therm. Anal. Calorim. 2014. V. 118. № 2. P. 849. https://doi.org/10.1007/s10973-014-3997-7
- Zherikova K.V., Vikulova E.S., Makarenko A.M. et al. // Thermochim. Acta. 2020. V. 689. P. 178643. https://doi.org/10.1016/j.tca.2020.178643
- Wang L., Yang Y., Ni J. et al. // Chem. Mater. 2005. V. 17. № 23. P. 5697. https://doi.org/10.1021/cm0512528
- Викулова Е.С., Сухих А.С., Михайлова М.А. и др. // Журн. структур. химии. 2022. Т. 63. № 8. С. 97037. https://doi.org/0.26902/JSC_id97037
- Kim H.S., George S.M., Park B.K. et al. // Dalton Trans. 2015. V. 44. № 5. P. 2103. https://doi.org/10.1039/c4dt03497j
- Vikulova E.S., Zherikova K.V., Sysoev S.V. et al. // J. Therm. Anal. Calorim. 2019. V. 137. P. 923. https://doi.org/10.1007/s10973-018-07991-y
- Fragala M.E., Toro R.G., Rossi P. et al. // Chem. Mater. 2009. V. 21. № 10. P. 2062. https://doi.org/10.1021/cm802923w
- Fragala M.E., Toro R.G., Privitera S. et al. // Chem. Vapor Deposit. 2011. V. 17. № 4–6. P. 80. https://doi.org/10.1002/cvde.201106849
- Hennessy J., Jewell A.D., Greer F. et al. // J. Vac. Sci. Technol. A. 2015. V. 33. № 1. P. 01A125. https://doi.org/10.1116/1.4901808
- Lee Y., Sun H., Young M.J. et al. // Chem. Mater. 2016. V. 28. № 7. P. 2022. https://doi.org/10.1021/acs.chemmater.5b04360
- Mäntymäki M., Ritala M., Leskelä M. // Coatings. 2018. V. 8. № 8. P. 277. https://doi.org/10.3390/coatings8080277
- Lee S.H., Park H., Kim H. et al. // Comput. Mater. Sci. 2021. V. 191. P. 110327. https://doi.org/10.1016/j.commatsci.2021.110327
- Merenkov I.S., Gostevskii B.A., Krasnov P.O. et al. // New J. Chem. 2017. V. 41. № 20. P. 11926. https://doi.org/10.1039/C7NJ01651D
- Shestakov V.A., Kosyakov V.I., Kosinova M.L. // Russ. Chem. Bull. 2019. V. 68. P. 1983. https://doi.org/10.1007/s11172-019-2656-3
- Shestakov V.A., Kosinova M.L. // Russ. Chem. Bull. 2021. V. 70. № 8. P. 1446. https://doi.org/10.1007/s11172-021-3238-8
- Drozdov E.O., Dubrovenskii S.D., Malygin A.A. // Russ. J. Gen. Chem. 2020. V. 90. № 5. P. 880. https://doi.org/10.1134/S1070363220050217
- Mikhailovskaya T.F., Makarov A.G., Selikhova N.Y. et al. // J. Fluor. Chem. 2016. V. 183. P. 44. https://doi.org/10.1016/j.jfluchem.2016.01.009
- Hatanpää T., Kansikas J., Mutikainen I. et al. // Inorg. Chem. 2001. V. 40. № 4. P. 788. https://doi.org/10.1021/ic000310i
- Golubenko A.N., Kosinova M.L., Titov V.A. et al. // Thin Solid Films. 1997. V. 293. P. 11. https://doi.org/10.1016/S0040-6090(96)09071-2
- Гурвич Л.В., Вейц И.В., Медведев В.А. и др. Термодинамические свойства индивидуальных веществ. Справочное издание в 4-х т. / M.: Наука, 1978–1982. Т. 1–4.
- Кузнецов Ф.А., Воронков М.Г., Борисов В.О. и др. Фундаментальные основы процессов химического осаждения пленок и структур для наноэлектроники. Серия “Интеграционные проекты СО РАН”. Вып. 37 Н.: Изд. СО РАН, 2013. 176 с.
- Киселева Н.Н. Компьютерное конструирование неорганических соединений: использование баз данных и методов искусственного интеллекта. М.: Наука, 2005. С. 13.
- Vikulova E.S., Zherikova K.V., Piryazev D.A. et al. // J. Struct. Chem. 2017. V. 58. P. 1681. https://doi.org/10.1134/S0022476617080297
- Tsymbarenko D.M., Makarevich A.M., Shchukin A.E. et al. // Polyhedron. 2017. V. 134. P. 246. https://doi.org/10.1016/j.poly.2017.05.062
- Mishra S., Daniele S. // Chem. Rev. 2015. V. 115. № 16. P. 8379. https://doi.org/10.1021/cr400637c
- Pellegrino A.L., Lucchini G., Speghini A. et al. // J. Mater. Res. 2020. V. 35. № 21. P. 2950. https://doi.org/10.1557/jmr.2020.253
- Pochekutova T.S., Khamylov V.K., Fukin G.K. et al. // Polyhedron. 2020. V. 177. P. 114263. https://doi.org/10.1016/j.poly.2019.114263
Supplementary files







