Density, Thermal Expansion, Enthalpy, Heat Capacity, and Thermal Conductivity of Calcium in the Temperature Range 720–1290 K
- Authors: Abdullaev R.N.1, Khairulin R.A.1, Agazhanov A.S.1, Khairulin A.R.1, Kozlovskii Y.M.1, Samoshkin D.A.1
-
Affiliations:
- Kutateladze Institute of Thermophysics, Siberian Branch, Russian Academy of Sciences
- Issue: Vol 68, No 2 (2023)
- Pages: 158-166
- Section: СИНТЕЗ И СВОЙСТВА НЕОРГАНИЧЕСКИХ СОЕДИНЕНИЙ
- URL: https://bakhtiniada.ru/0044-457X/article/view/136450
- DOI: https://doi.org/10.31857/S0044457X22601638
- EDN: https://elibrary.ru/LRJQST
- ID: 136450
Cite item
Full Text
Abstract
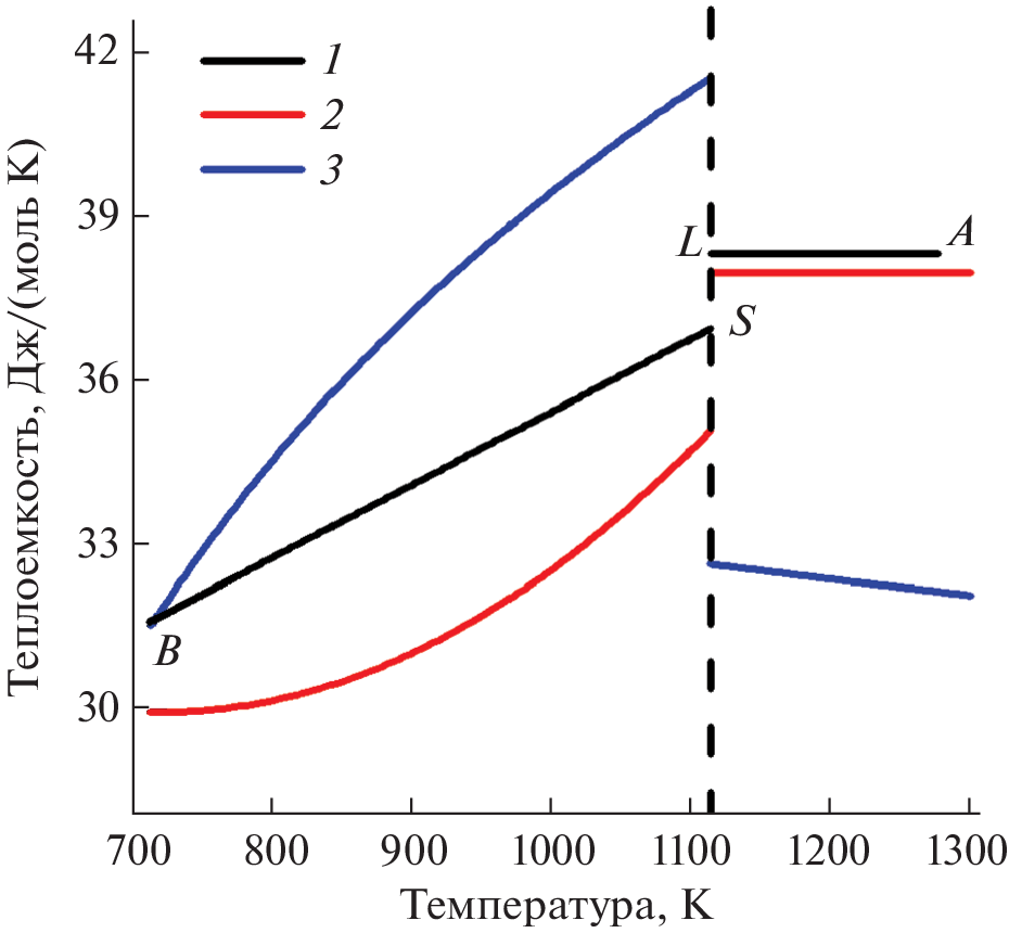
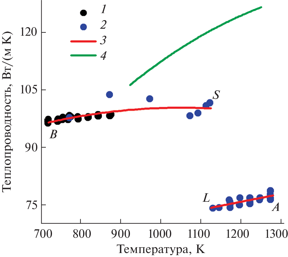
Thermophysical properties of solid and liquid calcium (99.75 wt % pure) were experimentally studied with high accuracy in the temperature range 720–1290 K using dilatometer measurements, gamma-ray attenuation measurements (the gamma-ray method), high-temperature drop calorimetry, and the laser flash method. The behaviors of the density, enthalpy, and thermal conductivity of calcium in the fusion–crystallization region were studied. The enthalpy of fusion was measured as 8075 J/mol, the relative density change upon fusion as 3.3%, and the relative change in thermal conductivity upon fusion as 26%. The results were compared to the respective values in the related literature. The measurements at temperatures above 720 K either significantly amend the available literature data, or are currently unique. The constancy of the heat capacity of liquid calcium in the temperature range 1115–1290 K was verified. Fitting equations were derived, and recommended values of the investigated properties of calcium were tabulated for 720–1290 K, the temperature range where calcium is in the condensed state.
Keywords
About the authors
R. N. Abdullaev
Kutateladze Institute of Thermophysics, Siberian Branch, Russian Academy of Sciences
Email: abdullaev.rasul88@gmail.com
630090, Novosibirsk, Russia
R. A. Khairulin
Kutateladze Institute of Thermophysics, Siberian Branch, Russian Academy of Sciences
Email: abdullaev.rasul88@gmail.com
630090, Novosibirsk, Russia
A. Sh. Agazhanov
Kutateladze Institute of Thermophysics, Siberian Branch, Russian Academy of Sciences
Email: abdullaev.rasul88@gmail.com
630090, Novosibirsk, Russia
A. R. Khairulin
Kutateladze Institute of Thermophysics, Siberian Branch, Russian Academy of Sciences
Email: abdullaev.rasul88@gmail.com
630090, Novosibirsk, Russia
Yu. M. Kozlovskii
Kutateladze Institute of Thermophysics, Siberian Branch, Russian Academy of Sciences
Email: abdullaev.rasul88@gmail.com
630090, Novosibirsk, Russia
D. A. Samoshkin
Kutateladze Institute of Thermophysics, Siberian Branch, Russian Academy of Sciences
Author for correspondence.
Email: abdullaev.rasul88@gmail.com
630090, Novosibirsk, Russia
References
- Song J., She J., Chen D. et al. // J. Magnesium Alloys. 2020. V. 8. № 1. P. 1. https://doi.org/10.1016/j.jma.2020.02.003
- Aljarrah M., Medraj M. // Calphad. 2008. V. 32. № 2. P. 240. https://doi.org/10.1016/j.calphad.2007.09.001
- Deng M., Höche D., Lamaka S.V. et al. // J. Power Sources. 2008. V. 396. P. 109. https://doi.org/10.1016/j.jpowsour.2018.05.090
- Li Z., Gu X., Lou S. et al. // Biomaterials. 2008. V. 29. № 10. P. 1329. https://doi.org/10.1016/j.biomaterials.2007.12.021
- Terashita N., Akiba E. // Mater. Trans. 2004. V. 45. № 8. P. 2594. https://doi.org/10.2320/matertrans.45.2594
- Chino Y., Ueda T., Kado M. et al. // Mater. Trans. 2011. V. 52. № 9. P. 1840. https://doi.org/10.2320/matertrans.M2011109
- Terada Y., Tsukahara M., Shibayama A. et al. // Scr. Mater. 2011. V. 64. № 11. P. 1039. https://doi.org/10.1016/j.scriptamat.2011.02.016
- Alcock C.B., Chase M.W., Itkin V. // J. Phys. Chem. Ref. Data. 1993. V. 22. № 1. P. 1. https://doi.org/10.1063/1.555935
- Шпильрайн Э.Э., Каган Д.Н., Ульянов С.Н. Термодинамические функции элементов подгруппы щелочноземельных металлов (теплоемкость, энтальпия, энтропия энергия Гиббса). Обзоры по теплофизическим свойствам веществ. № 3(59). М.: ИВТАН, 1986. 77 с.
- Touloukian Y.S., Kirby R.K., Taylor R.E. Thermophysical properties of matter. V. 12. N.Y.: Plenum Press, 1975. 1442 p.
- Touloukian Y.S., Powell R.W., Ho C.Y., Nicolaou M.C. Thermophysical properties of matter. V. 10. N.Y., Washington: Plenum Press, 1973. 748 p.
- Touloukian Y.S., Powell R.W., Ho C.Y., Nicolaou M.C. Thermophysical properties of matter. V. 1. N.Y., Washington: Plenum Press, 1970. 1595 p.
- Зиновьев В.Е. Теплофизические свойства металлов при высоких температурах. М.: Металлургия, 1989. 384 с.
- Новикова С.И. Тепловое расширение твердых тел. М.: Наука, 1974. 294 с.
- Ho C.Y., Powell R.W., Liley P.E. // J. Phys. Chem. Ref. Data. 1972. V. 1. P. 279. https://doi.org/10.1063/1.3253100
- Bridgman P.W. // Proc. Am. Acad. Arts Sci. 1923. V. 58. № 5. P. 1153. https://doi.org/10.4159/harvard.9780674287815.c14
- Smith J.F., Carlson O.N., Vest R.W. // J. Electrochem. Soc. 1956. V. 103. № 7. P. 409. https://doi.org/10.1149/1.2430364
- Schottmiller J.C., King A.J., Kanda F.A. // J. Phys. Chem. 1958. V. 62. № 11. P. 1446–1449. https://doi.org/10.1021/j150569a024
- Bernstein B.T., Smith J.F. // Acta Crystallogr. 1959. V. 12. № 5. P. 419. https://doi.org/10.1107/S0365110X59001268
- Peterson D.T., Fattore V.G. // J. Phys. Chem. 1961. V. 65. № 11. P. 2062. https://doi.org/10.1021/j100828a034
- Шпильрайн Э.Э., Фомин В.А., Качалов В.В. // ТВТ. 1986. Т. 24. № 2. С. 259.
- Hiemstra S., Prins D., Gabrielse G. et al. // Phys. Chem. Liq. 1977. V. 6. № 4. P. 271. https://doi.org/10.1080/00319107708084145
- Bohdansky J., Schins H.E.J. // JINC. 1968. V. 30. № 9. P. 2331. https://doi.org/10.1016/0022-1902(68)80241-6
- Culpin M. F. // Proc. Phys. Soc. 1957. V. 70. № 11. P. 1079. https://doi.org/10.1088/0370-1301/70/11/308
- Ульянов С.Н. Термодинамические свойства щелочноземельных металлов при высоких температурах (разработка метода, экспериментальное исследование, таблицы рекомендуемых данных в твердой и жидкой фазах). Автореф. дис. М.: ИВТАН, 1985.
- Cook J.G., Laubitz M.J., Meer M.P.V. // Can. J. Phys. 1975. V. 53. № 5. P. 486. https://doi.org/10.1139/p75-062
- Cook J.G., Meer M.P.V. // J. Phys. F: Metal Phys. 1973. V. 3. P. L130. https://doi.org/10.1088/0305-4608/3/8/002
- Abdullaev R.N., Khairulin R.A., Kozlovskii Yu.M. et al. // Trans. Nonferrous Met. Soc. China. 2019. V. 29. № 3. P. 507–514. https://doi.org/10.1016/S1003-6326(19)64959-9
- Abdullaev R.N., Agazhanov A.Sh., Khairulin A.R. et al. // J. Eng. Thermophys. 2022. V. 31. № 3. P. 384. https://doi.org/10.1134/S181023282203002X
- SpringerMaterials–properties of materials, https://materials.springer.com/
- Kozlovskii Yu.M., Stankus S.V. // High Temp. 2014. V. 52. № 4. P. 536. https://doi.org/10.1134/S0018151X1403016X
- Abdullaev R.N., Kozlovskii Yu.M., Khairulin R.A. et al. // Int. J. Thermophys. 2015. V. 36. № 4. P. 603. https://doi.org/10.1007/s10765-015-1839-x
- Stankus S.V., Khairulin R.A. // High Temp. 1992. V. 30. № 3. P. 386.
- Stankus S.V., Savchenko I.V., Yatsuk O.S. // Instrum. Exp. Tech. 2017. V. 60. № 4. P. 608. https://doi.org/10.1134/S0020441217030265
- Stankus S.V., Savchenko I.V., Yatsuk O.S. // High Temp. 2018. V. 56. № 1. P. 33. https://doi.org/10.1134/S0018151X18010170
- Parker W.J., Jenkins R.J., Butler C.P. et al. // J. Appl. Phys. 1961. V. 32. № 9. P. 1679. https://doi.org/10.1063/1.1728417
- Cape J.A., Lehman G.W. // J. Appl. Phys. 1963. V. 34. № 7. P. 1909. https://doi.org/10.1063/1.1729711
- Blumm J., Opfermann J. // High Temp.-High Press. 2002. V. 34. № 5. P. 515.
- Stankus S.V., Savchenko I.V. // Thermophys. Aeromech. 2009. V. 16. № 4. P. 585. https://doi.org/10.1134/S0869864309040076
- Agazhanov A.Sh., Abdullaev R.N., Samoshkin D.A. et al. // Fusion Eng. Des. 2020. V. 152. P. 111456-1. https://doi.org/10.1016/j.fusengdes.2020.111456
- Пелецкий В.Э., Чеховской В.Я., Латыев Л.Н. и др. Теплофизические свойства молибдена и его сплавов: Справочник / Под ред. Шейндлина А.Е. М.: Металлургия, 1990. 302 с.
- Савченко И.В. Измерение температуропроводности твердых материалов методом лазерной вспышки // Материалы 12-ой Всероссийской научной конференции студентов-физиков и молодых ученых (ВНКСФ-12), АСФ России, Екатеринбург, Новосибирск, 2006, С. 287.
- Тонков Е.Ю. Фазовые диаграммы элементов при высоком давлении. М.: Наука, 1979. 192 с.
Supplementary files







