Борсодержащие кумарины (обзор)
- Авторы: Ласькова Ю.Н.1, Сердюков А.А.1,2, Сиваев И.Б.1,3
-
Учреждения:
- Институт элементоорганических соединений им. А.Н. Несмеянова РАН
- Институт тонких химических технологий им. М.В. Ломоносова, Российский технологический университет
- Российский экономический университет им. Г.В. Плеханова
- Выпуск: Том 68, № 6 (2023)
- Страницы: 701-723
- Раздел: СИНТЕЗ И СВОЙСТВА НЕОРГАНИЧЕСКИХ СОЕДИНЕНИЙ
- URL: https://bakhtiniada.ru/0044-457X/article/view/136449
- DOI: https://doi.org/10.31857/S0044457X23600020
- EDN: https://elibrary.ru/UGAUJA
- ID: 136449
Цитировать
Полный текст
Аннотация
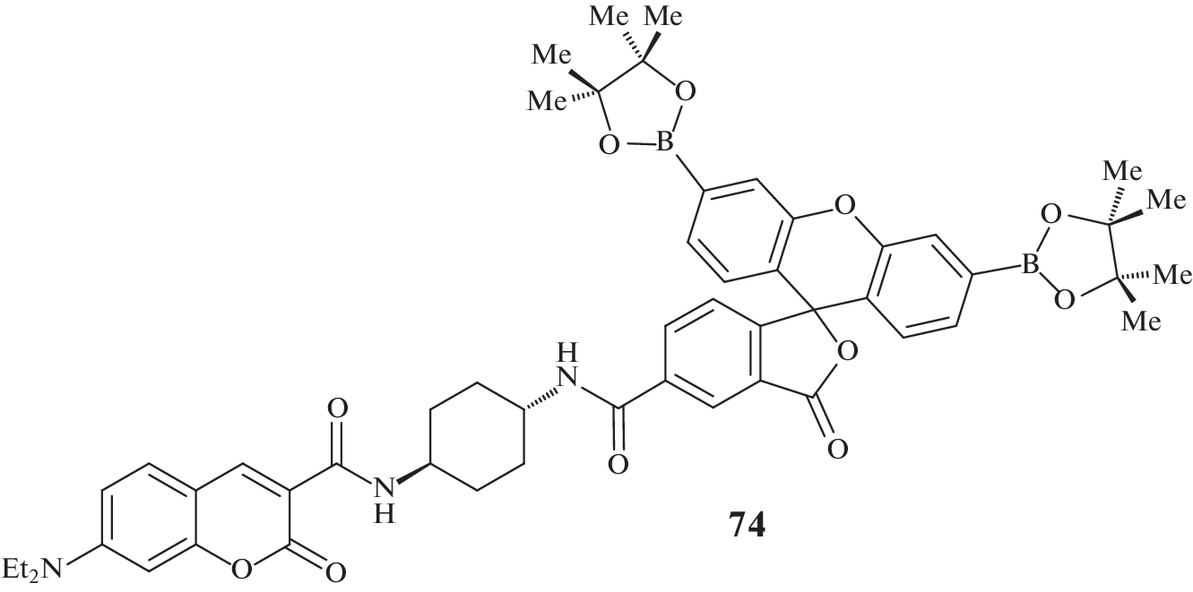
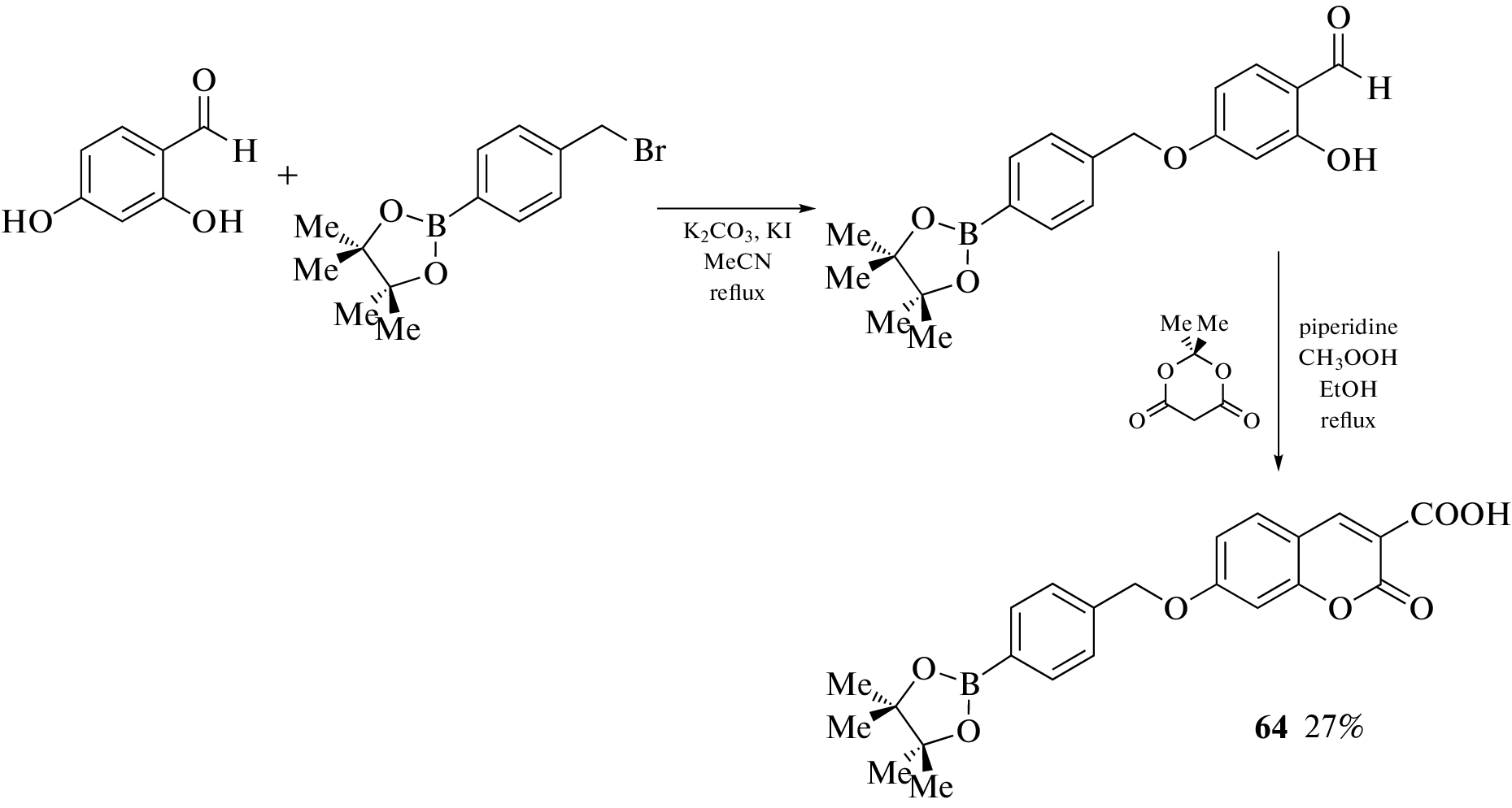
Обобщены методы синтеза, свойства и области применения различных борсодержащих производных кумарина. Особое внимание уделено производным с различными полиэдрическими борными кластерами в качестве заместителей, такими как карбораны, металлакарбораны и клозо-додекаборатный анион. Рассмотрены также производные кумарина с простыми борорганическими заместителями – бороновые кислоты и их эфиры.
Об авторах
Ю. Н. Ласькова
Институт элементоорганических соединений им. А.Н. Несмеянова РАН
Email: sivaev@ineos.ac.ru
Россия, 119334, Москва, ул. Вавилова, 28
А. А. Сердюков
Институт элементоорганических соединений им. А.Н. Несмеянова РАН; Институт тонких химических технологий им. М.В. Ломоносова,Российский технологический университет
Email: sivaev@ineos.ac.ru
Россия, 119334, Москва, ул. Вавилова, 28; Россия, 119571, Москва, пр-т Вернадского, 86
И. Б. Сиваев
Институт элементоорганических соединений им. А.Н. Несмеянова РАН; Российский экономический университет им. Г.В. Плеханова
Автор, ответственный за переписку.
Email: sivaev@ineos.ac.ru
Россия, Россия, 119334, Москва, ул. Вавилова, 28; Россия, 115093, Москва, Стремянный пер., 36
Список литературы
- Терпеноиды и кумарины / Под ред. Ред. Пигулевский Г.В. Л.: Наука, 1965. 196 с.
- Murray R.D.H., Mendez J. The Natural Coumarins: Occurrence Chemistry and Biochemistry. Chichester: John Wiley and Sons, 1982. 702 p.
- Murray R.D.H. Naturally occurring coumarins. In: Progress in the Chemistry of Organic Natural Products, V. 72, Springer-Verlag, Wien, 1997. P. 1–119. https://doi.org/10.1007/978-3-7091-6527-0_1
- Murray R.D.H. The naturally occurring coumarins // Progress in the Chemistry of Organic Natural Products. V. 83. Wien: Springer-Verlag, 2002. P. 1. https://doi.org/10.1007/978-3-7091-6172-2
- Sarker S.D., Nahar L. Progress in the chemistry of naturally occurring coumarins // Progress in the Chemistry of Organic Natural Products. V. 106. Cham: Springer Int. Publ. AG, 2017. P. 241. https://doi.org/10.1007/978-3-319-59542-9_3
- Hoult J.R.S., Payá M. // Gen. Pharmacol.: The Vascular System. 1996. V. 27. № 4. P. 713. https://doi.org/10.1016/0306-3623(95)02112-4
- Lacy A., O’Kennedy R. // Curr. Pharm. Design. 2004. V. 10. № 30. P. 3797. https://doi.org/10.2174/1381612043382693
- Borges F., Roleira F., Milhazes N. et al. // Curr. Med. Chem. 2005. V. 12. № 8. P. 887. https://doi.org/10.2174/0929867053507315
- Musa M.A., Cooperwood J.S., Khan M.O.F. // Curr. Med. Chem. 2008. V. 15. № 26. P. 2664. https://doi.org/10.2174/092986708786242877
- Borges M.F.M., Roleira F.M.F., da Silva Pereira Milhazes N.J. et al. // Front. Med. Chem. 2009. V. 4. P. 23. https://doi.org/10.2174/978160805207310904010023
- Kostova I., Bhatia S., Grigorov P. et al. // Curr. Med. Chem. 2011. V. 18. № 25. P. 3929. https://doi.org/10.2174/092986711803414395
- Peng X.-M., Damu G.L.V., Zhou C.-H. // Curr. Pharm. Design. 2013. V. 19. № 21. P. 3884. https://doi.org/10.2174/1381612811319210013
- Bansal Y., Sethi P., Bansal G. // Med. Chem. Res. 2013. V. 22. № 7. P. 3049. https://doi.org/10.1007/s00044-012-0321-6
- Sandhu S., Bansal Y., Silakari O., Bansal G. // Bioorg. Med. Chem. 2014. V. 22. № 15. P. 3806. https://doi.org/10.1016/j.bmc.2014.05.032
- Thakur A., Singla R., Jaitak V. // Eur. J. Med. Chem. 2015. V. 101. P. 476. https://doi.org/10.1016/j.ejmech.2015.07.010
- Grovera J., Jachak S.M. // RSC Adv. 2015. V. 5. № 49. P. 38892. https://doi.org/10.1039/C5RA05643H
- Hassan M.Z., Osman H., Ali M.A., Ahsan M.J. // Eur. J. Med. Chem. 2016. V. 123. P. 236. https://doi.org/10.1016/j.ejmech.2016.07.056
- Fotopoulos I., Hadjipavlou-Litina D. // Med. Chem. 2020. V. 16. № 3. P. 272. https://doi.org/10.2174/1573406415666190416121448
- Qin H.-L., Zhang Z.-W., Ravindar L., Rakesh K.P. // Eur. J. Med. Chem. 2020. V. 207. 112832. https://doi.org/10.1016/j.ejmech.2020.112832
- Feng D., Zhang A., Yang Y., Yang P. // Arch. Pharm. 2020. V. 353. e1900380. https://doi.org/10.1002/ardp.201900380
- Mishra S., Pandey A., Manvati S. // Heliyon. 2020. V. 6. № 1. e03217. https://doi.org/10.1016/j.heliyon.2020.e03217
- Dorababu A. // Eur. J. Med. Chem. Rep. 2021. V. 2. 100006. https://doi.org/10.1016/j.ejmcr.2021.100006
- Sharifi-Rad J., Cruz-Martins N., López-Jornet P. et al. // Oxidative Medicine and Cellular Longevity. 2021. V. 2021. 6492346. https://doi.org/10.1155/2021/6492346
- Sahoo C.R., Sahoo J., Mahapatra M. et al. // Arab. J. Chem. 2021. V. 14. № 2. 102922. https://doi.org/10.1016/j.arabjc.2020.102922
- Li Z., Kong D., Liu Y., Li M. // Genes Deseases. 2022. V. 9. № 1. P. 80. https://doi.org/10.1016/j.gendis.2021.03.007
- Rostom B., Karaky R., Kassab I., Sylla-Iyarreta Veitía M. // Eur. J. Pharm. 2022. V. 922. 174867. https://doi.org/10.1016/j.ejphar.2022.174867
- Keri R.S., Budagumpi S., Somappa S.B. // J. Clin. Pharm. Ther. 2022. V. 47. № 7. P. 915. https://doi.org/10.1111/jcpt.13644
- Pereira A., Martins S., Caldeira A.T. Coumarins as fluorescent labels of biomolecules. // Phytochemicals in Human Health. London: IntechOpen, 2020. https://doi.org/10.5772/intechopen.85973
- Hawthorne M.F. // Angew. Chem. Int. Ed. 1993. V. 32. № 7. P. 950. https://doi.org/10.1002/anie.199309501
- Soloway A.H., Tjarks W., Barnum B.A. et al. // Chem. Rev. 1998. V. 98. № 7. P. 1515. https://doi.org/10.1021/cr941195u
- Hu K., Yang Z., Zhang L. et al. // Coord. Chem. Rev. 2020. V. 405. 213139. https://doi.org/10.1016/j.ccr.2019.213139
- Sivaev I.B., Bregadze V.I. // Eur. J. Inorg. Chem. 2009. № 11. P. 1433. https://doi.org/10.1002/ejic.200900003
- Issa F., Kassiou M., Rendina L.M. // Chem. Rev. 2011. V. 111. № 9. P. 5701. https://doi.org/10.1021/cr2000866
- Scholz M., Hey-Hawkins E. // Chem. Rev. 2011. V. 111. № 11. P. 7035. https://doi.org/10.1021/cr200038x
- Leśnikowski Z.J. // J. Med. Chem. 2016. V. 59. № 17. P. 7738. https://doi.org/10.1021/acs.jmedchem.5b01932
- Fink K., Uchman M. // Coord. Chem. Rev. 2021. V. 431. 213684. https://doi.org/10.1016/j.ccr.2020.213684
- Murphy N., McCarthy E., Dwyer R., Farràs P. // J. Inorg. Biochem. 2021. V. 218. 111412. https://doi.org/10.1016/j.jinorgbio.2021.111412
- Авдеева В.В., Гараев Т.М., Малинина Е.А. и др. // Журн. неорган. химии. 2022. Т. 67. № 1. С. 33.
- Chen Y., Du F., Tang L. et al. // Mol. Ther. Oncolytics. 2022. V. 24. P. 400. https://doi.org/10.1016/j.omto.2022.01.005
- Cebula J., Fink K., Boratynski J., Goszczynski T.M. // Coord. Chem. Rev. 2023. V. 477. 214940. https://doi.org/10.1016/j.ccr.2022.214940
- Shatenshtein A.I., Zakharkin L.I., Petrov E.S. et al. // J. Organomet. Chem. 1970. V. 23. № 2. P. 313. https://doi.org/10.1016/S0022-328X(00)92944-9
- Kresge A.J., Pruszynski P., Stang P.J., Williamson B.L. // J. Org. Chem. 1991. V. 56. № 15. P. 4808. https://doi.org/10.1021/jo00015a048
- Казанцев А.В., Отращенков Е.А., Аксартов М.М. и др. // Журн. орган. химии. 2002. Т. 38. № 11. С. 1691.
- Justus E., Izteleuova D.T., Kasantsev A.V. et al. // Collect. Czech. Chem. Commun. 2007. V. 72. № 12. P. 1740. https://doi.org/10.1135/cccc200071740
- Казанцев А.В., Нарамбекова А., Епп А.А. // Журн. общ. химии. 2014. Т. 84. № 8. С. 1307.
- Казанцев А.В., Аксартов М.М., Алимбеков А.З. // Вест. Караганд. универ., Сер. Химия. 2010. № 2. С. 21.
- Казанцев А.В., Бутякин В.В., Отращенков Е.А., Мудлахметов З.М. // Изв. Акад. наук, Сер. хим. 1995. № 10. С. 2058.
- Казанцев А.В., Изтелеуова Д.Т., Аксартов М.М. и др. // Хим. журн. Казахстана. 2005. № 5. С. 224.
- Корольков И.В., Горин Е.Г., Казанцев А.В. и др. // Хим. журн. Казахстана. 2019. № 2. С. 219.
- Казанцев А.В., Нарембекова А. // Журн. общ. химии. 2015. Т. 85. № 4. С. 700.
- Казанцев А.В., Казьяхметова Д.Т., Аксартов М.М., Алимбеков А.З. // Вест. Караганд. универ., Сер. Химия. 2010. № 4. С. 58.
- Казанцев А.В., Изтелеуова Д.Т., Аксартов М.М. // Вест. Караганд. универ., Сер. Химия. 2007. № 2. С. 55.
- Wu A., Kolanowski J.L., Boumelhem B.B. et al. // Chem. Asian J. 2017. V. 12. № 14. P. 1704. https://doi.org/10.1002/asia.201700423
- Marfavi A., Yeo J.H., Leslie K.G. et al. // Aust. J. Chem. 2022. V. 75. № 8–9. P. 716. https://doi.org/10.1071/CH21320
- Sauerwein W.A.G., Bet P.M., Wittig A. // Neutron Capture Therapy. Principles and Berlin: Applications Springer-Verlag, 2012. P. 117. https://doi.org/10.1007/978-3-642-31334-9_8
- Сиваев И.Б., Брегадзе В.И., Кузнецов Н.Т. // Изв. Акад. наук, Сер. хим. 2002. № 8. С. 1256.
- Nakamura H., Ueno M., Lee J.-D. et al. // Tetrahedron Lett. 2007. V. 48. № 18. P. 3151. https://doi.org/10.1016/j.tetlet.2007.03.043
- Justus E., Awad D., Hohnholt M. et al. // Bioconjugate Chem. 2007. V. 18. № 4. P. 1287. https://doi.org/10.1021/bc070040t
- Lee J.-D., Ueno M., Miyajima Y., Nakamura H. // Org. Lett. 2007. V. 9. № 2. P. 323. https://doi.org/10.1021/ol062840+
- Hattori Y., Kusaka S., Mukumoto M. et al. // J. Med. Chem. 2012. V. 55. № 15. P. 6980. https://doi.org/10.1021/jm300749q
- Fujimura A., Yasui S., Igawa K. et al. // Cells. 2020. V. 9. № 10. 2149. https://doi.org/10.3390/cells9102149
- Kitamatsu M., Inoue K., Yamagata N., Michiue H. // Processes. 2022. V. 10. № 11. 2200. https://doi.org/10.3390/pr10112200
- Sivaev I.B., Semioshkin A.A., Brellochs B. et al. // Polyhedron. 2000. V. 19. № 6. P. 627. https://doi.org/10.1016/S0277-5387(00)00293-X
- Sivaev I.B., Kulikova N.Yu., Nizhnik E.A. et al. // J. Organomet. Chem. 2008. V. 693. № 3. P. 519. https://doi.org/10.1016/j.jorganchem.2007.11.027
- Liu X., Xu Z., Cole J.M. // J. Phys. Chem. C. 2013. V. 117. № 32. P. 16584. https://doi.org/10.1021/jp404170w
- Kosenko I., Laskova J., Kozlova A. et al. // J. Organomet. Chem. 2020. V. 921. 121370. https://doi.org/10.1016/j.jorganchem.2020.121370
- Serdyukov A., Kosenko A., Druzina A. et al. // J. Organomet. Chem. 2021. V. 946–947. 121905. https://doi.org/10.1016/j.jorganchem.2021.121905
- Laskova J., Serdyukov A., Kosenko I. et al. // Molecules. 2022. V. 27. № 23. 8575. https://doi.org/10.3390/molecules27238575
- Grimes R.N. Carboranes. London, Academic Press, 2016. P. 179. https://doi.org/10.1016/B978-0-12-801894-1.00007-X
- Stogniy M.Yu., Sivaev I.B. // Reactions. 2022. V. 3. № 1. P. 172. https://doi.org/10.3390/reactions3010013
- Sivaev I.B., Bregadze V.I. // Collect. Czech. Chem. Commun. 1999. V. 64. № 5. P. 783. https://doi.org/10.1135/cccc19990783
- Dash B.P., Satapathy R., Swain B.R. et al. // J. Organomet. Chem. 2017. V. 849–850. P. 170. https://doi.org/10.1016/j.jorganchem.2017.04.006
- Fuentes I., Garcia-Mendiola T., Sato S. et al. // Chem. Eur. J. 2018. V. 24. № 65. P. 17239. https://doi.org/10.1002/chem.201803178
- Друзина А.А., Шмалько А.В., Сиваев И.Б., Брегадзе В.И. // Успехи химии. 2021. Т. 90. № 7. С. 785.
- Zielonka J., Sikora A., Hardy M. et al. // Chem. Res. Toxicol. 2012. V. 25. № 9. P. 1793. https://doi.org/10.1021/tx300164j
- Gatin-Fraudeta B., Ottenweltera R., Le Saux T. et al. // Proc. Natl. Acad. Sci. USA. 2021. V. 118. № 50. e2107503118. https://doi.org/10.1073/pnas.210750311
- Li Y., Ren L., Gao T. et al. // Tetrahedron Lett. 2023. V. 114. 154291. https://doi.org/10.1016/j.tetlet.2022.154291
- Weber M., Yamada N., Tian X. et al. // Front. Chem. 2020. V. 8. P. 39. https://doi.org/10.3389/fchem.2020.00039
- Lo L.-C., Chu C.-Y. // Chem. Commun. 2003. № 21. P. 2728. https://doi.org/10.1039/B309393J
- Y L.D., Y N.N., Li M., Wang B. // Tetrahedron Lett. 2010. V. 51. № 8. P. 1152. https://doi.org/10.1016/j.tetlet.2009.12.049
- Modrzejewska J., Szala M., Grzelakowska A. et al. // Molecules. 2021. V. 26. № 19. 5940. https://doi.org/10.3390/molecules26195940
- Grzelakowska A., Modrzejewska J., Kolinska J. et al. // Free Radical Biol. Med. 2022. V. 179. P. 34. https://doi.org/10.1016/j.freeradbiomed.2021.12.260
- Zhu H., Tamura T., Fujisawa A. et al. // J. Am. Chem. Soc. 2020. V. 142. № 37. P. 15711. https://doi.org/10.1021/jacs.0c02547
- Shen Y., Zhang X., Zhang Y. et al. // Sensors Actuators B: Chem. 2018. V. 255. № 1. P. 42. https://doi.org/10.1016/j.snb.2017.08.020
- Albers A.E., Okreglak V.S., Chang C.J. // J. Am. Chem. Soc. 2006. V. 128. № 30. P. 9640. https://doi.org/10.1021/ja063308k
- Xu K., He L., Yang X. et al. // Analyst. 2018. V. 143. № 15. P. 3555. https://doi.org/10.1039/C8AN00842F
- Du Y., Wang, B., Jin D. et al. // Analyt. Chim. Acta. 2020. V. 1103. P. 174. https://doi.org/10.1016/j.aca.2019.12.059
- Niu P., Liu J., Xu F. et al. // ACS Appl. Bio Mater. 2022. Vol. 5. № 4. P.1683. https://doi.org/10.1021/acsabm.2c00058
- Li C., Wang S., Huang Y. et al. // Dalton Trans. 2014. V. 43. № 14. P. 5595. https://doi.org/10.1039/C3DT53498G
- Saxon E., Peng X. // ChemBioChem. 2021. V. 23. № 3. e202100366. https://doi.org/10.1002/cbic.202100366
- Messina M.S., Quargnali G., Chang C.J. // ACS Bio Med Chem Au. 2022. V. 2. № 6. P. 548. https://doi.org/10.1021/acsbiomedchemau.2c00052
- Wang L., Hou X., Fang H., Yang X. // Current Med. Chem. 2022. V. 29. № 14. P. 2476. https://doi.org/10.2174/0929867328666210902101642
- Lin C., Zhang M, Yan X. et al. // Z. Anorg. Allg. Chem. 2020. V. 646. № 23–24. P. 1892. https://doi.org/10.1002/zaac.202000135
- Secor K.E., Glass T.E. // Org. Lett. 2004. V. 6. № 21. P. 3727. https://doi.org/10.1021/ol048625f
- Tran T.M., Alan Y., Glass T.E. // Chem. Commun. 2015. V. 51. № 37. P. 7915. https://doi.org/10.1039/C5CC00415B
- Cambray S., Bandyopadhyay A., Gao J. // Chem. Commun. 2017. V. 53. № 93. P. 12532. https://doi.org/10.1039/C7CC07389E
- Zhang H., Luo Q., Mao Y. et al. // J. Photochem. Photobiol. A: Chem. 2017. V. 346. P. 10. https://doi.org/10.1016/j.jphotochem.2017.05.039
- Sharma S.J., Sekar N. // Dyes and Pigments. 2022. V. 202. 110306. https://doi.org/10.1016/j.dyepig.2022.110306
- Goeva L.V., Zhuchkova A.F., Malinin E.A. et al. // Russ. J. Inorg. Chem. 2020. V. 67. № 8. P. 1144. https://doi.org/10.1134/S0036023622080149
- Au Y.K., Lyu H., Quan Y., Xie Z. // Chin. J. Chem. 2020. V. 38. № 4. P. 383. https://doi.org/10.1002/cjoc.201900475
- Das B.C., Yadav P., Das S. et al. // Molecules. 2023. V. 28. № 3. 1052. https://doi.org/10.3390/molecules28031052
- Pedro G., Duarte F., Cheptsov D.A. et al. // Sensors. 2023. V. 23. № 3. 1689. https://doi.org/10.3390/s23031689
Дополнительные файлы




















































