Анти- и прооксидантные свойства наночастиц диоксида церия, функционализированных галловой кислотой
- Авторы: Созарукова М.М.1, Проскурнина Е.В.2, Михеев И.В.3, Полевой Л.А.1, Баранчиков А.Е.1, Иванов В.К.1,3
-
Учреждения:
- Институт общей и неорганической химии им. Н.С. Курнакова РАН
- Медико-генетический научный центр им. академика Н.П. Бочкова
- Московский государственный университет им. М.В. Ломоносова
- Выпуск: Том 68, № 8 (2023)
- Страницы: 1126-1134
- Раздел: НЕОРГАНИЧЕСКИЕ МАТЕРИАЛЫ И НАНОМАТЕРИАЛЫ
- URL: https://bakhtiniada.ru/0044-457X/article/view/136420
- DOI: https://doi.org/10.31857/S0044457X23600834
- EDN: https://elibrary.ru/MZAJQY
- ID: 136420
Цитировать
Полный текст
Аннотация
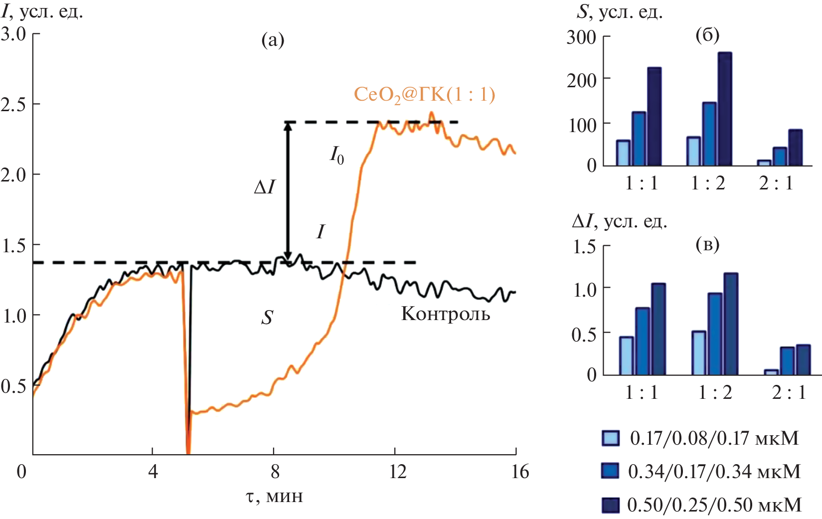
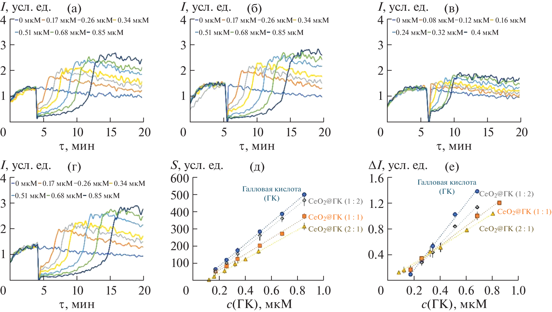
Впервые получены золи СеО2, функционализированные галловой кислотой (ГК) в различных мольных соотношениях (CeO2@ГК 1 : 1, 1 : 2, 2 : 1). Проанализирована антиоксидантная активность полученных наноматериалов по отношению к алкилпероксильным радикалам методом люминол-активированной хемилюминесценции. Показано, что композиты CeO2@ГК обладают разнонаправленной редокс-активностью, обусловленной сочетанием антиоксидантных и прооксидантных свойств. Установлено, что редокс-активность композитов CeO2@ГК в большей степени обусловлена лигандом – галловой кислотой. При этом иммобилизация галловой кислоты на поверхности наночастиц диоксида церия приводит к снижению ее антиоксидантной и прооксидантной активности. Данный эффект наиболее выражен в случае золя CeO2@ГК состава 2 : 1, снижение антиоксидантной и прооксидантной емкости галловой кислоты составляет 40 ± 3 и 58 ± 9% соответственно.
Ключевые слова
Об авторах
М. М. Созарукова
Институт общей и неорганической химии им. Н.С. Курнакова РАН
Email: S_MadinaM@bk.ru
Россия, 119991, Москва, Ленинский пр-т, 31
Е. В. Проскурнина
Медико-генетический научный центр им. академика Н.П. Бочкова
Email: S_MadinaM@bk.ru
Россия, 115522, Москва, ул. Москворечье, 1
И. В. Михеев
Московский государственный университет им. М.В. Ломоносова
Email: S_MadinaM@bk.ru
Россия, 119991, Москва, Ленинские горы, 1
Л. А. Полевой
Институт общей и неорганической химии им. Н.С. Курнакова РАН
Email: S_MadinaM@bk.ru
Россия, 119991, Москва, Ленинский пр-т, 31
А. Е. Баранчиков
Институт общей и неорганической химии им. Н.С. Курнакова РАН
Email: S_MadinaM@bk.ru
Россия, 119991, Москва, Ленинский пр-т, 31
В. К. Иванов
Институт общей и неорганической химии им. Н.С. Курнакова РАН; Московский государственный университет им. М.В. Ломоносова
Автор, ответственный за переписку.
Email: S_MadinaM@bk.ru
Россия, 119991, Москва, Ленинский пр-т, 31; Россия, 119991, Москва, Ленинские горы, 1
Список литературы
- Fornaguera C., García-Celma M.J. // J. Pers. Med. 2017. V. 7. № 4. https://doi.org/10.3390/jpm7040012
- Sur S., Rathore A., Dave V. et al. // Nano-Structures and Nano-Objects. 2019. V. 20. P. 100397.https://doi.org/10.1016/j.nanoso.2019.100397
- Chakraborty A., Boer J.C., Selomulya C. et al. // Bioconjug. Chem. 2018. V. 29. № 3. P. 657.https://doi.org/10.1021/acs.bioconjchem.7b00455
- Silvestri B., Vitiello G., Luciani G. et al. // ACS Appl. Mater. Interfaces. 2017. V. 9. № 43. https://doi.org/10.1021/acsami.7b11839
- Vecchione R., Luciani G., Calcagno V. et al. // Nanoscale. 2016. V. 8. № 16. P. 8798. https://doi.org/10.1039/C6NR01192F
- Rocha L.S.R., Simões A.Z., Macchi C. et al. // Sci. Rep. 2022. V. 12. № 1. P. 3341. https://doi.org/10.1038/s41598-022-07200-9
- Olszowy M. // Plant Physiol. Biochem. 2019. V. 144. P. 135. https://doi.org/10.1016/j.plaphy.2019.09.039
- Martins N., Barros L., Ferreira I.C.F.R. // Trends Food Sci. Technol. 2016. V. 48. P. 008. https://doi.org/10.1016/j.tifs.2015.11.008
- Vuolo M.M., Lima V.S., Maróstica Junior M.R. // Bioact. Compd. Elsevier, 2019. P. 33. https://doi.org/10.1016/B978-0-12-814774-0.00002-5
- Strlič M., Radovič T., Kolar J. et al. // J. Agric. Food Chem. 2002. V. 50. № 22. P. 6313. https://doi.org/10.1021/jf025636j
- Lima V.N., Oliveira-Tintino C.D.M., Santos E.S. et al. // Microb. Pathog. 2016. V. 99. P. 56. https://doi.org/10.1016/j.micpath.2016.08.004
- Karimova N.V., Luo M., Sit I. et al. // J. Phys. Chem. A. 2022. V. 126. № 2. P. 190. https://doi.org/10.1021/acs.jpca.1c07333
- Shah S.T., A Yehya W., Saad O. et al. // Nanomaterials. 2017. V. 7. № 10. P. 306. https://doi.org/10.3390/nano7100306
- Martakov I.S., Shevchenko O.G., Torlopov M.A. et al. // J. Inorg. Biochem. 2019. V. 199. P. 110782. https://doi.org/10.1016/j.jinorgbio.2019.110782
- Deligiannakis Y., Sotiriou G.A., Pratsinis S.E. // ACS Appl. Mater. Interfaces. 2012. V. 4. № 12. P. 6609. https://doi.org/10.1021/am301751s
- Mittal A.K., Kumar S., Banerjee U.C. // J. Colloid Interface Sci. 2014. V. 431. P. 194. https://doi.org/10.1016/j.jcis.2014.06.030
- Daduang J., Palasap A., Daduang S. et al. // Asian Pacific J. Cancer Prev. 2015. V. 16. № 1. P. 169. https://doi.org/10.7314/APJCP.2015.16.1.169
- Moreno-Álvarez S.A., Martínez-Castañón G.A., Niño-Martínez N. et al. // J. Nanoparticle Res. 2010. V. 12. № 8. P. 2741. https://doi.org/10.1007/s11051-010-0060-x
- Wu Y.-Z., Tsai Y.-Y., Chang L.-S. et al. // Pharmaceuticals. 2021. V. 14. № 11. P. 1071. https://doi.org/10.3390/ph14111071
- Shcherbakov A.B., Reukov V.V., Yakimansky A.V. et al. // Polymers (Basel). 2021. V. 13. № 6. P. 924. https://doi.org/10.3390/polym13060924
- Popov A.L., Popova N., Gould D.J. et al. // ACS Appl. Mater. Interfaces. 2018. V. 10. № 17. P. 14367. https://doi.org/10.1021/acsami.7b19658
- Singh S. // Biointerphases. 2016. V. 11. № 4. P. 04B202. https://doi.org/10.1116/1.4966535
- Singh K.R., Nayak V., Sarkar T. et al. // RSC Adv. 2020. V. 10. № 45. P. 27194. https://doi.org/10.1039/D0RA04736H
- Jiang D., Ni D., Rosenkrans Z.T. et al. // Chem. Soc. Rev. 2019. V. 48. № 14. P. 3683. https://doi.org/10.1039/C8CS00718G
- Созарукова М.М., Шестакова М.А., Теплоногова М.А. и др. // Журн. неорган. химии. 2020. Т. 65. № 4. С. 554.
- Filippova A.D., Sozarukova M.M., Baranchikov A.E. et al. // Molecules. 2023. V. 28. № 9. P. 3811. https://doi.org/10.3390/molecules28093811
- Sozarukova M.M., Proskurnina E.V., Ivanov V.K. // Nanosyst. Physics, Chem. Math. 2021. V. 12. № 3. P. 283. https://doi.org/10.17586/2220-8054-2021-12-3-283-290
- Sozarukova M.M., Proskurnina E. V., Popov A.L. et al. // RSC Adv. 2021. V. 11. № 56. P. 35351. https://doi.org/10.1039/D1RA06730C
- Sheng J., Wu Y., Ding H. et al. // Adv. Mater. 2023. P. 2211210. https://doi.org/10.1002/adma.202211210
- Ma Y., Tian Z., Zhai W. et al. // Nano Res. 2022. V. 15. № 12. P. 10328. https://doi.org/10.1007/s12274-022-4666-y
- Wang G., Zhang J., He X. et al. // Chinese J. Chem. 2017. V. 35. № 6. P. 791. https://doi.org/10.1002/cjoc.201600845
- Иванов В.К., Усатенко А.В., Щербаков А.Б. // Журн. неорган. химии. 2009. Т. 54. № 10. С. 1596.
- Popov A.L., Popova N.R., Tarakina N.V. et al. // ACS Biomater. Sci. Eng. 2018. V. 4. № 7. P. 2453. https://doi.org/10.1021/acsbiomaterials.8b00489
- Celardo I., Pedersen J.Z., Traversa E. et al. // Nanoscale. 2011. V. 3. № 4. P. 1411. https://doi.org/10.1039/c0nr00875c
- Ciccarese F., Raimondi V., Sharova E. et al. // Antioxidants. 2020. V. 9. № 3. P. 211. https://doi.org/10.3390/antiox9030211
- Yang Y., Sun W. // Nanoscale Adv. 2022. V. 4. № 17. P. 3504. https://doi.org/10.1039/D2NA00222A
- Saif-Elnasr M., El-Ghlban S., Bayomi A.I. et al. // Arch. Biochem. Biophys. 2023. V. 740. P. 109594. https://doi.org/10.1016/j.abb.2023.109594
- Shcherbakov A.B., Teplonogova M.A., Ivanova O.S. et al. // Mater. Res. Express. 2017. V. 4. № 5. P. 055008. https://doi.org/10.1088/2053-1591/aa6e9a
- Alekseev A.V., Proskurnina E.V., Vladimirov Y.A. // Moscow Univ. Chem. Bull. 2012. V. 67. № 3. P. 127. https://doi.org/10.3103/S0027131412030029
- Vorokh A.S. // Nanosyst. Physics, Chem. Math. 2018. P. 364. https://doi.org/10.17586/2220-8054-2018-9-3-364-369
- Mokkelbost T., Kaus I., Grande T. et al. // Chem. Mater. 2004. V. 16. № 25. P. 5489. https://doi.org/10.1021/cm048583p
- Popović Z.V., Grujić-Brojčin M., Paunović N. et al. // J. Nanoparticle Res. 2015. V. 17. № 1. P. 23. https://doi.org/10.1007/s11051-015-2859-y
- Ramasamy V., Vijayalakshmi G. // Mater. Sci. Semicond. Process. 2016. V. 42. P. 334. https://doi.org/10.1016/j.mssp.2015.10.026
- Diaconeasa Z., Barbu-Tudoran L., Coman C. et al. // Rom. Biotechnol. Lett. 2015. V. 20. P. 10679.
- Barth A. // Prog. Biophys. Mol. Biol. 2000. V. 74. № 3–5. P. 141. https://doi.org/10.1016/S0079-6107(00)00021-3
- Singh R., Singh S. // Colloids Surf. B: Biointerfaces. 2015. V. 132. P. 78. https://doi.org/10.1016/j.colsurfb.2015.05.005
- Zhao Y., Li H., Lopez A. et al. // ChemBioChem. 2020. V. 21. № 15. P. 2178. https://doi.org/10.1002/cbic.202000049
- Kumar A., Das S., Munusamy P. et al. // Environ. Sci. Nano. 2014. V. 1. № 6. P. 516. https://doi.org/10.1039/C4EN00052H
- Yen G.-C., Duh P.-D., Tsai H.-L. // Food Chem. 2002. V. 79. № 3. P. 307. https://doi.org/10.1016/S0308-8146(02)00145-0
- Badhani B., Sharma N., Kakkar R. // RSC Adv. 2015. V. 5. № 35. P. 27540. https://doi.org/10.1039/C5RA01911G
- Sakagami H., Satoh K. // Anticancer Res. 1997. V. 17. № 1A. P. 221.
- Lu Z., Nie G., Belton P.S. et al. // Neurochem. Int. 2006. V. 48. № 4. P. 263. https://doi.org/10.1016/j.neuint.2005.10.010
- Wright J.S., Johnson E.R., DiLabio G.A. // J. Am. Chem. Soc. 2001. V. 123. № 6. P. 1173. https://doi.org/10.1021/ja002455u
- Yoshiki Y., Okubo K., Akiyama Y. et al. // Luminescence. 2000. V. 15. № 3. P. 183. https://doi.org/10.1002/1522-7243(200005/06)15:3<183::AID-BIO584>3.0.CO;2-V
- Kumamoto M., Sonda T., Nagayama K. et al. // Biosci. Biotechnol. Biochem. 2001. V. 65. № 1. P. 126. https://doi.org/10.1271/bbb.65.126
- Chaudhari U.R., Rao B.M. // Z. Phys. Chem. 1989. V. 270O. № 1. P. 412. https://doi.org/10.1515/zpch-1989-27048
- Estevez A., Ganesana M., Trentini J. et al. // Biomolecules. 2019. V. 9. № 10. P. 562. https://doi.org/10.3390/biom9100562
Дополнительные файлы









