Протолитические и комплексообразующие свойства изомерных N‑(пиридилэтил)тауринов
- Авторы: Жарков Г.П.1, Филимонова О.В.1, Петрова Ю.С.1, Землякова Е.О.2, Пестов А.В.1,2, Неудачина Л.К.1
-
Учреждения:
- Уральский федеральный университет им. первого Президента России Б.Н. Ельцина
- Институт органического синтеза им. И.Я. Постовского УрО РАН
- Выпуск: Том 68, № 8 (2023)
- Страницы: 1059-1065
- Раздел: КООРДИНАЦИОННЫЕ СОЕДИНЕНИЯ
- URL: https://bakhtiniada.ru/0044-457X/article/view/136406
- DOI: https://doi.org/10.31857/S0044457X22602218
- EDN: https://elibrary.ru/MKWMIP
- ID: 136406
Цитировать
Полный текст
Аннотация
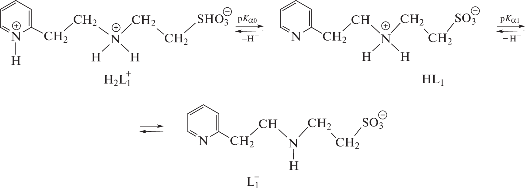
Синтезированы новые N-производные таурина – N‑[2‑(2‑пиридил)этил]таурин (HL1) и N‑[2‑(4‑пиридил)этил]таурин (HL2). Методом алкалиметрического титрования водных растворов с pH‑потенциометрической индикацией при I = 0.1 моль/л (KCl/KNO3) и t = 25 ± 1°C определены показатели констант кислотной диссоциации функциональных групп в составе реагентов (HL1: pKа0 = 3.80 ± 0.03, pKа1 = 8.67 ± 0.02; HL2: pKа0 = 4.80 ± 0.05, pKа1 = 8.18 ± 0.04). Установлено, что реагент НL1 более устойчив к процессу деструкции. Исследовано комплексообразование НL1 с ионами переходных и щелочноземельных металлов. Показано, что введение в структуру таурина 2‑(2‑пиридил)этильного заместителя приводит к значительному возрастанию устойчивости (Δ lg β ≥ 1) комплексов НL1 с ионами меди(II), кобальта(II), никеля(II), цинка(II), кадмия(II) и серебра(I). Комплексы ионов кальция(II), магния(II), стронция(II) и бария(II) с НL1 характеризуются незначительным приростом устойчивости (Δ lg β < 1) по сравнению с таурином. По полученным данным высказаны предположения о структуре исследуемых комплексов.
Ключевые слова
Об авторах
Г. П. Жарков
Уральский федеральный университет им. первого Президента РоссииБ.Н. Ельцина
Email: gennady.zharkov@mail.ru
Россия, 620002, Екатеринбург, ул. Мира, 19
О. В. Филимонова
Уральский федеральный университет им. первого Президента РоссииБ.Н. Ельцина
Email: gennady.zharkov@mail.ru
Россия, 620002, Екатеринбург, ул. Мира, 19
Ю. С. Петрова
Уральский федеральный университет им. первого Президента РоссииБ.Н. Ельцина
Email: gennady.zharkov@mail.ru
Россия, 620002, Екатеринбург, ул. Мира, 19
Е. О. Землякова
Институт органического синтеза им. И.Я. Постовского УрО РАН
Email: gennady.zharkov@mail.ru
Россия, 620990, Екатеринбург,
ул. Академическая, 20
А. В. Пестов
Уральский федеральный университет им. первого Президента РоссииБ.Н. Ельцина; Институт органического синтеза им. И.Я. Постовского УрО РАН
Email: gennady.zharkov@mail.ru
Россия, 620002, Екатеринбург, ул. Мира, 19; Россия, 620990, Екатеринбург,
ул. Академическая, 20
Л. К. Неудачина
Уральский федеральный университет им. первого Президента РоссииБ.Н. Ельцина
Автор, ответственный за переписку.
Email: gennady.zharkov@mail.ru
Россия, 620002, Екатеринбург, ул. Мира, 19
Список литературы
- Киселев Ю.М. Химия координационных соединений. М.: Юрайт, 2021.
- Маджидов Т.И., Баскин И.И., Антипин И.С. и др. Введение в хемоинформатику: Компьютерное представление химических структур. Казань: Казан. ун-т, 2020.
- Samadi M., Haghi-Aminjan H., Sattari M. et al. // Life Sci. 2021. V. 265. P. 118813. https://doi.org/10.1016/j.lfs.2020.118813
- Sedaghat M., Choobineh S., Ravasi A.A. // Life Sci. 2020. V. 258. P. 118225. https://doi.org/10.1016/j.lfs.2020.118225
- Good N.E., Winget G.D., Winter W. et al. // Biochemistry. 1966. V. 5. № 2. P. 467. https://doi.org/10.1021/bi00866a011
- Sankova M.V., Kytko O.V., Meylanova R.D. et al. // Res. Results Pharmacol. 2020. V. 6. № 4. P. 65. https://doi.org/10.3897/rrpharmacology.6.59407
- Gurevich K.G., Urakov A.L., Bashirova L.I. et al. // Asian J. Pharm. Clin. Res. 2018. V. 11. № 11. P. 452. https://doi.org/10.22159/ajpcr.2018.v11i11.29049
- Liberal Â., Pinela J., Vívar-Quintana A.M. et al. // Foods. 2020. V. 9. № 12. P. 1871. https://doi.org/10.3390/foods9121871
- Zemlyakova E.O., Pestov A.V., Slepukhin P.A. et al. // Russ. J. Coord. Chem. 2018. V. 44. № 11. P. 667. https://doi.org/10.1134/S107032841811009X
- Машковский М.Д. Лекарственные средства. М.: РИА “Новая волна”, 2008.
- Lakiza N.V., Tissen O.I., Neudachina L.K. et al. // Russ. J. Appl. Chem. 2013. V. 86. № 9. P. 1383. https://doi.org/10.1134/S1070427213090114
- Pestov A.V., Bratskaya S.Yu., Azarova Yu.A. et al. // Russ. J. Appl. Chem. 2011. V. 84. № 4. P. 713. https://doi.org/10.1134/S1070427211040276
- Pestov A.V., Lakiza N.V., Tissen O.I. et al. // Russ. Chem. Bull. 2014. V. 63. № 3. P. 754. https://doi.org/10.1007/s11172-014-0503-0
- ГOCT 10398-2016
- Solov’ev V.P., Baulin V.E., Strakhova N.N. et al. // J. Chem. Soc. 1998. № 6. P. 1489. https://doi.org/10.1039/a708245b
- Solov’ev V.P., Tsivadze A.Yu. // Prot. Met. Phys. Chem. Surf. 2015. V. 51. № 1. P. 1. https://doi.org/10.1134/S2070205115010153
- Irving H., Williams R.J.P. // J. Chem. Soc. 1953. P. 3192. https://doi.org/10.1039/jr9530003192
- Умланд Ф., Янсен А., Тириг Д. и др. Комплексные соединения в аналитической химии. М.: Мир, 1975.
- Pearson R.G. // J. Am. Chem. Soc. 1963. V. 85. № 22. P. 3533. https://doi.org/10.1021/ja00905a001
- Petrova Yu.S., Neudachina L.K. // Russ. J. Inorg. Chem. 2013. V. 58. № 5. P. 617. https://doi.org/10.1134/S0036023613050173
- Jiang Y.-M., Cai J.-H., Liu Z.-M. et al. // Acta Crystallogr., Sect. E: Struct. Rep. Online. 2005. V. 61. № 5. P. M878. https://doi.org/10.1107/S1600536805010846
- Du Z.-X., Qin J.-H., Wang J.-G. // Acta Crystallogr., Sect. E: Struct. Rep. Online. 2008. V. 64. № 2. P. M341. https://doi.org/10.1107/S1600536808000779
- Liao B.-L., Li J.-X., Jiang Y.-M. // Acta Crystallogr., Sect. E: Struct. Rep. Online. 2007. V. 63. № 7. P. M1974. https://doi.org/10.1107/S1600536807029911
- NIST Critically Selected Stability Constants of Metal Complexes. 2004. Version 8.0.
Дополнительные файлы







