Синтез, структура и спектральные свойства окта(2,6-дифторфенил)тетраазапорфирина и его комплексов с Cu(II), Ni(II)
- Авторы: Русанов А.И.1, Чижова Н.В.1, Лихонина А.Е.1, Мамардашвили Н.Ж.1
-
Учреждения:
- Институт химии растворов им. Г.А. Крестова
- Выпуск: Том 68, № 8 (2023)
- Страницы: 1050-1058
- Раздел: КООРДИНАЦИОННЫЕ СОЕДИНЕНИЯ
- URL: https://bakhtiniada.ru/0044-457X/article/view/136405
- DOI: https://doi.org/10.31857/S0044457X23600329
- EDN: https://elibrary.ru/HNDCUU
- ID: 136405
Цитировать
Полный текст
Аннотация
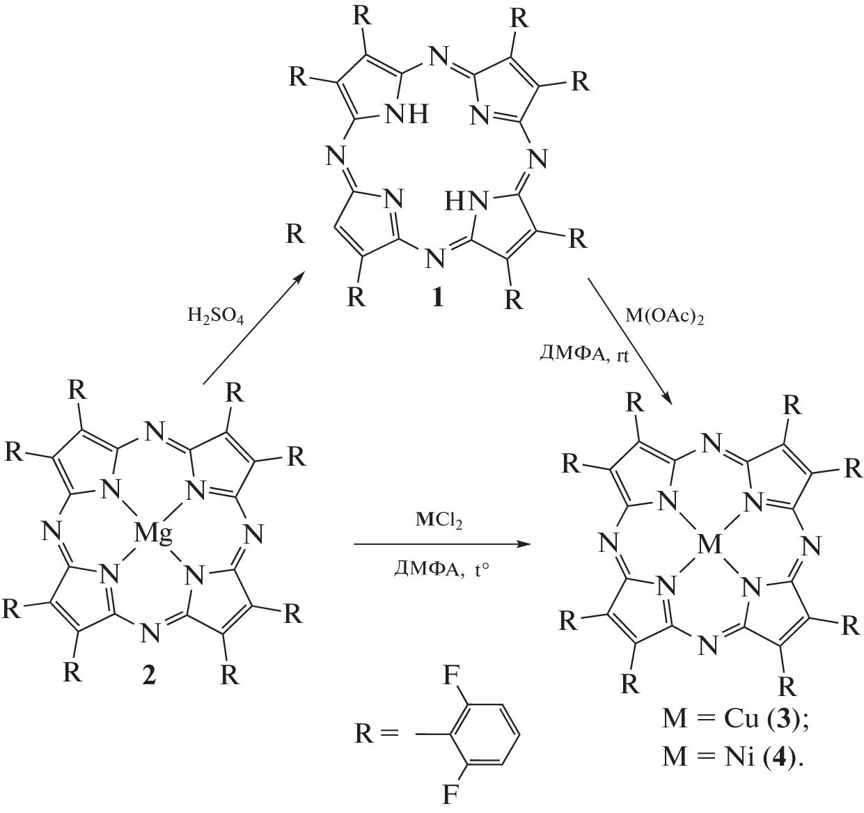
При обработке окта(2,6-дифторфенил)тетраазапорфирината магния(II) 96%-ной серной кислотой получен окта(2,6-дифторфенил)тетраазапорфирин. Исследованы реакции координации окта(2,6-дифторфенил)тетраазапорфирина и металлообмена его магниевого комплекса с солями меди и никеля в диметилформамиде. Синтезированы комплексы Cu(II) и Ni(II) c окта(2,6-дифторфенил)тетраазапорфирином. Полученные соединения идентифицированы методами электронной абсорбционной, ИК- и 1Н ЯМР- спектроскопии, масс-спектрометрии. Методом DFT оптимизированы структуры синтезированных соединений. Определены квантовые выходы флуоресценции исследуемых соединений.
Об авторах
А. И. Русанов
Институт химии растворов им. Г.А. Крестова
Email: ngm@isc-ras.ru
Россия, 153040, Иваново, ул. Академическая, 1
Н. В. Чижова
Институт химии растворов им. Г.А. Крестова
Email: ngm@isc-ras.ru
Россия, 153040, Иваново, ул. Академическая, 1
А. Е. Лихонина
Институт химии растворов им. Г.А. Крестова
Email: ngm@isc-ras.ru
Россия, 153040, Иваново, ул. Академическая, 1
Н. Ж. Мамардашвили
Институт химии растворов им. Г.А. Крестова
Автор, ответственный за переписку.
Email: ngm@isc-ras.ru
Россия, 153040, Иваново, ул. Академическая, 1
Список литературы
- Mshchenko T.A., Turubanova V.D., Mitroshina E.V. et al. // Biophotonics. 2020. V. 13. P. e201960077. https://doi.org/10.1002/jbio.201960077
- Katoh K., Yoshida Y., Yamashita M. et al. // J. Am. Chem. Soc. 2009. V. 131. № 29. P. 9967. https://doi.org/10.1021/ja902349t
- Trivedi E.R., Blumenfeld C.M., Wielgos T. et al. // Tetrahedron Lett. 2016. V. 53. № 41. P. 5475. https://doi.org/10.1016/j.tetlet.2012.07.087
- Chen L., Zhanga Z., Wang Y. et al. // J. Mol. Catal. 2013. V. 372. P. 114. https://doi.org/10.1016/j.molcata.2013.02.013
- Goslinski T., Tykarska E., Kryjewski M. et al. // Anal. Sci. 2011. V. 27. P. 511. https://doi.org/10.2116/analsci.27.511
- Saka E.T., Çağlar Y. // Catal. Lett. 2017. V. 147. P. 1471. https://doi.org/10.1007/s10562-017-2054-0
- Yadav K.K., Narang U., Sahu P.K. et al. // J. Iran. Chem. Soc. 2022. V. 19. P. 4359. https://doi.org/10.1007/s13738-022-02609-5
- Uranga J., Matxain J.M., Lopez X. et al. // Phys. Chem. Chem. Phys. 2017. V. 19. № 31. P. 20533. https://doi.org/10.1039/C7CP03319B
- Аскаров К.А., Березин Б.Д., Быстрицкая Е.В. Порфирины: спектроскопия, электрохимия, применение. М.: Наука, 1987. 384 с.
- Engeser M., Fabbrizzi L., Licchelli M. et al. // Chem. Commun. 1999. P. 1191. https://doi.org/10.1039/A901931F
- Lupton J.M. // Appl. Phys. Lett. 2008. V. 81. № 13. P. 2478. https://doi.org/10.1063/1.1509115
- Mamardashvili N.Zh., Koifman O.I. // Russ. J. Org. Chem. 2005. V. 41. № 6. P 787. https://doi.org/10.1007/s11178-005-0247-2
- Klapshina L.G., Douglas W.E., Grigoryev I.S. et al. // J. Mater. Chem. 2009. V. 19. № 22. P. 3668. https://doi.org/10.1039/B821667C
- Lermontova S.A., Grigoryev I.S., Shilyagina N.Y. et al. // Russ. J. Phys. Chem. 2016. V. 86. P. 1330. https://doi.org/10.1134/S1070363216060189
- Stuzhin P.A., Goryachev M.Y., Ivanova S.S. et al. // J. Porphyr. Phthalocyanines. 2013. V. 17. № 08n09. P. 905. https://doi.org/10.1142/S1088424613500892
- Chumakov D.E., Khoroshutin A.V., Anisimov A.V. et al. // Chem. Heterocycl. Compd. 2009. V. 45. № 3. P. 259. https://doi.org/10.1007/s10593-009-0277-8
- Linstead R.P., Weiss P.T. // J. Chem. Soc. 1950. V. 11. P. 2975. https://doi.org/10.1039/JR9500002975
- Chizhova N.V. Romanova A.O. // Rus J. Inorg. Chem. 2007. V. 52. № 11. P. 1713. https://doi.org/10.1134/S0036023607110137
- Cook A.H., Linstead R.P. // J. Chem. Soc. 1937. P. 929. https://doi.org/10.1039/JR9370000929
- Звездина С.В., Мальцева О.В., Чижова Н.В. и др. // Макрогетероциклы. 2014. Т. 7. № 3. С. 276. https://doi.org/10.6060/mhc140492m
- Chizhova N.V., Ivanova Y.B., Rusanov A.I. et al. // Russ. J. Org. Chem. 2019. V. 55. P. 655. https://doi.org/10.1134/S1070428019050129
- Lebedeva I.A., Ivanova S.S., Novakova V. et al. // J. Fluorine Chem. 2018. V. 214. P. 86. https://doi.org/10.1016/j.jfluchem.2018.08.006
- Rusanov A.I., Chizhova N.V., Mamardashvili N.Zh. // Molecules. 2022. V. 27. № 23. P. 8619. https://doi.org/10.3390/molecules27238619
- Lee N., Petrenko T., Bergmann U. et al. // J. Am. Chem. Soc. 2010. V. 132. № 28. P. 9715. https://doi.org/10.1021/ja101281e
- Becke A.D. // Phys. Rev. A: Gen. Phys. 1988. V. 38. № 6. P. 3098. https://doi.org/10.1103/PhysRevA.38.3098
- Cramer C.J. Essentials of computational chemistry: Theories and models. John Wiley & Sons, 2017. 596 p.
- Moran D., Simmonett A.C., Leach F.E. et al. // J. Am. Chem. Soc. 2006. V. 128. № 29. P. 9342. https://doi.org/10.1021/ja0630285
- Dunning Jr T.H., Hay P.J. Modern Theoretical Chemistry. N.Y.: Plenum, 1977. V. 3. 28 p.
- Lakowicz J.R. Principles of fluorescence spectroscopy. N.Y.: Springer, 2006. V. 26. 954 p. https://doi.org/10.6060/mhc224315m
- Хембрайт П. // Успехи химии. 1977. Т. 46. № 7. С. 1207. https://doi.org/10.1070/RC1977v046n07ABEH002160
- Звездина С.В., Чижова Н.В., Мамардашвили Н.Ж. и др. // Макрогетероциклы. 2022. Т. 15. № 2. С. 101.
- Maitarad P., Namuangruk S., Zhang D. et al. // Environ. Sci. Technol. 2014. V. 48. № 12. P. 7101. https://doi.org/10.1021/es405767d
- Fukui K., Yonezawa T., Shingu H. // J. Chem. Phys. 1952. V. 20. P. 722. https://doi.org/10.1063/1.1700523
- Berberan-Santos M.N. // PhysChemComm. 2000. V. 3. P. 18. https://doi.org/10.1039/b002307h
- Solov'ev K.N., Borisevich E.A. // Phys.-Usp. 2005. V. 48. P. 231. https://doi.org/10.1070/PU2005v048n03ABEH001761
- Drzewiecka-Matuszek A., Skalna A., Karocki A. et al. // J. Biol. Inorg. Chem. 2005. V. 10. P. 453. https://doi.org/10.1007/s00775-005-0652-6
- Rubio N., Prat F., Bou N. et al. // New J. Chem. 2005. V. 29. P. 378. https://doi.org/10.1039/B415314F
Дополнительные файлы











