Synthesis and Electrical Properties of Nd2(WO4)3–SiO2 Composites
- Authors: Guseva A.F.1, Pestereva N.N.1
-
Affiliations:
- Ural Federal University named after the first President of Russia B.N. Yeltsin
- Issue: Vol 68, No 3 (2023)
- Pages: 426-432
- Section: НЕОРГАНИЧЕСКИЕ МАТЕРИАЛЫ И НАНОМАТЕРИАЛЫ
- URL: https://bakhtiniada.ru/0044-457X/article/view/136348
- DOI: https://doi.org/10.31857/S0044457X2260164X
- EDN: https://elibrary.ru/JDTXFT
- ID: 136348
Cite item
Full Text
Abstract
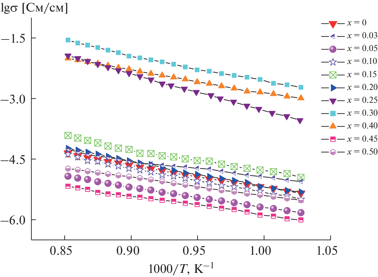
t—The (1 – x)Nd2(WO4)3–xSiO2 composites where the silicon oxide mole fraction is x ≤ 0.5 were manufactured by the solid-phase method. The phase compositions of the composites and their thermodynamic stability were verified by X-ray powder diffraction and thermogravimetry, respectively, in combination with differential scanning calorimetry (DSC). The morphology of the composites was studied by scanning electron microscopy (SEM) combined with energy-dispersive X-ray analysis. The electrical conductivity of the composites measured by electrochemical impedance was studied as functions of temperature, oxygen vapor pressure, and the amount of silicon oxide (the dispersed additive). The sums of ion transference numbers were studied as a function of temperature by the EMF method; the ionic character of conduction in the composites was found. The composite-conductivity effect was found to occur in the studied system: additions of 30 mol % nanosized silica to neodymium tungstate increased the ionic conductivity by more than two orders of magnitude.
About the authors
A. F. Guseva
Ural Federal University named after the first President of Russia B.N. Yeltsin
Email: Natalie.Pestereva@urfu.ru
620002, Yekaterinburg, Russia
N. N. Pestereva
Ural Federal University named after the first President of Russia B.N. Yeltsin
Author for correspondence.
Email: Natalie.Pestereva@urfu.ru
620002, Yekaterinburg, Russia
References
- Boulon G., Metrat G., Muhlstein N. et al. // Conference on New Laser Technologies and Applications. 2003. https://doi.org/10.1117/12.513519
- Zhou Y., Yan B. // CrystEngComm. 2013. V. 15. № 28. P. 5694. https://doi.org/10.1039/c3ce40495a
- Kaczmarek A.M., Van Deun R. // Chem. Soc. Rev. 2013. V. 42. № 23. P. 8835. https://doi.org/10.1039/c3cs60166h
- Guzik M., Tomaszewicz E., Guyot Y. et al. // J. Mater. Chem. C. 2015. V. 3. № 16. P. 4057. https://doi.org/10.1039/c4tc02963a
- Liu J., Kaczmarek A.M., Van Deun R. // Chem. Soc. Rev. 2018. V. 47. P. 7225. https://doi.org/10.1039/c7cs00893g
- Ke J., Adnan Younis M., Kong Y. et al. // Nano-Micro Letters. 2018. V. 10. № 4. https://doi.org/10.1007/s40820-018-0222-4
- Pestereva N., Guseva A., Vyatkin I., Lopatin D. // Solid State Ionics. 2017. V. 301. P. 72. https://doi.org/10.1016/j.ssi.2017.01.009
- Уваров Н.Ф. Композиционные твердые электролиты. Новосибирск: Изд-во СО РАН, 2008. 258 с.
- Knauth P. // J. Electroceram. 2000. V. 5. № 2. P. 111. https://doi.org/10.1023/a:1009906101421
- Yaroslavtsev A.B. // Russ. Chem. Rev. 2009. V. 78. № 11. P. 1013.
- Mateyshina Y., Slobodyuk A., Kavun V., Uvarov N. // Solid State Ionics. 2018. V. 324. P. 196. https://doi.org/10.1016/j.ssi.2018.04.026
- Нейман А.Я., Пестерева Н.Н., Шарафутдинов А.Р. и др. // Электрохимия. 2005. Т. 41. С. 680.
- Пестерева Н.Н., Жукова А.Ю., Нейман А.Я. // Электрохимия. 2007. Т. 43. С. 1379.
- Гусевa А.Ф., Пестерева Н.Н., Востротинa Е.Л. и др. // Электрохимия. 2020. Т. 56. № 5. С. 475. https://doi.org/10.31857/S0424857020050035
- Гусева А.Ф., Пестерева Н.Н., Отческих Д.Д., Востротина Е.Л. // Электрохимия. 2019. Т. 55. № 6. С. 721.
- Köhler J., Kobayashi Y., Imanaka N., Adachi G. // Solid State Ionics. 1998. V. 113–115. P. 553. xhttps://doi.org/10.1016/S0167-2738(98)00321-
- Köhler J., Imanaka N., Adachi G. // Mater. Sci. Forum. 1999. V. 315–317. P. 537. https://doi.org/10.4028/www.scientific.net/msf.315-317.537
- Guseva A.F., Pestereva N.N., Otcheskikh D.D., Kuznetsov D.V. // Solid State Ionics. 2021. V. 364. P. 115 626. https://doi.org/10.1016/j.ssi.2021.115626
- Гусева А.Ф., Пестерева Н.Н., Пырлик Е.В., Корона Д.В. // Неорган. материалы. 2022. Т. 58. № 6. С. 633.
- Technical Bulletin Fine Particles № 11/ Basic Characteristics of Aerosil Fumed Silica. 4th ed. Essen: Evonik, 2003.
- Чеботин В.Н., Перфильев М.В. Электрохимия твердых электролитов. М.: Химия, 1978. 312 с.
- Veer D., Kumar P., Singh D. et al. // Russ. J. Inorg. Chem. 2021. V. 66. P. 2059. https://doi.org/10.1134/S003602362114014X
- Titov D.D., Shcherbakova G.I., Gumennikova E.A. et al. // Russ. J. Inorg. Chem. 2021. V. 66. P. 1141. https://doi.org/10.1134/S0036023621080295
- Obolkina T.O., Goldberg M.A., Antonova O.S. et al. // Russ. J. Inorg. Chem. 2021. V. 66. P. 1223. https://doi.org/10.1134/S0036023621080192
- Tkachenko I.A., Panasenko A.E., Odinokov M.M. et al. // Russ. J. Inorg. Chem. 2020. V. 65. P. 1142. https://doi.org/10.1134/S0036023620080173
- Medvedeva A.E., Pechen L.S., Makhonina E.V. et al. // Russ. J. Inorg. Chem. 2019. V. 64. P. 829. https://doi.org/10.1134/S003602361907012X
- Kaimieva O.S., Kruzhkov D.A., Buyanova E.S. et al. // Russ. J. Inorg. Chem. 2019. V. 64. P. 158. https://doi.org/10.1134/S0036023619020104
- Haiduk Y.S., Savitsky A.A., Khort A.A. // Russ. J. Inorg. Chem. 2019. V. 64. P. 717. https://doi.org/10.1134/S003602361906007X
- Uvarov N.F., Ulikhin A.S., Mateishina Yu.G. // Chemistry for Sustainable Development 20. 2012. P. 69.
- Mateyshina Y., Uvarov N. // Solid State Ionics. 2018. V. 324 P. 1. https://doi.org/10.1016/j.ssi.2018.05.017
- Ulihin A.S., Uvarov N.F., Rabadanov K.S. et al. // Solid State Ionics. 2022. V. 378. 115889. https://doi.org/10.1016/j.ssi.2022.115889
- Ulikhin A.S., Uvarov N.F., Kovalenko K.A., Fedin V.P. // Microporous Mesoporous Mater. 2022. V. 332. 111710. https://doi.org/10.1016/j.micromeso.2022.111710
- Улихин А.С., Уваров Н.Ф. // Электрохимия. 2021. Т. 57. № 10. С. 608.
- Neiman A.Ya., Uvarov N.F., Pestereva N.N. // Solid State Ionics. 2007. V. 177. P. 3361. https://doi.org/10.1016/j.ssi.2006.10.006
- Wong P.L., Li X.M., Guo F. // Tribology Int. 2013. V. 61. P. 116. https://doi.org/10.1016/j.triboint.2012.12.009
Supplementary files









