Синтез и магнитные свойства допированных кобальтом халькопиритов CuGaSe2
- Авторы: Зыкин М.А.1, Голодухина С.В.1, Ефимов Н.Н.1
-
Учреждения:
- Институт общей и неорганической химии им. Н.С. Курнакова РАН
- Выпуск: Том 68, № 4 (2023)
- Страницы: 569-578
- Раздел: НЕОРГАНИЧЕСКИЕ МАТЕРИАЛЫ И НАНОМАТЕРИАЛЫ
- URL: https://bakhtiniada.ru/0044-457X/article/view/136342
- DOI: https://doi.org/10.31857/S0044457X22601845
- EDN: https://elibrary.ru/FLSFPM
- ID: 136342
Цитировать
Полный текст
Аннотация
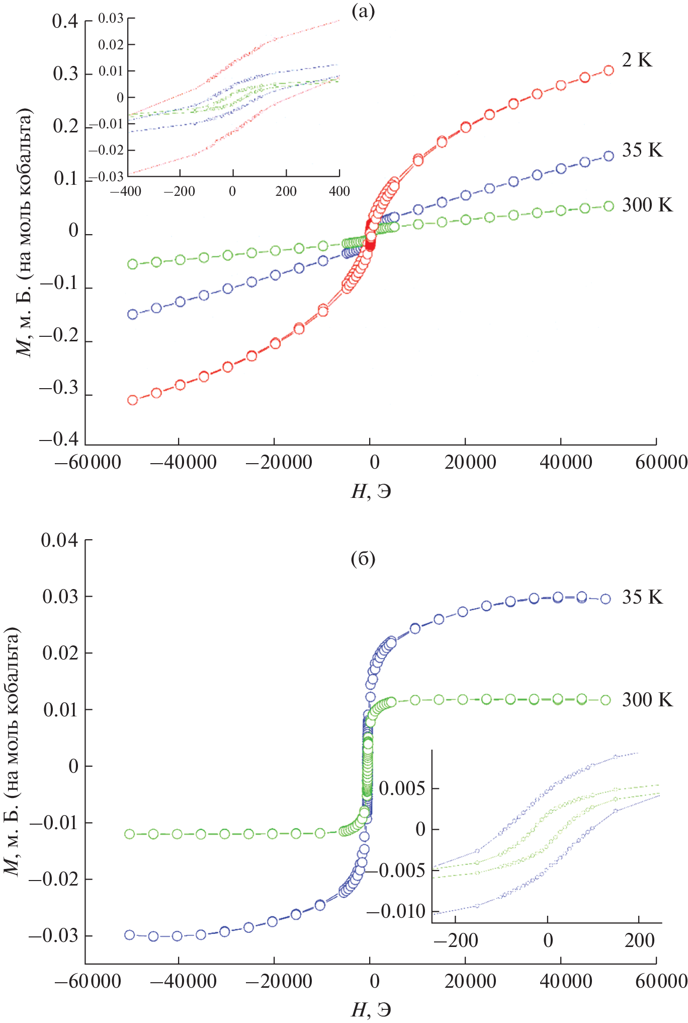
Получены две серии допированных кобальтом халькопиритов CuGa1 – xCoxSe2 и Cu1 – x/2Ga1 – x/2CoxSe2. Кобальт частично встраивается в структуру халькопирита, обеспечивая возникновение парамагнитных свойств, а частично остается в составе примесей селенидов кобальта. Применение высокотемпературной закалки позволяет добиться практически полного встраивания кобальта в образцах серии Cu1 – x/2Ga1 – x/2CoxSe2. В наиболее концентрированном образце Cu0.9Ga0.9Co0.2Se2 наблюдается возникновение значимого ферромагнетизма, в том числе при комнатной температуре.
Ключевые слова
Об авторах
М. А. Зыкин
Институт общей и неорганической химии им. Н.С. Курнакова РАН
Email: mzykin@gmail.com
Россия, 119991, Москва, Ленинский пр-т, 31
С. В. Голодухина
Институт общей и неорганической химии им. Н.С. Курнакова РАН
Email: mzykin@gmail.com
Россия, 119991, Москва, Ленинский пр-т, 31
Н. Н. Ефимов
Институт общей и неорганической химии им. Н.С. Курнакова РАН
Автор, ответственный за переписку.
Email: mzykin@gmail.com
Россия, 119991, Москва, Ленинский пр-т, 31
Список литературы
- Polman A., Knight M., Garnett E.C. et al. // Science. 2016. V. 352. № 6283. P. Aad4424. https://doi.org/10.1126/science.aad4424
- Lee T.D., Ebong A.U. // Renew. Sustain. Energy Rev. 2017. V. 70. № September 2015. P. 1286. https://doi.org/10.1016/j.rser.2016.12.028
- Regmi G., Ashok A., Chawla P. et al. // J. Mater. Sci. Mater. Electron. 2020. V. 31. № 10. P. 7286. https://doi.org/10.1007/s10854-020-03338-2
- Jaffe J.E., Zunger A. // Phys. Rev. B. 1983. V. 28. № 10. P. 5822. https://doi.org/10.1103/PhysRevB.28.5822
- Shaukat A. // J. Phys. Chem. Solids. 1990. V. 51. № 12. P. 1413. https://doi.org/10.1016/0022-3697(90)90024-A
- Turcu M., Kötschau I.M., Rau U. // J. Appl. Phys. 2002. V. 91. № 3. P. 1391. https://doi.org/10.1063/1.1432126
- Nakada T. // Electron. Mater. Lett. 2012. V. 8. № 2. P. 179. https://doi.org/10.1007/s13391-012-2034-x
- Ohno H. // Science. 1998. V. 281. № 5379. P. 951. https://doi.org/10.1126/science.281.5379.951
- Ohno H., Chiba D., Matsukura F. et al. // Nature. 2000. V. 408. № 6815. P. 944. https://doi.org/10.1038/35050040
- Chiba D., Yamanouchi H., Hatsukura F. et al. // Science. 2003. V. 301. № 5635. P. 943. https://doi.org/10.1126/science.1086608
- Yamanouchi M., Chiba D., Matsukura F. et al. // Nature. 2004. V. 428. № 6982. P. 539. https://doi.org/10.1038/nature02441
- Ohno H. // Phys. B: Condens. Matter. 2006. V. 376–377. № 1. P. 19. https://doi.org/10.1016/j.physb.2005.12.007
- Park Y.D., Hanbicki A.T., Erwin S.C. et al. // Science. 2002. V. 295. № 5555. P. 651. https://doi.org/10.1126/science.1066348
- Dietl T., Ohno H., Matsukura F. // Phys. Rev. B. 2001. V. 63. № 19. P. 195205. https://doi.org/10.1103/PhysRevB.63.195205
- Dietl T., Ohno H. // Rev. Mod. Phys. 2014. V. 86. № 1. P. 187. https://doi.org/10.1103/RevModPhys.86.187
- Dietl T., Bonanni A., Ohno H. // J. Semicond. 2019. V. 40. № 8. P. 080301. https://doi.org/10.1088/1674-4926/40/8/080301
- Zhao Y.J., Freeman A.J. // J. Magn. Magn. Mater. 2002. V. 246. № 1–2. P. 145. https://doi.org/10.1016/S0304-8853(02)00042-2
- Freeman A.J., Zhao Y.J. // J. Phys. Chem. Solids. 2003. V. 64. № 9–10. P. 1453. https://doi.org/10.1016/S0022-3697(03)00120-3
- Zhao Y.J., Zunger A. // Phys. Rev. B: Condens. Matter. Mater. Phys. 2004. V. 69. № 10. P. 1. https://doi.org/10.1103/PhysRevB.69.104422
- Kamatani T., Akai H. // Mater. Sci. Semicond. Process. 2003. V. 6. № 5–6. P. 389. https://doi.org/10.1016/j.mssp.2003.08.005
- Yao J., Kline C.N., Gu H. et al. // J. Solid. State. Chem. 2009. V. 182. № 9. P. 2579. https://doi.org/10.1016/j.jssc.2009.07.014
- Зыкин М.А., Бушева Е.В., Аминов Т.Г. и др. // Журн. неорган. химии. 2022. Т. 67. № 2. С. 168. https://doi.org/10.31857/S0044457X22020180
- Зыкин М.А., Ефимов Н.Н. // Неорган. материалы. 2022. Т. 58. № 1. С. 21. https://doi.org/10.31857/S0002337X22010158
- Зыкин М.А., Ефимов Н.Н. // Изв. АН Сер. хим. 2022. № 4. P. 701.
- Lide D.R. (ed.) // CRC Handbook of Chemistry and Physics. 84th ed. CRC Press, 2003.
- Teruya A., Suzuki F., Aoki D. et al. // J. Phys. Conf. Ser. 2017. V. 807. № 1. P. 012001. https://doi.org/10.1088/1742-6596/807/1/012001
- Umeyama N., Tokumoto M., Yagi S. et al. // Jpn. J. Appl. Phys. 2012. V. 51. № 5. Part 1. P. 053001. https://doi.org/10.1143/JJAP.51.053001
- García-García F.J., Larsson A.-K., Norèn L. et al. // Solid State Sci. 2004. V. 6. № 7. P. 725. https://doi.org/10.1016/j.solidstatesciences.2004.03.030
Дополнительные файлы








