Isolation of Concentrated Fractions of Components from Solutions in a Cascade of Multistage Extraction Columns by Recycling Liquid–Liquid Chromatography
- Authors: Kostanyan A.E.1, Tsareva Y.V.1, Belova V.V.1
-
Affiliations:
- Kurnakov Institute of General and Inorganic Chemistry, Russian Academy of Sciences
- Issue: Vol 68, No 3 (2023)
- Pages: 357-362
- Section: ФИЗИКОХИМИЯ РАСТВОРОВ
- URL: https://bakhtiniada.ru/0044-457X/article/view/136337
- DOI: https://doi.org/10.31857/S0044457X22601468
- EDN: https://elibrary.ru/JDFBZF
- ID: 136337
Cite item
Full Text
Abstract
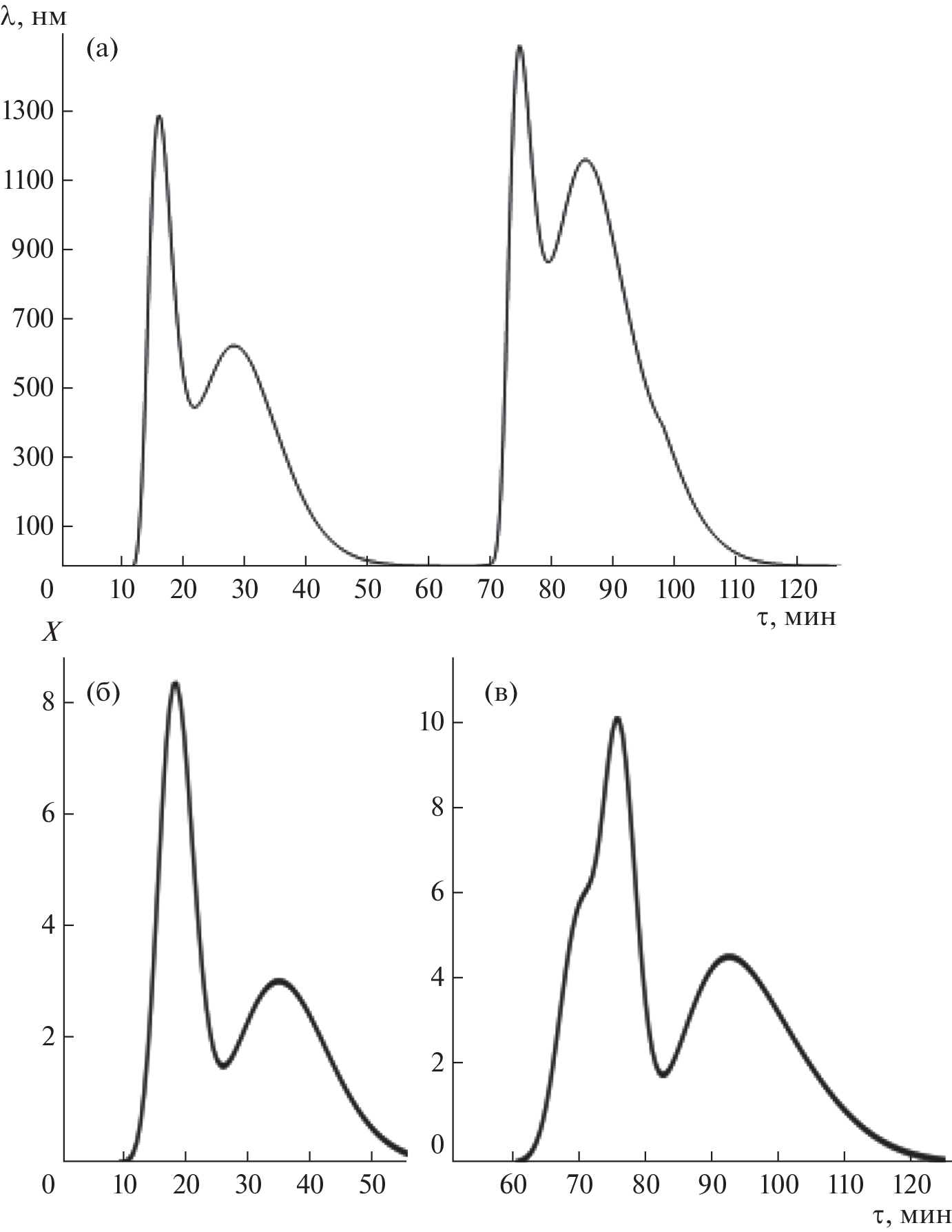
The paper describes the results of an experimental study of the extraction isolation of concentrated fractions of components from solutions by recycling liquid–liquid chromatography in a setup composed of five multistage extraction columns connected in series. The process includes multiple injection of the solution of the components into the system. The adequacy of the previously developed mathematical model to the real process is confirmed and the validity of the obtained equations for the modeling and development of various types of separation processes is demonstrated.
About the authors
A. E. Kostanyan
Kurnakov Institute of General and Inorganic Chemistry, Russian Academy of Sciences
Email: kost@igic.ras.ru
119991, Moscow, Russia
Yu. V. Tsareva
Kurnakov Institute of General and Inorganic Chemistry, Russian Academy of Sciences
Email: kost@igic.ras.ru
119991, Moscow, Russia
V. V. Belova
Kurnakov Institute of General and Inorganic Chemistry, Russian Academy of Sciences
Author for correspondence.
Email: kost@igic.ras.ru
119991, Moscow, Russia
References
- Ito Y. // J. Chromatogr. A. 2005. V. 1065. P. 145. https://doi.org/10.1016/j.chroma.2004.12.044
- Conway W.D. // J. Chromatogr. A. 2011. V. 1218. P. 6015. https://doi.org/10.1016/j.chroma.2011.03.056
- Friesen J.B., Ahmed S., Pauli G.F. // J. Chromatogr. A. 2015. V. 1377. P. 55. https://doi.org/10.1016/j.chroma.2014.11.085
- Friesen J.B., McAlpine J.B., Chen S.-N., Pauli G.F. // J. Nat. Prod. 2015. V. 78. P. 1765. https://doi.org/10.1021/np501065h
- Huang X.-Y., Pei D., Liu J.-F., Di D.-L. // J. Chromatogr. A. 2018. V. 1531. P. 1. https://doi.org/10.1016/j.chroma.2017.10.073
- Li H., Zhang F., Jin Q., Zhu T. // J. Chromatogr. A. 2021. V. 1649. P. 462221. https://doi.org/10.1016/j.chroma.2021.462221
- Guilois-Dubois S., Guyot S., Poupard P. // J. Chromatogr. A. 2021. V. 1653. P. 462382. https://doi.org//10.1016/j.chroma.2021.462382
- He J.M., Huang J., Wu W.L., Mu Q. // J. Chromatogr. A. 2020. V. 1626. P. 461 368. https://doi.org//10.1016/j.chroma.2020.461368
- Yuan Y., He X., Wang T. et al. // Mar. Drugs. 2020. V. 18. P. 332. https://doi.org/10.3390/md18060332
- Jerz G., Winterhalter P. // J. Chromatogr. A. 2020. V. 1617. P. 460698. https://doi.org/10.1016/j.chroma.2019.460698
- Morley R., Minceva M. // J. Chromatogr. A. 2020. V. 1617. P. 460479. https://doi.org/10.1016/j.chroma.2019.460698
- Roehrer S., Minceva M. // Separations. 2019. V. 6. P. 36. https://doi.org/10.3390/separations6030036
- Wang C., Sun W., Wang X. et al. // J. Chromatogr. A. 2019. V. 1601. P. 266. https://doi.org/10.1016/j.chroma.2019.05.028
- Peng A., Hewitson P., Sutherland I. et al. // J. Chromatogr. A. 2018. V. 1580. P. 120. https://doi.org/10.1016/j.chroma.2018.10.012
- Friesen J.B., McAlpine J.B., Chen S.-N., Pauli G.F. // J. Chromatogr. A. 2017. V. 1520. P. 1. https://doi.org/10.1016/j.chroma.2017.08.077
- Ignatova S., Sutherland I. // J. Chromatogr. A. 2015. V. 1425. P. 1. https://doi.org/10.1016/j.chroma.2015.10.096
- Guan Y.H., Hewitson P., van den Heuvel R. et al. // J. Chromatogr. A. 2015. V. 1424. P. 102. https://doi.org/10.1016/j.chroma.2015.03.004
- Ma T., Dong H., Lu H. et al. // J. Chromatogr. A. 2018. V. 1578. P. 61. https://doi.org/10.1016/j.chroma.2018.10.014
- Jing J.-X., Muhire J., Sun X. et al. // J. Chromatogr. A. 2022. V. 1677. P. 463319. https://doi.org/10.1016/j.chroma.2022.463319
- Müller M., Wasmer K., Vetter W. // J. Chromatogr. A. 2018. V. 1556. P. 88. https://doi.org/10.1016/j.chroma.2018.04.069
- Goll J., Minceva M. // AIChE J. 2017. V. 63. P. 1659. https://doi.org/10.1002/AIC.15529
- Han Q.B., Song J.Z., Qiao C.F. et al. // J. Chromatogr. A. 2006. V. 1127. P. 298. https://doi.org/10.1016/j.chroma.2006.07.044
- Xie J., Deng J., Tan F., Su J. // J. Chromatogr. B. 2010. V. 878878. P. 2665. https://doi.org/10.1016/j.jchromb.2010.07.023
- Meng J., Yang Z., Liang J. et al. // J. Chromatogr. A. 2014. V. 1327. P. 27. https://doi.org/10.1016/j.chroma.2013.12.069
- Tong S., Guan Y.-X., Yan J. et al. // J. Chromatogr. A. 2011. V. 1218. P. 5434. https://doi.org/10.1016/j.chroma.2011.06.015
- Костанян А.Е. // Журн. неорган. химии. 2017. Т. 62. № 12. С. 1666.
- Галиева Ж.Н., Семенов А.А., Костанян А.Е., Алдушкин А.В. // Хим. технология. 2020. Т. 21. № 12. C. 565.
- Костанян А.Е., Царева Ю.В., Белова В.В., Телешова М.А. // Хим. технология. 2021. Т. 22. № 7. С. 330.
- Kostanyan A., Martynova M., Erastov A., Belova V. // J. Chromatogr. A. 2018. V. 1560. P. 26. https://doi.org/10.1016/j.chroma.2018.05.032
- Костанян А.Е., Царева Ю.В. // Хим. технология. 2022. Т. 23. № 11.
- Kocтaнян A.E., Martynova M. // J. Chromatogr. A. 2020. V. 1614. P. 460735. https://doi.org/10.1016/j.chroma.2019.460735
Supplementary files







