Получение шпинели MgAl2O4, активированной ионами марганца, методом самораспространяющегося высокотемпературного синтеза
- Авторы: Томилин О.Б.1, Мурюмин Е.Е.1, Фадин М.В.1
-
Учреждения:
- Национальный исследовательский Мордовский государственный университет им. Н.П. Огарева
- Выпуск: Том 68, № 3 (2023)
- Страницы: 310-317
- Раздел: СИНТЕЗ И СВОЙСТВА НЕОРГАНИЧЕСКИХ СОЕДИНЕНИЙ
- URL: https://bakhtiniada.ru/0044-457X/article/view/136326
- DOI: https://doi.org/10.31857/S0044457X22601742
- EDN: https://elibrary.ru/JEDFZC
- ID: 136326
Цитировать
Полный текст
Аннотация
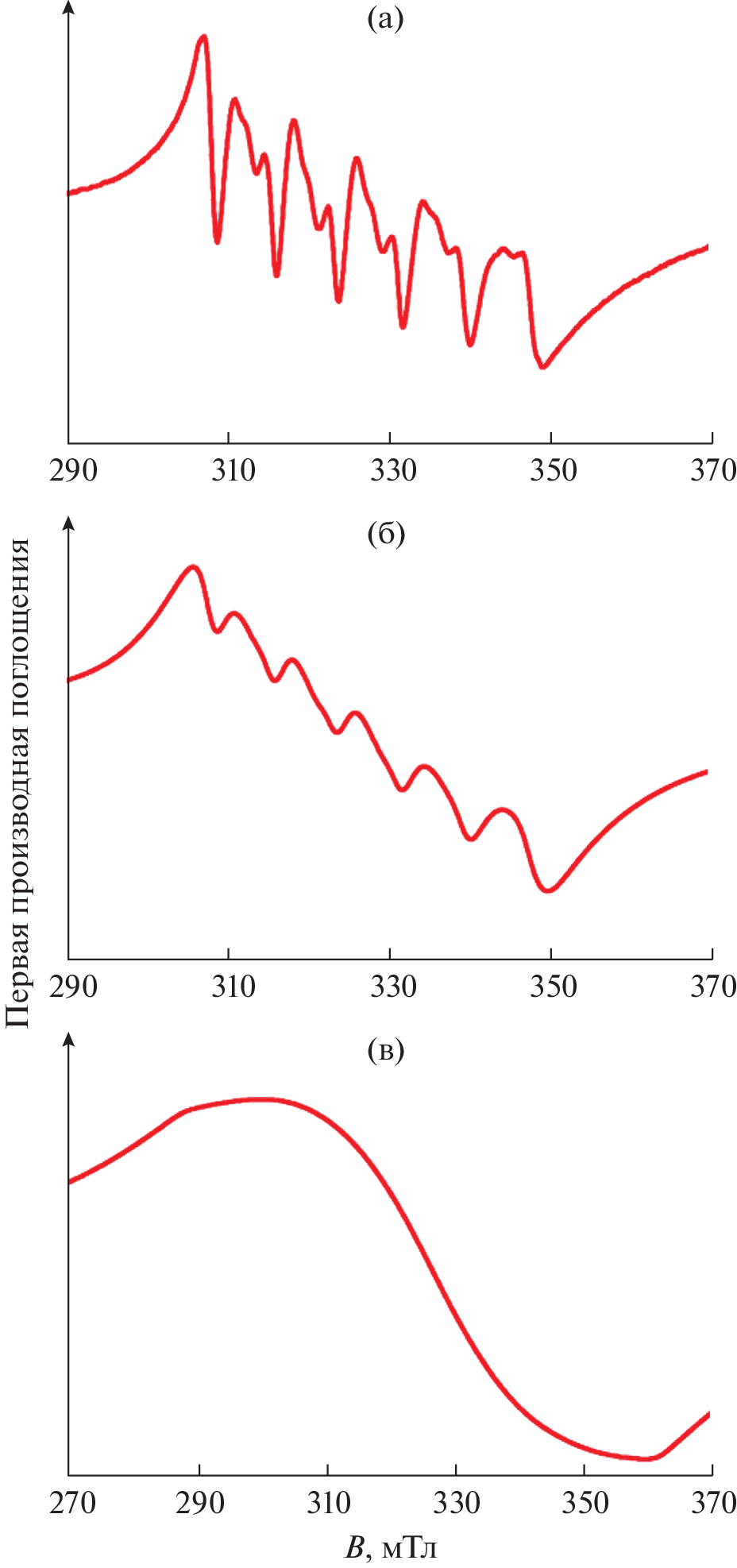
Осуществлен самораспространяющийся высокотемпературный синтез образцов люминофора MgAl2O4 : Mn2+ с использованием теплового эффекта реакции взаимодействия алюминия с перхлоратом натрия. С помощью энергодисперсионного анализа установлен качественный и количественный состав люминофора. Для определения степени окисления ионов марганца исследованы спектры ЭПР образцов люминофора. Фазовый состав продуктов синтеза установлен методом рентгенофазового анализа, люминесцентные свойства охарактеризованы спектрами возбуждения и излучения. Изучено влияние содержания марганца, а также соотношения Al : Al2O3 в шихте на люминесцентные характеристики синтезированного продукта.
Ключевые слова
Об авторах
О. Б. Томилин
Национальный исследовательский Мордовский государственный университет им. Н.П. Огарева
Email: mur_ee@mail.ru
Россия, 430005, Саранск, ,
ул. Большевистская, 68
Е. Е. Мурюмин
Национальный исследовательский Мордовский государственный университет им. Н.П. Огарева
Email: mur_ee@mail.ru
Россия, 430005, Саранск, ,
ул. Большевистская, 68
М. В. Фадин
Национальный исследовательский Мордовский государственный университет им. Н.П. Огарева
Автор, ответственный за переписку.
Email: mur_ee@mail.ru
Россия, 430005, Саранск, ,
ул. Большевистская, 68
Список литературы
- Chang M.H., Das D., Varde P.V., Pecht M. // Microelectron. Reliab. 2012. V. 52. № 5. P. 762. https://doi.org/10.1016/j.microrel.2011.07.063
- Ye S., Xiao F., Pan Y.X. et al. // Mater. Sci. Eng., R. 2010. V. 71. № 1. P. 1. https://doi.org/10.1016/j.mser.2010.07.001
- Wang X.J., Jia D.D., Yen W.M. // J. Lumin. 2003. V. 102–103. P. 34. https://doi.org/10.1016/S0022-2313(02)00541-0
- Jung K.Y., Lee H.W., Kang Y.C. et al. // Chem. Mater. 2005. V. 17. № 10. P. 2729. https://doi.org/10.1021/cm050074f
- Ye S., Liu Z.S., Wang X.T. et al. // J. Lumin. 2009. V. 129. № 1. P. 50. https://doi.org/10.1016/j.jlumin.2008.07.015
- Singh V., Chakradhar R.P.S., Rao J.L., Kim D.-K. // Physica B. 2008. V. 403. № 1. P. 120. https://doi.org/10.1016/j.physb.2007.08.092
- Lei B.F., Li B., Wang X.J., Li W. // J. Lumin. 2006. V. 118. № 2. P. 173. https://doi.org/10.1016/j.jlumin.2005.08.010
- Chang F.Y., Pang L. // J. Appl. Phys. 1996. V. 79. № 9. P. 7191. https://doi.org/10.1063/1.361435
- Singh V., Chakradhar R.P.S., Rao J.L., Kim D.-K. // J. Lumin. 2009. V. 129. № 2. P. 130. https://doi.org/10.1016/j.jlumin.2008.08.011
- Panigrahi K., Saha S., Sain S. et al. // Dalton Trans. 2018. V. 47. № 35. P. 12228. https://doi.org/10.1039/c8dt02227e
- Zou H., Peng D.F., Chu Z.M. et al. // Adv. Mater. Res. 2013. V. 815. P. 662. https://doi.org/10.4028/www.scientific.net/AMR.815.662
- Beketov I.V., Medvedev A.I., Samatov O.M. et al. // J. Alloys Compd. 2014. V. 586. P. S472. https://doi.org/10.1016/j.jallcom.2013.02.070
- Ganesh I. // Int. Mater. Rev. 2013. V. 58. № 2. P. 63. https://doi.org/10.1179/1743280412Y.0000000001
- Song E.H., Zhou Y.Y., Wei Y. et al. // J. Mater. Chem. C. 2019. V. 7. P. 8192. https://doi.org/10.1039/c9tc02107h
- Sakuma T., Minowa S., Katsumata T. et al. // Opt. Mater. 2014. V. 37. P. 302. https://doi.org/10.1016/j.optmat.2014.06.014
- Wang Z., Ji H., Xu J. et al. // Inorg. Chem. 2020. V. 59. № 24. P. 18374. https://doi.org/10.1021/acs.inorgchem.0c03005
- Ji H., Hou X., Molokeev M. et al. // Dalton Trans. 2020. V. 49. № 17. P. 5711. https://doi.org/10.1039/d0dt00931h
- Хайдуков Н.М., Бреховских М.Н., Кирикова Н.Ю. и др. // Журн. неорган. химии. 2020. Т. 65. № 8. С. 1027.
- Khaidukov N., Pirri A., Brekhovskikh M. et al. // Materials. 2021. V. 14. № 2. P. 420. https://doi.org/10.3390/ma14020420
- Zhong R., Zhang J., Wei H. et al. // Chem. Phys. Lett. 2011. V. 508. № 4–6. P. 207. https://doi.org/10.1016/j.cplett.2011.04.033
- Tomita A., Sato T., Tanaka K. et al. // J. Lumin. 2004. V. 109. № 1. P. 19. https://doi.org/10.1016/S0022-2313(03)00237-0
- Khaidukov N.M., Brekhovskikh M.N., Kirikova N.Y. et al. // Ceram. Int. 2020. V. 46. № 13. P. 21351. https://doi.org/10.1016/j.ceramint.2020.05.231
- Mali A.V., Wandre T.M., Sanadi K.R. et al. // J. Mater. Sci.: Mater. Electron. 2015. V. 27. P. 613. https://doi.org/10.1007/s10854-015-3796-3
- Wang S., Gao H., Yu H. et al. // Trans. Ind. Ceram. Soc. 2020. V. 79. № 4. P. 221. https://doi.org/10.1080/0371750X.2020.1817789
- Merzhanov A.G., Shkiro V.M., Borovinskaya I.P. Synthesis of Refractory Inorganic Compounds, USSR Inventor’s Certificate 255 221, 1967; Byull. Izobr., 1971, no. 10; Fr. Pat. 2 088 668, 1972; US Pat. 3726643, 1973; UK Pat. 1 321 084; Jpn. Pat. 1 098 839, 1982.
- Томилин О.Б., Мурюмин Е.Е., Фадин М.В., Щипа-кин С.Ю. // Журн. неорган. химии. 2022. Т. 67. № 4. С. 457.
- Chung S.-L., Huang S.-C. // Materials. 2014. V. 7. № 12. P. 7828. https://doi.org/10.3390/ma7127828
- Chung S.-L., Huang S.-C. // Materials. 2016. V. 9. № 3. P. 178. https://doi.org/10.3390/ma9030178
- Won C.W., Nersisyan H.H., Won H.I. et al. // J. Lumin. 2010. V. 130. № 4. P. 678. https://doi.org/10.1016/j.jlumin.2009.11.017
- Won C.W., Nersisyan H.H., Won H.I., Youn J.W. // J. Lumin. 2010. V. 131. № 10. P. 2174. https://doi.org/10.1016/j.jlumin.2011.05.029
- Ohyama J., Zhu C., Saito G. et al. // J. Rare Earths. 2018. V. 36. № 3. P. 248. https://doi.org/10.1016/j.jre.2017.06.014
- Nersisyan H.H., Won H.I., Won C.W. et al. // Chem. Eng. J. 2012. V. 198. P. 449. https://doi.org/10.1016/j.cej.2012.05.085
- Sathaporn T., Niyomwas S. // Energy Procedia. 2011. V. 9. P. 410. https://doi.org/10.1016/j.egypro.2011.09.045
- Чижиков А.П., Константинов А.С., Бажин П.М. // Журн. неорган. химии. 2021. Т. 66. № 8. С. 1002.
- Ganesh I., Bhattacharjee S., Saha B.P. et al. // Ceram. Int. 2002. V. 28. № 3. P. 245. https://doi.org/10.1016/S0272-8842(01)00086-4
- Zhang S., Jayaseelan D.D., Bhattacharya G., Lee W.E. // J. Am. Ceram. Soc. 2006. V. 89. № 5. P. 1724. https://doi.org/10.1111/j.1551-2916.2006.00932.x
- Лидин Р.А., Андреева Л.Л., Молочко В.А. Константы неорганических веществ: справочник. М.: Дрофа, 2006.
- Бреховских М.Н., Батыгов С.Х., Моисеева Л.В. и др. // Неорган. материалы. 2018. Т. 54. № 11. С. 1223.
- Бреховских М.Н., Солодовников С.П., Моисеева Л.М. и др. // Неорган. материалы. 2019. Т. 55. № 7. С. 756.
- Бреховских М.Н., Солодовников С.П., Батыгов С.Х. и др. // Неорган. материалы. 2019. Т. 55. № 11. С. 1248.
- Adachi S. // J. Lumin. 2022. V. 246. P. 118814. https://doi.org/10.1016/j.jlumin.2022.118814
- Vink A.P., de Bruin M.A., Roke S. et al. // J. Electrochem. Soc. 2001. V. 148. № 7. P. E313. https://doi.org/10.1149/1.1375169
Дополнительные файлы










