Effects of the Nucleus Raphe Magnus Stimulation on Nociceptive Neurons of the Rat Caudal Ventrolateral Medulla in Normal Conditions and after Intestinal Inflammation
- Authors: Sushkevich B.M.1, Sivachenko I.B.1, Lyubashina O.A.1
-
Affiliations:
- Pavlov Institute of Physiology of the Russian Academy of Sciences
- Issue: Vol 60, No 5 (2024)
- Pages: 509-525
- Section: EXPERIMENTAL ARTICLES
- URL: https://bakhtiniada.ru/0044-4529/article/view/273071
- DOI: https://doi.org/10.31857/S0044452924050052
- EDN: https://elibrary.ru/XPFAOK
- ID: 273071
Cite item
Full Text
Abstract
The nucleus raphe magnus (RMg) is a key structure of the endogenous antinociceptive system, the activity of which is regulated by serotonin 5-HT1A receptors. A recipient of the RMg descending projections is the caudal ventrolateral medulla (cVLM) - the first supraspinal center for processing visceral and somatic pain signals. Intestinal pathology is known to cause persistent functional alterations in the RMg, which are associated with the development of visceral and somatic hyperalgesia. Presumably, a consequence of the alterations may be changes in the RMg modulating effects on cVLM nociceptive activity. However, the specific neuronal and molecular mechanisms underlying such influence in normal conditions, as well as their changes in pathology remain unexplored. The aim of our neurophysiological experiments performed in anesthetized adult male Wistar rats was to compare the effects of RMg electrical stimulation on the activity of cVLM neurons evoked by visceral (colorectal distension, CRD) and somatic (tail squeezing) pain stimulations that occur in normal conditions and after intestinal inflammation (colitis), with an assessment of the contribution to these processes of the supraspinal 5-HT1A receptor activation with intracerebroventricular buspirone. It has been shown that RMg can exert an inhibitory effect on both non-selective and differential responses of the cVLM neurons to diverse pain stimuli, causing a weakening of excitatory neuronal ractions and an increase in inhibitory responses to CRD while inhibiting both types of reactions to tail squeezing. The RMg-evoked suppression of nociceptive excitation in the caudal medullary neurons is enhanced under activation of supraspinal 5-HT1A receptors by buspirone. It has been established that in postcolitis period the RMg inhibitory action on different populations of cVLM neurons are significantly diminished, indicating an impairment of the nucleus’ antinociceptive function. In these conditions, the RMg descending influence loses its 5-HT1A receptor-dependent component. The changes described may contribute to the supraspinal mechanisms underlying pathogenesis of post-inflammatory abdominal pain and comorbid somatic hyperalgesia.
Full Text
ВВЕДЕНИЕ
Большое ядро шва (БЯШ), расположенное в ростральной вентромедиальной области продолговатого мозга, является одной из ключевых серотонинергических структур эндогенной антиноцицептивной системы и основной релейной станцией для модулирующих влияний на ноцицепцию вышележащих стволовых и переднемозговых структур [1–4]. Это ядро получает болевую информацию от разных областей тела по спиноталамическому и спиноретикулярному трактам, либо через парабрахиальный комплекс моста [5–7] и, в свою очередь, формирует прямые и опосредованные нижележащими структурами проекции на дорсальный рог спинного мозга [3, 8]. В экспериментальных исследованиях продемонстрированы антиноцицептивные эффекты электрической, фармакологической и оптогенетической стимуляции БЯШ, проявляющиеся в моделях как соматической [9–11], так и висцеральной боли [12, 13]. Их реализацию преимущественно связывают с непосредственным влиянием ядра на спинальную ноцицептивную трансмиссию [2, 4], подтверждением чему служит наблюдающееся при стимуляции БЯШ подавление реакций ноцицептивных нейронов спинного мозга на соматические и висцеральные болевые стимулы [14–16].
В то же время, одним из важных реципиентов нисходящих проекций БЯШ является каудальная вентролатеральная ретикулярная область продолговатого мозга (кВЛРО) [17, 18], которая представляет собой первый церебральный центр обработки разного рода болевых сигналов, поступающих по нескольким параллельным спинальным путям, а также центр формирования адекватных им кардиоваскулярных и моторных реакций [2, 19, 20]. Установлено, что кВЛРО содержит специфические популяции ноцицептивных нейронов, которые дифференцированным образом реагируют на висцеральные и соматические болевые воздействия [21, 22]. Эту структуру рассматривают в качестве важного звена супраспинального контроля болевой чувствительности, модуляция активности которого ростральной вентромедиальной областью продолговатого мозга и, в частности, БЯШ может вносить существенный вклад в адекватное функционирование эндогенной антиноцицептивной системы и нарушаться при развитии хронических болевых синдромов [2, 23]. Однако эффекты активации БЯШ на ноцицептивную активность нейронов кВЛРО, а также изменения в них, которые могут быть вызваны той или иной патологией, остаются неисследованными.
В экспериментах на разных видах животных было показано, что патология органов пищеварительного тракта сопровождается функциональными перестройками в БЯШ. В частности, у коз и грызунов с воспалительным или инфекционным повреждением толстой кишки в этой структуре были отмечены повышенные уровни продукции c-fos белков и провоспалительных цитокинов [24, 25], а также изменения возбуждающих и тормозных реакций её нейронов на висцеральное и соматическое болевые раздражения [26]. Эти изменения в БЯШ были ассоциированы с повышенной висцеральной болевой чувствительностью (гипералгезией) на поведенческом уровне [25, 26]. Согласно данным наших предыдущих исследований на крысах, вызванные кишечным воспалением перестройки в активности нейронов БЯШ с разными ноцицептивными входами наблюдаются, как минимум, на протяжении месяца после разрешения органической патологии, свидетельствуя о развитии устойчивых изменений в возбудимости его различных клеточных популяций [27]. Представляется разумным предположить, что одним из следствий таких перестроек, способствующим продемонстрированной ранее поствоспалительный гипералгезии [28], могут являться изменения в модулирующих влияниях БЯШ на нижележащие ноцицептивные структуры, в частности, на кВЛРО, которая в условиях текущей кишечной патологии и после нее проявляет повышенную реактивность к висцеральным и соматическим болевым стимулам [21, 28, 29]. Между тем, конкретные экспериментальные факты, подтверждающие или опровергающие это предположение, на данный момент времени отсутствуют.
Хорошо известно, что важную роль в регуляции функциональной активности БЯШ и его антиноцицептивных влияний играют серотониновые 5-HT1A рецепторы. Эти метаботропные рецепторы, связанные с ингибиторным Gi/Go белком, в значительном количестве экспрессируются в БЯШ [30, 31], обеспечивая тормозное действие своего лиганда на локальные серотонин-синтезирующие нейроны и взаимодействующие с ними несеротониновые, в частности, глутамат- и ГАМКергические клетки [31–33]. Установлено, что 5-HT1А-зависимые механизмы вовлечены в реализацию нисходящих влияний БЯШ на соматическую болевую чувствительность [34, 35] и, в частности, в эффекты его стимуляции на спинальные ноцицептивные нейроны [36, 37]. При этом обнаружено, что экспрессия 5-HT1A рецепторов в БЯШ и на спинальном уровне [31, 38], а также их вклад в указанные выше процессы [34–36] могут изменяться при соматической патологии. В свою очередь, как показали наши недавние исследования, висцеральная ноцицептивная нейротрансмиссия в кВЛРО также находится под 5-НТ1А рецептор-зависимым контролем, который претерпевает изменения после перенесенного кишечного воспаления [28, 39]. Предположительно, определенную роль в контроле ноцицептивной активности кВЛРО могут играть нисходящие проекции со стороны БЯШ, регулируемые 5-НТ1А рецепторами этого ядра и/или таковыми, экспрессируемыми в кВЛРО [40, 41]. Однако участие 5-НТ1А-зависимых механизмов в модулирующих влияниях БЯШ на висцеральную и соматическую болевую трансмиссию на уровне кВЛРО и их возможные изменения после перенесенной висцеральной патологии еще никем не было исследовано.
На основании изложенного выше, целью проведенных нами нейрофизиологических экспериментов на анестезированных крысах являлось сравнительное изучение эффектов стимуляции БЯШ на активность нейронов кВЛРО, вызываемую висцеральными и соматическими болевыми стимулами, в отсутствие патологии и после перенесенного кишечного воспаления (колита) с оценкой вклада в эти процессы супраспинальных 5-НТ1А рецепторов при их активации интрацеребровентрикулярным введением 5-НТ1А агониста буспирона.
МЕТОДЫ ИССЛЕДОВАНИЯ
Эксперименты выполнены на 92 взрослых самцах крыс Вистар с исходной массой тела 270–350 г (возраст 2–3 месяца). Животные получены из Коллекции лабораторных млекопитающих разной таксономической принадлежности Института физиологии им. И.П. Павлова РАН, были выращены и содержались в стандартных условиях вивария (12 ч день/12 ч ночь, свободный доступ к пище и воде). После доставки в лабораторию крыс содержали в сходных условиях, позволив им адаптироваться в течение как минимум 3 дней до начала исследования.
Животные были случайным образом разделены на две группы: здоровый контроль (47 крыс) и подвергнутые кишечному воспалению (45 особей). Крысам второй группы после 16-часовой пищевой депривации с неограниченным доступом к воде инициировали колит по методу Дж. Морриса с соавторами [42]. Для этого с помощью приемов, подробно описанных ранее [21, 28, 43], через инсулиновый шприц с 7-сантиметровым полиэтиленовым катетером в ободочную кишку трансректально вводили 20 мг пикрилсульфониевой кислоты (TNBS, Sigma-Aldrich, США), растворенных в 0.25 мл 50% раствора этанола. После процедуры крыс содержали по 3–5 особей в клетке в стандартных условиях со свободным доступом к пище и воде. Животных забирали в эксперимент через 30–49 дней после инъекции, когда они переставали демонстрировать внешние признаки колита (размягченный или жидкий стул, плохой аппетит, потеря веса).
В день проведения нейрофизиологического эксперимента животное из контрольной или экспериментальной группы после 16-часового голодания внутрибрюшинно анестезировали смесью уретана (800 мг/кг; Sigma-Aldrich, США) и альфа-хлоралозы (60 мг/кг; Sigma-Aldrich, США). Дальнейшие хирургические процедуры были аналогичны описанным ранее [27, 43, 44]. Вкратце, после достижения хирургического уровня анестезии устанавливали катетеры в бедренные артерию и вену (для мониторинга артериального давления и внутривенных инъекций), затем производили трахеостомию (для облегчения дыхания). Голову животного, закрепленную в стереотаксическом приборе RWD 68026 (RWD Life Science Co., Китай), наклоняли под углом 30° к горизонтальной плоскости. Рассекали мягкие ткани дорсальной поверхности шеи и удаляли нижнюю часть затылочной кости с подлежащей твердой мозговой оболочкой, чем обеспечивали доступ к каудальной части продолговатого мозга, содержащей кВЛРО. Ткань мозга смачивали теплым физиологическим раствором. Для электростимуляции БЯШ просверливали отверстие в зоне его проекции на межтеменную кость черепа согласно стандартному атласу мозга крысы [45]. Через отверстие в пределах стереотаксических координат левой части ядра (9.7–11.5 мм каудальнее брегмы, 0.0–0.5 мм латеральнее средней линии, 9.9–10.4 мм от поверхности мозга) погружали монополярный вольфрамовый стимулирующий электрод в лаковой изоляции (диметр кончика 2 мкм, сопротивление 80 кОм). Стальной индифферентный электрод закрепляли в правой височной мышце. Для экспериментов с интрацеребровентрикулярным введением буспирона или физраствора в черепе дополнительно в соотвествии с данными атласа мозга крысы [45] просверливали небольшое отверстие над левым боковым желудочком мозга, через которое стереотаксически погружали иглу шприца Гамильтона (1.2 мм каудальнее брегмы, 2.0 мм латеральнее средней линии, глубина 4.0 мм от поверхности коры).
Внеклеточную регистрацию активности нейронов кВЛРО осуществляли с использованием вольфрамовых микроэлектродов в лаковой изоляции (диаметр кончика 1 мкм, сопротивление 0.98–1.1 МОм; World Precision Instruments, США). Электроды погружали в левую кВЛРО с помощью электронного микроманипулятора (MD842, Siskiyou Corporation, США) в пределах области, локализованной 0.8–1.5 мм ростральнее задвижки и 1.8–2.1 мм латеральнее средней линии на глубине 2.6–3.6 мм от дорсальной поверхности продолговатого мозга. Стальной игольчатый индифферентный электрод помещали в контралатеральную затылочную мышцу. Отводимые регистрирующим микроэлектродом сигналы усиливали и фильтровали в диапазоне частот 400–5000 Гц с помощью DAM 80 (World Precision Instruments, США). После преобразования аналого-цифровым интерфейсом CED Power1401-3 (Cambridge Electronic Design, Великобритания) на частоте 20 кГц, сигналы передавали в персональный компьютер с программным обеспечением Spike 2 (Cambridge Electronic Design, Великобритания) для отображения, предварительной обработки в режиме реального времени и последующего сохранения.
Помимо нейрональной активности, в программе Spike 2 в режиме реального времени отображался уровень системного артериального давления (АД), которое регистрировалось через канюлю в бедренной артерии с помощью датчика давления (MLT844, ADInstruments Inc., США) и мостового усилителя (FE221, ADInstruments, США), передающего сигналы аналого-цифровому интерфейсу CED Power1401-3. Стабильный уровень АД при отсутствии экспериментальных воздействий служил показателем адекватности анестезии. При существенных колебаниях или повышении этого показателя внутривенно вводили дополнительное количество анестезирующей смеси. Температуру тела животного во время эксперимента контролировали ректально и поддерживали на уровне 37.4–38.0°С с использованием использованием подогревающей пластины и водяного термостата (U-10, Германия).
Электростимуляцию БЯШ осуществляли прямоугольными импульсами тока отрицательной полярности амплитудой 0.5–2.0 В и длительностью 0.2 мс, которые предъявляли с частотой 50 Гц в течение 3 с при помощи стимулятора Isostim A320 (World Precision Instruments, США), управляемого компьютером посредством программы Spike 2. Параметры стимуляции были выбраны исходя из данных исследований, свидетельствующих о способности электрораздражения БЯШ со сходными характеристиками оказывать антиноцицептивный эффект на анестезированных и бодрствующих животных [12, 13–15, 37, 46, 47].
Висцеральная болевая стимуляция представляла собой колоректальное растяжение, которое производили посредством раздувания воздухом (до давления 80 мм рт. ст.) резинового баллона длиной 7 см. Последний вводили трансректально и присоединяли через Y-образный разъем к электрическому воздушному насосу (ДС-09, Висма-Планар, Беларусь) и к сфингоманометру. В качестве соматического болевого раздражения применяли контролируемое алгезиметром BIO-RP-R (Bioseb SAS, Франция) сдавливание основания хвоста животного сенсорным пинцетом с нагрузкой 650–900 г. Отчетливо видимые изменения уровня системного артериального давления, вызываемые применяемыми стимулами, служили индикатором их ноцицептивного действия.
В первой серии экспериментов на 26 здоровых крысах и 24 животных, перенесших колит, были изучены ноцицептивные реакции нейронов кВЛРО до и после электростимуляции БЯШ. Для каждого регистрируемого нейрона оценивали его исходные ответы на висцеральное и затем (с интервалом не менее 3 мин) — на соматическое болевые раздражения. В каждом случае запись осуществляли на 3-минутном интервале: 60 с до стимуляции (фоновый показатель), 60 с во время болевого воздействия и 60 с после него. Далее эти же реакции нейрона поочередно (с интервалом не менее 3 мин) оценивали в условиях электростимуляции БЯШ. При этом в каждом случае текущую фоновую активность регистрировали в течение 57 с, затем применяли 3-секундную стимуляцию БЯШ и сразу после её окончания проводили 60-секундное висцеральное или соматическое воздействие с последующим 60-секундным постстимульным периодом. У одного животного нейрональную активность кВЛРО подобным образом регистрировали в 3–5 разных точках локализации регистрирующего электрода, отстоящих друг от друга не менее, чем на 150 мкм.
Во второй серии экспериментов, выполненных на 21 здоровой крысе и 21 животном, перенесшем колит, были изучены эффекты электростимуляции БЯШ на реакции нейронов кВЛРО, вызываемые висцеральными и соматическими болевыми стимулами после введения 5-НТ1А агониста буспирона или физиологического раствора (в качестве контроля) в левый латеральный желудочек мозга. Как здоровые, так и перенесшие воспаление крысы были случайным образом разделены на три равные подгруппы (по 7 особей в каждой), которые в интрацеребровентрикулярной инъекции объемом 0.3 мкл получили 0.3 мкг буспирона, 1 мкг последнего или только его растворитель физраствор, соответственно. Количества буспирона были выбраны на основании анальгетического действия его эквивалентных количеств при интрацеребровентрикулярном введении у бодрствующих грызунов в моделях соматической боли [48]. У всех животных нейрональные эффекты электростимуляции БЯШ оценивали до инъекции, а также через 5, 15, 30, 45 и 60 мин после введения буспирона или физиологического раствора. В каждый момент времени поочередно (с интервалом не менее 3 мин) производили 3-минутные записи с реакциями нейронов кВЛРО на висцеральное или соматическое болевое воздействия после 3-секундной активации БЯШ, которые осуществлялись аналогично описанным в первой серии экспериментов.
В обеих экспериментальных сериях после завершения процедуры регистрации животное подвергали эвтаназии внутривенным введением трехкратной дозы анестезирующей смеси, после чего выполняли электролитическое разрушение ткани мозга пропусканием через регистрирующий и стимулирующий электрод постоянного тока отрицательной полярности (0.5–1.2 мА; 40 секунд). Мозг извлекали и фиксировали в 10% растворе параформальдегида. Локализацию мест регистрации производили на срезах мозга толщиной 40 мкм, обработанных по методу Ниссля, с помощью атласа мозга крысы [45]. По завершении каждого опыта у здоровых крыс и животных, перенесших колит, был осуществлен забор фрагмента толстой кишки длиной 8 см от ануса для визуального анализа и последующего гистологического окрашивания эозином и гематоксилином с целью исключения активного кишечного воспаления.
В процессе последующего оффлайн анализа в программе Spike 2 (Cambridge Electronic Design, Великобритания) из полученных в разных экспериментах записей выделяли импульсные последовательности для отдельных нейронов кВЛРО. Как правило, удавалось выделить активность 3–5 нейронов. Исходно для каждой изолированной по амплитуде и форме последовательности спайков рассчитывали среднюю частоту разрядов в периоды до (фоновый уровень), во время болевого воздействия и после стимуляции. Нейрон считали реагирующим на применяемые болевые стимулы, если частота его разрядов во время раздражения изменялась от фонового значения не менее чем на 15%. Для оценки модулирующего влияния БЯШ, реакцию нейрона на то или иное болевое раздражение, зарегистрированную после электростимуляции БЯШ, выражали в процентах от исходного ответа. Для оценки влияния на нейрональные эффекты БЯШ интрацеребровентрикулярного введения разных количеств буспирона или физиологического раствора, амплитуду ноцицептивного ответа, продемонстрированного нейроном после стимуляции БЯШ, оценивали до и в разные моменты времени после конкретной инъекции.
Статистическую обработку, сравнение и графическое представление результатов, полученных в разных условиях и на разных группах животных, производили в программах Origin 2017 (OriginLab, США) и IBM SPSS Statistics v. 21.0 (IBM Corp., США). В связи с выявленным тестом Шапиро–Вилка отклонением анализируемых выборок от нормального распределения, их статистические сравнения выполняли с использованием непараметрических методов. Для внутригрупповых сравнений применяли тест Фридмана и парный тест Вилкоксона, для сравнений между группами использовали тесты Крускала-Уоллиса и Манна–Уитни–Вилкоксона. Эффекты влияния и взаимодействия разных экспериментальных факторов оценивали с помощью смешанной модели дисперсионного анализа (ANOVA) на рангах с апостериорным анализом, применяющим поправку Бонферрони для множественных сравнений. Данные выражены в виде медианы с межквартильным размахом (Me [Q1; Q3]). Для оценки различий между группами по частотам проявления тех или иных нейрональных реакций применяли тест хи-квадрат. Различия считали статистически значимыми при p < 0.05.
РЕЗУЛЬТАТЫ ИССЛЕДОВАНИЯ
Во всех экспериментах на здоровых крысах и животных, перенесших колит, зарегистрированные ноцицептивные нейроны кВЛРО были локализованы между двойным и латеральным ретикулярными ядрами в области, расположенной на 0.8–1.3 мм ростральнее задвижки (рис. 1a). Кончик стимулирующего электрода во всех экспериментах был локализован в левой части БЯШ на уровне 10.5–11.2 мм каудальнее брегмы (рис. 1b).
Рис. 1. Локализация мест регистрации нейронов в каудальной вентролатеральной ретикулярной области продолговатого мозга у здоровых (темные символы) и перенесших колит (светлые символы) крыс (a) и зона электрической стимуляции большого ядра шва у всех животных (b). На (a), каждый символ соответствует локализации нескольких изученных нейронов. Схемы срезов адаптированы из стандартного атласа мозга крысы [45]
Обозначения на (a): Amb — двойное ядро, Cu — клиновидное ядро, ECu — внешнее клиновидное ядро, Gi — гигантоклеточное ретикулярное ядро, IRt — промежуточное ретикулярное ядро, LRt — латеральное ретикулярное ядро, ml — медиальный лемниск, mlf — медиальный продольный пучок, PCRt — мелкоклеточное ретикулярное ядро, PMn — парамедианное ретикулярное ядро, py — пирамидный тракт, sol — одиночный тракт, Sol — ядро одиночного тракта, sp5 — спинальный тройничный тракт, Sp5I — интерполярная часть спинального ядра тройничного нерва, XII — ядро подъязычного нерва. Обозначения на (b): 4V — IV желудочек мозга, DPGi — дорсальное парагигантоклеточное ядро, g7 — колено лицевого нерва, Gi — гигантоклеточное ретикулярное ядро, GiA — часть альфа гигантоклеточного ретикулярного ядра, IRt — промежуточное ретикулярное ядро, LPGi — латеральное парагигантоклеточное ядро, ml — медиальный лемниск, mlf — медиальный продольный пучок, MVe — медиальное вестибулярное ядро, PPy — парапирамидное ядро, Pr — препозитное ядро, py — пирамидный тракт, RMg — большое ядро шва, RPa — бледное ядро шва, ts — покрышечно-спинномозговой путь
При висцеральном и соматическом болевых раздражениях изученные нейроны продолговатого мозга могли демонстрировать избирательноe возбуждение в ответ на один из стимулов и торможение или отсутствие реакции на другой, либо реагировать усилением активности на оба болевых воздействия (рис. 2). По особенностям ноцицептивных ответов они были разделены на нейроны висцерального, соматического и общего типа.
Рис. 2. Примеры реакций нейронов каудальной вентролатеральной ретикулярной области продолговатого мозга, относящихся к висцеральному (a, b), соматическому (c, d) и общему (e, f) ноцицептивным типам, на болевые колоректальное растяжение (colorectal distension) и сдавливание хвоста (squeezing of the tail). На (a — f), в верхней части — нативные записи импульсной активности, в нижней части — соответствующие частотные гистограммы с бином в 1 с. По оси абсцисс — время в секундах, по оси ординат — частота разрядов (spikes/s). Горизонтальные отрезки — время действия раздражений
Эффекты стимуляции большого ядра шва на бульбарные ноцицептивные нейроны в отсутствие патологии и после перенесенного кишечного воспаления
В группе здорового контроля было изучено 139 ноцицептивных нейронов кВЛРО, из которых 44 клетки (31.7%) были отнесены к висцеральному, 39 (28.0%) нейронов — к соматическому и 56 (40.3%) клеток — к общему типам. Тест Краскела‒Уоллиса выявил различия между частотами фоновой активности этих нейронов (p = 0.03, KW = 7.3). Нейроны висцерального типа обладали наибольшей частотой фоновых разрядов, которая существенно превышала таковую у соматических ноцицептивных клеток (p = 0.03, U = 248, тест Манна–Уитни–Вилкоксона), но была сопоставима с фоновой активностью нейронов общего типа (p = 0.27, U = 185; табл. 1). При этом реакция возбуждения висцеральных ноцицептивных клеток в ответ на болевое растяжение кишки была менее выражена, чем сходная реакция нейронов соматической группы на сдавливание хвоста (p < 0.001, U = 388, тест Манна–Уитни–Вилкоксона). Нейроны общего типа также характеризовались более сильной реакцией на соматические болевые стимулы, чем на висцеральные (p < 0.001, парный тест Вилкоксона; табл. 1).
Таблица 1. Фоновая активность и реакции на болевые колоректальное растяжение (КРР) и сдавливание хвоста (Хвост), демонстрируемые нейронами каудальной вентролатеральной ретикулярной области продолговатого мозга у крыс из группы здорового контроля и у животных, перенесших колит
Тип нейронов | Кол-во | Фоновая активность (имп/с) | Ноцицептивный ответ (% от уровня фоновой активности) | |
КРР | Хвост | |||
Здоровый контроль | ||||
Висцеральн. | 44 | 2.4 [1.4; 5.9] | 28.7 [18.8; 56.4] | – 4.9 [– 15.8; 3.1] |
Соматич. | 39 | 1.5 [0.7; 3.2] ∆ | 6.5 [– 2.9; 9.9] | 74.9 [35.6; 110.2] |
Общий | 56 | 1.9 [0.6; 3.7] | 32.7 [22.2; 56.5] | 55.9 [37.0; 119.1] ▲▲▲ |
После колита | ||||
Висцеральн. | 60 | 2.7 [1.4; 6.1] | 33.5 [24.3; 60.9] | 4.3 [– 10.6; 9.5] ** |
Соматич. | 32 | 1.4 [0.8; 3.8] ∆ | 0.7 [– 6.0; 5.6] * | 65.3 [29.6; 109.9] |
Общий | 79 | 2.6 [0.9; 5.6] | 59.5 [27.6; 103.1] ** | 71.7 [32.1; 150.2] ▲▲▲ |
Примечание: Данные представлены как медиана с межквартильными интервалами (Me [Q1; Q3]). Значимые различия: ∆ — p < 0.05, по сравнению с соответствующим показателем у нейронов висцерального типа (тест Манна–Уитни–Вилкоксона); ▲▲▲ — p < 0.001, по сравнению с ответом на КРР у нейронов общего типа (парный тест Вилкоксона); * — p < 0.05, ** — p < 0.01, по сравнению с соответствующим показателем в группе контроля (тест Манна–Уитни–Вилкоксона).
Предварительная электростимуляция БЯШ могла вызывать ослабление возбуждающих реакций нейронов кВЛРО на болевые стимулы, усиление их тормозных ноцицептивных ответов, либо подавление последних (рис. 3). Эти эффекты зависели от принадлежности нейронов к тому или иному типу (эффект типа нейронов, p < 0.001, F2,690 = 8.16, смешанная модель ANOVA), а также от вида болевого раздражения (эффект стимула, p < 0.001, F1,690 = 18.24). У висцеральных ноцицептивных нейронов стимуляция БЯШ приводила к уменьшению их возбуждающих реакций на кишечное растяжение (p < 0.001, парный тест Вилкоксона), но вызывала инверсию их тормозного ответа на соматический стимул в возбуждающий (p < 0.001; рис. 4a, b). У нейронов соматического типа влияния БЯШ проявлялись в усилении тормозных нейрональных ответов на КРР (p < 0.001) и подавлении возбуждающих реакций на сдавливание хвоста (p < 0.001; рис. 4c, d). В свою очередь, общие ноцицептивные нейроны после активации БЯШ демонстрировали сниженный уровень возбуждения при обоих видах болевых раздражений (в обоих случаях, p < 0.001; рис. 4e, f).
Рис. 3. Примеры возбуждающей (a, b) и тормозных (c — f) реакций ноцицептивных нейронов каудальной вентролатеральной ретикулярной области продолговатого мозга на болевые колоректальное растяжение (CRD) и сдавливание хвоста (ST) исходно (a, c, e) и после электростимуляции большого ядра шва (b, d, f). На (a — f), в верхней части — нативные записи, ниже — соответствующие частотные гистограммы с бином в 1 с. По оси абсцисс — время в секундах, по оси ординат — частота разрядов (spikes/s). Горизонтальные отрезки — время действия болевых раздражений. Стрелка — электрическая стимуляция большого ядра шва (RMg)
Рис. 4. Амплитуда реакций нейронов каудальной вентролатеральной ретикулярной области продолговатого мозга, относящихся к висцеральному (a, b), соматическому (c, d) и общему (e, f) ноцицептивным типам, на болевые колоректальное растяжение (CRD) и сдавливание хвоста (Tail) исходно (CRD или Tail) и после предварительной электрической стимуляции большого ядра шва (RMg+CRD или RMg+Tail) у здоровых (Control) и перенесших колит (Postcolitis) крыс. По оси ординат — реакция в % от уровня фоновой активности. На (a — f), верхняя и нижняя границы каждого прямоугольника — первый и третий квартили (25-й и 75-й процентили соответственно), горизонтальная линия внутри — медиана (50-й процентиль), концы отрезков — 10-й и 90-й процентили, ромбы — индивидуальные значения в выборке. Значимые различия по сравнению с соответствующим значением до электростимуляции: # — р < 0.05, ## — р < 0.01, ### — p < 0.001, парный тест Вилкоксона. Значимые различия по сравнению с соответствующим значением в группе контроля: * — р < 0.05, ** — р < 0.01, *** — р < 0.001, тест Манна-Уитни-Вилкоксона
У крыс, перенесших колит, в кВЛРО был зарегистрирован 171 ноцицептивный нейрон. Соотношение нейронов, отнесенных к разным типам, было сопоставимо с таковым у здоровых животных (p = 0.15, Chi-square = 3.8, тест хи-квадрат), составляя 60 (35.1%) висцеральных, 32 (18.7%) соматических и 79 (46.2%) общих ноцицептивных клеток. Частота фоновой активности нейронов разного типа по сравнению с таковой в группе здорового контроля также существенно не отличалась (для всех сравнений, p = 0.45‒0.92, U = 157.0‒499.5, тест Манна–Уитни–Вилкоксона; табл. 1). Однако были отмечены изменения в их ноцицептивной активности и эффектах на последнюю БЯШ. Анализ ноцицептивной активности нейронов кВЛРО с помощью смешанной модели ANOVA выявил эффекты на неё группы животных (p = 0.04, F1,345 = 4.12) и взаимодействия факторов группа × тип нейронов (p = 0.02, F5,211 = 5.82). При анализе влияний БЯШ были выявлены эффекты взаимодействия факторов группа животных × тип нейронов (p < 0.01, F5,690 = 6.17), группа × стимул (p = 0.012, F3,690 = 6.35) и группа × тип нейронов × стимул (p < 0.001, F11,690 = 7.47).
В постколитный период возбуждающие реакции нейронов висцерального типа на КРР были сопоставимы с такими же реакциями при отсутствии патологии (p = 0.10, U = 1067, тест Манна–Уитни–Вилкоксона), но уменьшились тормозные ответы на сдавливание хвоста (p < 0.01, U = 920; табл. 1). В этих условиях было отмечено ослабление тормозного эффекта электростимуляции БЯШ на нейрональное возбуждение при растяжении кишки (p < 0.001, U = 769.5, тест Манна–Уитни–Вилкоксона; рис. 4a) и менее выраженный, чем в нормальных условиях, инверсивный эффект активации ядра на вызываемое соматической стимуляцией нейрональное торможение (p < 0.01, U = 847; рис. 4b).
У соматических ноцицептивных нейронов после колита усугублялись тормозные ответы на КРР (по сравнению с таковыми в группе здорового контроля, p = 0.02, U = 417.5, тест Манна–Уитни–Вилкоксона), но оставались неизмененными возбуждающие ответы на сдавливание хвоста (p = 0.47, U = 561.5; табл. 1). Это сопровождалось ослаблением потенциирующего эффекта БЯШ на вызываемый висцеральной стимуляцией тормозный ответ (p < 0.01, U = 395; рис. 4c) и уменьшением подавляющего влияния ядра на нейрональное возбуждение при соматическом болевом раздражении (p = 0.046, U = 450.5; рис. 4d).
Общие ноцицептивные нейроны кВЛРО в постколитный период демонстрировали усиленные по сравнению с таковыми в группе здорового контроля возбуждающие реакции на КРР (p < 0.01, U = 1574.5, тест Манна–Уитни–Вилкоксона) при статистически сопоставимых ответах на сдавливание хвоста (p = 0.29, U = 2120.5; табл. 1). При этом наблюдалось существенное ослабление тормозных эффектов стимуляции БЯШ как на висцеральную (p < 0.01, U = 1543; рис. 4e), так и соматическую ноцицептивную активность этих нейронов (p = 0.03, U = 1765; рис. 4f).
Эффекты фармакологической активации супраспинальных 5-НТ1А серотониновых рецепторов на модулирующие влияния большого ядра шва при отсутствии патологии и в постколитный период
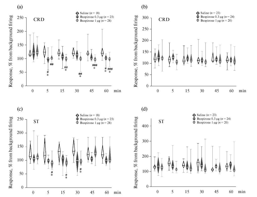
В этих экспериментах внимание было сосредоточено на эффектах стимуляции БЯШ, адресованным нейронам кВЛРО, относящимся к общей ноцицептивной группе, т.е. демонстрирующим возбуждение как в ответ на раздражение кишки, так и на сдавливание хвоста. У здоровых крыс в общей сложности было зарегистрировано 69 таких нейронов, у перенесших колит животных — 67 клеток. В каждом случае распределение нейронов по группам, подвергнутым интрацеребровентрикулярному введению физиологического раствора (в качестве контроля) или разных количеств агониста 5-НТ1А буспирона, отражено на рисунке 5.
В группе здорового контроля инъекции буспирона не оказывали существенного влияния на фоновую активность изученных нейронов кВЛРО ни в дозе 0.3 мкг (p = 0.14, Fr = 8.30, тест Фридмана), ни в количестве 1 мкг (p = 0.43, Fr = 4.89). Меньшая доза 5-НТ1А агониста также не вызывала значимых изменений в реакциях нейронов на КРР (p = 0.94, Fr = 1.26) и сдавливание хвоста (p = 0.87, Fr = 1.87). После введения 1 мкг буспирона наблюдалось выявленное тестом Фридмана уменьшение реакций бульбарных нейронов на висцеральное (p < 0.01, Fr = 18.59) и соматическое (p = 0.03, Fr = 12.46) болевые воздействия, которое, однако, не подтвердилось парным тестом Вилкоксона, а также критерием Манна–Уитни–Вилкоксона при сравнении с группой контроля.
Между тем, анализ с помощью смешанной модели ANOVA выявил существенный эффект внутримозговых инъекций на модуляцию ноцицептивных нейронов продолговатого мозга, вызываемую стимуляцией БЯШ (p < 0.001, F2,211 = 8.32). Действительно, введение разного количества буспирона усиливало тормозные влияния БЯШ на ноцицептивные реакции нейронов кВЛРО. В отношении влияния БЯШ на нейрональные ответы, вызываемые висцеральной стимуляцией, этот эффект проявлялся при действии как 0.3 мкг (p = 0.03, Fr = 11.77), так и 1 мкг 5-НТ1А агониста (p < 0.001, Fr = 24.07). Однако только эффект второй дозы был значимым по отношению к контрольной инъекции физраствора с 15-ой минуты и до конца эксперимента (для всех сравнений: p = 0.014–0.035, U = 84–96, тест Манна–Уитни–Вилкоксона; рис. 5a). Также только в количестве 1 мкг буспирон существенно усиливал тормозный эффект БЯШ на возбуждение нейронов кВЛРО в ответ на сдавливание хвоста (p < 0.01, Fr = 19.94, тест Фридмана). Это проявлялось с 5-ой по 30-ю минуты эксперимента и в этот период было значимым по отношению к действию физраствора (для всех сравнений: p = 0.01–0.04, U = 19–44, тест Манна–Уитни–Вилкоксона; рис. 5c).
Рис. 5. Эффекты электрической стимуляции большого ядра шва на возбуждение нейронов каудальной вентролатеральной ретикулярной области продолговатого мозга, вызванное болевыми колоректальным растяжением (CRD) и сдавливанием хвоста (ST), после интрацеребровентрикулярного введения агониста 5-HT1A рецепторов буспирона в количествах 0.3 и 1 мкг у здоровых (a, c) и перенесших колит (b, d) крыс. По оси абсцисс — время до (0) и после инъекции в мин. По оси ординат — реакция в % от уровня фоновой активности. На (a — d), верхний и нижний углы каждого ромба — первый и третий квартили (25-й и 75-й процентили соответственно), горизонтальная линия внутри — медиана (50-й процентиль), концы отрезков — 10-й и 90-й процентили. Значимые изменения по сравнению с соответствующим исходным уровнем: # р < 0.05, ## р < 0.01 и ### p < 0.001, парный тест Вилкоксона. Значимые различия по сравнению с инъекцией физиологического раствора: * р < 0.05, тест Манна–Уитни–Вилкоксона. Значимость изменений дана с учетом поправки Бонферрони
В постколитный период интрацеребровентрикулярно введенный буспирон по данным теста Фридмана не оказывал влияния на фоновую активность ноцицептивных нейронов кВЛРО в количестве 1 мкг (p = 0.94, Fr = 1.24), но вызывал её усиление в дозе 0.3 мкг (p < 0.01, Fr = 15.7). Однако этот эффект был значим по отношению к таковому физраствора лишь на 5-й (p = 0.02, U = 20, тест Манна–Уитни–Вилкоксона) и 15-ой (p = 0.03, U = 23) минутах после введения. При этом не было выявлено существенных влияний препарата в обеих дозах на ответы нейронов на висцеральную (для 0.3 мкг: p = 0.09, Fr = 9.37; для 1 мкг: p = 0.73, Fr = 2.82) и соматическую (p = 0.08, Fr = 9.90 и p = 0.40, Fr = 5.09) болевые стимуляции.
Между тем, анализ с помощью смешанной модели ANOVA выявил существенный эффект группы животных (p < 0.001, F1,211 = 11.83), а также эффект взаимодействия факторов группа × инъекция (p < 0.001, F5,211 = 6.73) на бульбарные влияния БЯШ. В отличии от действия в группе здорового контроля, после колита обе дозы внутримозгового буспирона не были способны существенно изменить влияние БЯШ на ноцицептивную активность нейронов кВЛРО как во время КРР (для 0.3 мкг: p = 0.13, Fr = 8.62; для 1 мкг: p = 0.23, Fr = 6.85, тест Фридамана; рис. 5b), так и при сдавливании хвоста (p = 0.14, Fr = 8.33 и p = 0.48, Fr = 4.48; рис. 5d), свидетельствуя об ослаблении вклада 5-НТ1А рецептор-зависимых механизмов в исследуемые процессы.
ОБСУЖДЕНИЕ РЕЗУЛЬТАТОВ
Полученные в работе данные свидетельствуют, что БЯШ оказывает модулирующие влияния на разные популяции ноцицептивных нейронов кВЛРО, демонстрирующих неселективные или дифференцированные реакции на висцеральное (колоректальное растяжение) и соматическое (сдавливание хвоста) болевые воздействия. При этом в разных типах ноцицептивных нейронов эффектами активации БЯШ являются ослабление возбуждения и усиление торможения в ответ на висцеральное болевое воздействие при параллельном подавлении обоих типов нейрональных реакций на соматический болевой стимул, что в целом может лежать в основе нисходящих антиноцицептивных влияний данного ядра шва. Как установлено, тормозные влияния БЯШ на вызываемое висцеральными и соматическими болевыми воздействиями возбуждение нейронов кВЛРО усиливается после интрацеребровентрикулярного введения буспирона, указывая на вовлечение 5-НТ1А рецептор-зависимых механизмов. Впервые показано, что после перенесенного кишечного воспаления (колита) наблюдается уменьшение эффектов БЯШ как на возбуждающую, так и тормозную висцеральную и соматическую болевые нейротрансмиссии в каудальном продолговатом мозге, что может свидетельствовать об общем ослаблении антиноцицептивной функции этой структуры в поствоспалительный период. В этих условиях попытка модулировать нисходящие тормозные влияния БЯШ на ноцицептивные нейроны кВЛРО посредством фармакологической активации супраспинальных 5-НТ1А рецепторов является неэффективной, предполагая уменьшение вклада последних в исследуемые процессы.
Представленные сведения о существовании популяций нейронов кВЛРО с неселективными и дифференцированными реакциями на висцеральное и соматическое болевые воздействия согласуются с результатами нашего предыдущего исследования [21], а также данными других авторов, обнаруживших в этой области сходные по свойствам группы ноцицептивных клеток [22, 49]. В отличие от одинаково реагирующих на разные виды боли нейронов, клетки кВЛРО с дифференцированными ответами могут обеспечивать селективный контроль висцеральных и соматических ноцицептивных потоков на первом уровне их супраспинальной обработки и быть вовлечены в инициацию характерных для разных видов боли кардиоваскулярных и респираторных реакций, специфика которых была показана нами ранее [21]. По избирательным реакциям возбуждения мы обозначили эти нейроны как висцеральные и соматические ноцицептивные. Выявленные в представленном исследовании различия фоновой импульсации таких нейронов подтверждают их принадлежность к функционально различным популяциям.
Нами были выявлены некоторые особенности влияний БЯШ на разные типы ноцицептивных нейронов кВЛРО, которые могут указывать на возможные различия в обеспечивающих такие влияния механизмах. Так электростимуляция БЯШ подавляла возбуждение неселективных (общих) нейронов, вызываемое как висцеральным, так и соматическим болевыми раздражениями, что может свидетельствовать в пользу непосредственного тормозного действия исследуемого ядра шва на данную популяцию ноцицептивных клеток и/или вход к ним от конвергентных (общих для разных видов боли) спинальных ноцицептивных нейронов. В то же время следствием вызываемой тормозными проекциями БЯШ гиперполяризации мембраны селективных соматических ноцицептивных нейронов может быть отмеченное нами уменьшение их возбуждающих реакций на сдавливание хвоста и усиление торможения при КРР. В свою очередь, наблюдавшееся после активации БЯШ ослабление не только возбуждающего висцерального, но и тормозного соматического входов к висцеральным ноцицептивным нейронам может быть объяснено пресинаптическим подавлением обоих видов афферентов. При этом мы не можем исключить, что частично этот эффект БЯШ может быть следствием его непосредственного тормозного влияния на спинальные ноцицептивные нейроны [14–16], среди которых обнаружены клетки, которые противоположным образом реагируют на висцеральные и соматические болевые стимулы [50, 51].
Продемонстрированные эффекты стимуляции БЯШ на нейроны кВЛРО могут реализоваться через его прямые проекции на данную область [17, 18]. Конкретные нейрохимические характеристики этих проекций в настоящее время остаются неясными. Между тем, показано, что основными нейромедиаторами в нисходящих тормозных (антиноцицептивных) путях БЯШ являются серотонин и ГАМК [52–54]. Предполагается также вовлечение энкефалин-, глицин- и норадренергических механизмов [46, 53–55]. При этом установлено, что как фоновая, так и ноцицептивная активность нейронов кВЛРО уменьшается при активации 5-НТ1А, 5-НТ4 серотониновых рецепторов [39, 56] и α2-адренорецепторов [2]. Также известно, что реактивные к боли нейроны кВЛРО экспрессируют ГАМКB и μ-опиоидные рецепторы [57]. Эти данные позволяют предполагать, что продемонстрированное нами тормозное действие БЯШ на ноцицептивные нейроны кВЛРО может реализоваться с участием его серотонин-, ГАМК-, норадреналин- и/или опиоидергических проекций. Вполне возможно, что могут быть различия в нейрохимической организации проекций БЯШ к разным типам ноцицептивных нейронов, которые нуждаются в специальном исследовании.
Как показали наши эксперименты, антиноцицептивные влияния БЯШ на нейроны каудального продолговатого мозга, по крайней мере частично, обеспечиваются 5-НТ1А рецептор-зависимыми механизмами. Известно, что этот подтип серотониновых рецепторов в значительном количестве экспрессируется как самими серотонин-синтезирующими, так и несеротониновыми, в частности, ГАМКергическими клетками БЯШ [31, 33]. На этом основании выделяют 5-НТ1А ауто- и гетерорецепторы, первые из которых, как установлено, активируются малыми, а вторые — более высокими количествами их агониста буспирона [58]. Поэтому выявленное в наших экспериментах облегчающее действие более высокой дозы этого интрацеребровентрикулярно введенного препарата на антиноцицептивные влияния БЯШ может быть связано с преимущественной активацией тормозных 5-НТ1А гетерорецепторов на ГАМКергических интернейронах этого ядра, и, как следствие, ослабления ингибирующего влияния последних на соседние серотонин- и ГАМК-синтезирующие клетки, в том числе, формирующие нисходящие антиноцицептивные пути к кВЛРО [33, 59, 60]. В определенной мере продемонстрированный нами эффект буспирона также может быть объяснен его стимулирующим действием на 5-НТ1А-рецепторы, которые экспрессируются непосредственно в кВЛРО [40, 41] и, как мы установили ранее, способствуют угнетению фоновой и ноцицептивной активности нейронов этой области [28, 39]. Однако тот факт, что в нынешнем исследовании после интрацеребровентрикулярной инъекции 5-НТ1А-агониста мы не наблюдали значительных изменений в показателях фоновой и вызванной нейрональных активностях в кВЛРО как таковых, позволяет предполагать преимущественное действие препарата на уровне БЯШ.
Мы не можем исключить, что в наших экспериментах интрацеребровентрикулярно введенный буспирон, помимо действия на супраспинальные 5-НТ1А, мог проявлять свои свойства связываться с 5-HT2 рецепторами и выступать в качестве антагониста дофаминовых D2 ауторецепторов [61]. При этом активация 5-НТ2 рецепторов, действительно, могла способствовать наблюдавшемуся после введения препарата усилению антиноцицептивного эффекта стимуляции БЯШ, поскольку ранее был установлен существенный вклад рецепторов данного подтипа в реализацию нисходящих тормозных влияний этой структуры [62]. Однако значительно более низкая аффинность буспирона к 5-НТ2 рецепторам по сравнению с таковой к рецепторам 5-НТ1А [61] позволяет полагать, что выявленный нами эффект препарата является преимущественно 5-НТ1А рецептор-зависимым. В свою очередь, антагонистическое влияние буспирона на D2 рецепторы вряд ли может быть вовлечено в этот процесс, поскольку продемонстрировано, что непосредственное действие D2 антагонистов на область БЯШ не оказывает влияние на процессы модуляции им болевой чувствительности, что в значительной мере объясняется отсутствием дофаминергических проекций к данной области [63, 64]. Кроме того, известно, что снижение функциональной активности D2 рецепторов в дофаминергических структурах мозга способствует не усилению, а ослаблению антиноцицептивных механизмов [65].
Мы впервые продемонстрировали, что следствием перенесенного кишечного воспаления (колита) является ослабление влияний БЯШ на ноцицептивные нейроны кВЛРО разного типа, что может свидетельствовать об общем нарушении его функций в нисходящем антиноцицептивном контроле. Одной из причин может являться ранее обнаруженное нами в постколитный период нарастание тормозных ноцицептивных нейрональных процессов в БЯШ [27]. Усиленное торможение нейронов БЯШ при болевых кишечном и кожном воздействиях также показаны другими авторами при остром воспалительном повреждении толстой кишки [26]. Возникшее при развитии органической патологии и сохранившееся после её разрешения локальное нейрональное торможение могло препятствовать активации БЯШ и его нисходящих антиноцицептивных проекций на кВЛРО в наших экспериментах.
В основе постколитного нарастания тормозных процессов в БЯШ предположительно может лежать усиление в нем серотонинергической нейротрансмиссии. Последнее было показано при воспалении соматических тканей и периферической нейропатии [66, 67]. Если кишечное воспаление также способно вызвать в БЯШ повышение уровня локального синтеза серотонина, то мы можем ожидать усиления 5-HT1A рецептор-опосредуемого тормозного действия этого нейромедиатора как на сами серотонинергические, так и несеротониновые клетки этого ядра [33, 59], приводящего к общему снижению его нейрональной возбудимости и нисходящих тормозных влияний. Мы также не можем исключать вовлечение в этот процесс внутриядерных ГАМКергических механизмов [59, 60], повышенную активность которых связывают с подавлением антиноцицептивной функции БЯШ [68]. Помимо перестроек в самом ядре, определенный вклад в ослабление его влияний на кВЛРО могут вносить показанные нами постколитные изменения в ноцицептивной активности нейронов этой области [28], потенциально способные изменить их реактивность к нисходящему торможению.
В свою очередь, показанная нами в постколитный период неэффективность интрацеребровентрикулярного введения 5-НТ1А-агониста буспирона, свидетельствует об утрате супраспинальными 5-НТ1А рецепторами их позитивного вклада в антиноцицептивные эффекты стимуляции БЯШ в этих условиях. Возможной причиной могут являться вызванные перенесенной органической патологией изменения в соотношении 5-НТ1А ауто- и гетерорецепторов в исследуемом ядре шва. Косвенным подтверждением могут служить имеющиеся данные об увеличении в БЯШ количества локализованных на серотониновых клетках 5-НТ1А ауторецепторов после воспаления соматических тканей [31]. В случае аналогичного превалирования 5-НТ1А ауторецепторов в постколитный период, стимуляция буспироном меньших по числу 5-НТ1А гетерорецепторов на локальных ГАМКергических интернейронах будет недостаточной для растормаживания клеток БЯШ, формирующих нисходящие тормозные пути к кВЛРО, и не сможет преодолеть ауторецептор-опосредованное подавление его серотонинергических проекционных нейронов. Следствием этого может быть наблюдавшаяся нами у постколитных животных потеря 5-НТ1А-агонистом исходно присущей ему способности усиливать антиноцицептивные влияния БЯШ. Насколько эти предположения справедливы, должны показать дальнейшие исследования.
Таким образом, проведенные нами эксперименты продемонстрировали, что большое ядро шва способно оказывать тормозное действие на ноцицептивную активность как селективных, так и неизбирательных к разным видам боли нейронов каудальной вентролатеральной ретикулярной области продолговатого мозга, что в целом может приводит к уменьшению уровня активации этой области при поступлении висцеральных и соматических болевых сигналов, т. е. способствовать нисходящему антиноцицептивному контролю. Показан позитивный вклад в эти процессы супраспинальных 5-НТ1А рецептор-зависимых механизмов. Установлено, что антиноцицептивные влияния большого ядра шва на разные популяции бульбарных ноцицептивных нейронов существенно ослабевают после перенесенного кишечного воспаления (колита), свидетельствуя о нарушении антиноцицептивных функции этой структуры. При этом нивелируется 5-НТ1А рецептор-опосредуемая компонента таких влияний. Выявленные перестройки могут вносить вклад в супраспинальные механизмы патогенеза поствоспалительной абдоминальной боли и ассоциированных с ней соматических гипералгезий. Дальнейшие исследования нейрохимических и молекулярных основ таких перестроек будут способствовать разработке более эффективных методов лечения указанных состояний.
СОБЛЮДЕНИЕ ЭТИЧЕСКИХ СТАНДАРТОВ
Все применимые международные, национальные и/или институциональные принципы ухода и использования животных были соблюдены. Все процедуры, выполненные в исследованиях с участием животных, соответствовали этическим стандартам, утвержденным правовыми актами РФ, принципам Базельской декларации и рекомендациям Комиссии по контролю за содержанием и использованием лабораторных животных при Институте физиологии им. И.П. Павлова РАН (Протокол № 09/03/2020).
ИСТОЧНИКИ ФИНАНСИРОВАНИЯ
Исследование выполнено за счет гранта Российского научного фонда № 23-25-00151, https://rscf.ru/project/23-25-00151/.
КОНФЛИКТ ИНТЕРЕСОВ
Авторы декларируют отсутствие явных и потенциальных конфликтов интересов, связанных с публикацией данной статьи.
ВКЛАД АВТОРОВ
Идея работы и планирование эксперимента (О.А.Л.), сбор данных (Б.М.С., И.Б.С.), обработка данных (Б.М.С., И.Б.С., О.А.Л.), написание и редактирование манускрипта (Б.М.С., И.Б.С., О.А.Л.).
About the authors
B. M. Sushkevich
Pavlov Institute of Physiology of the Russian Academy of Sciences
Author for correspondence.
Email: lyubashinaoa@infran.ru
Russian Federation, Saint Petersburg
I. B. Sivachenko
Pavlov Institute of Physiology of the Russian Academy of Sciences
Email: lyubashinaoa@infran.ru
Russian Federation, Saint Petersburg
O. A. Lyubashina
Pavlov Institute of Physiology of the Russian Academy of Sciences
Email: lyubashinaoa@infran.ru
Russian Federation, Saint Petersburg
References
- Chen Q, Heinricher MM (2022) Shifting the Balance: How Top-Down and Bottom-Up Input Modulate Pain via the Rostral Ventromedial Medulla. Front Pain Res (Lausanne) 3:932476. https://doi.org/10.3389/fpain.2022.932476
- Martins I, Tavares I (2017) Reticular Formation and Pain: The Past and the Future. Front Neuroanat 11:51. https://doi.org/10.3389/fnana.2017.00051
- Millan MJ (2002) Descending control of pain. Prog Neurobiol 66:355–474. https://doi.org/ 10.1016/S0301-0082(02)00009-6
- Ossipov MH (2012) The perception and endogenous modulation of pain. Scientifica (Cairo) 2012:561761. https://doi.org/10.6064/2012/561761
- Almeida TF, Roizenblatt S, Tufik S (2004) Afferent pain pathways: a neuroanatomical review. Brain Res 1000(1–2):40–56. https://doi.org/10.1016/j.brainres.2003.10.073
- Chaouch A, Menetrey D, Binder D, Besson JM (1983) Neurons at the origin of the medial component of the bulbopontine spinoreticular tract in the rat: an anatomical study using horseradish peroxidase retrograde transport. J Comp Neurol 214:309–320. https://doi.org/10.1002/cne.902140308
- Chen Q, Roeder Z, Li MH, Zhang Y, Ingram SL, Heinricher MM (2017) Optogenetic evidence for a direct circuit linking nociceptive transmission through the parabrachial complex with pain-modulating neurons of the rostral ventromedial medulla (RVM). eNeuro 4:1–16. https://doi.org/10.1523/ENEURO.0202-17.2017
- Liang H, Wang S, Francis R, Whan R, Watson C, Paxinos G (2015) Distribution of raphespinal fibers in the mouse spinal cord. Mol Pain 11:42. https://doi.org/10.1186/s12990-015-0046-x
- Aby F, Lorenzo LE, Grivet Z, Bouali-Benazzouz R, Martin H, Valerio S, Whitestone S, Isabel D, Idi W, Bouchatta O, De Deurwaerdere P, Godin AG, Herry C, Fioramonti X, Landry M, De Koninck Y, Fossat P (2022) Switch of serotonergic descending inhibition into facilitation by a spinal chloride imbalance in neuropathic pain. Sci Adv 8(30): eabo0689. https://doi.org/10.1126/sciadv.abo0689
- Yang J, Pan YJ, Zhao Y, Qiu PY, Lu L, Li P, Chen F, Yan XQ, Wang DX (2011) Oxytocin in the rat caudate nucleus influences pain modulation. Peptides 32(10):2104–2107. https://doi.org/10.1016/j.peptides.2011.08.021
- Phillips S, Cantrill R, Ford D, Mitchell D (1986) Microinjection of dopamine agonists intonucleus raphe magnus affects nociception in rats. Pain 26(2):259–266. https://doi.org/10.1016/0304-3959(86)90080-1
- Randich A, Mebane H, DeBerry JJ, Ness TJ (2008) Rostral ventral medulla modulation of the visceromotor reflex evoked by urinary bladder distension in female rats. J Pain 9(10):920–926. https://doi.org/10.1016/j.jpain.2008.05.011
- Zhuo M, Gebhart GF (2002) Facilitation and attenuation of a visceral nociceptive reflex from the rostroventral medulla in the rat. Gastroenterology 122(4):1007–1019. https://doi.org/10.1053/gast.2002.32389
- Baik EJ, Jeong Y, Nam TS, Kim WK, Paik KS (1995) Mechanism of transmission and modulation of renal pain in cats; effect of nucleus raphe magnus stimulation on renal pain. Yonsei Med J 36(4):348–360. https://doi.org/10.3349/ymj.1995.36.4.348
- Jones SL, Light AR (1990) Electrical stimulation in the medullary nucleus raphe magnus inhibits noxious heat-evoked fos protein-like immunoreactivity in the rat lumbar spinal cord. Brain Res 530(2):335–338. https://doi.org/10.1016/0006-8993(90)91306-2
- Zhuo M, Sengupta JN, Gebhart GF (2002) Biphasic modulation of spinal visceral nociceptive transmission from the rostroventral medial medulla in the rat. J Neurophysiol 87(5):2225–2236. https://doi.org/10.1152/jn.2002.87.5.2225
- Cobos A, Lima D, Almeida A, Tavares I (2003) Brain afferents to the lateral caudal ventrolateral medulla: a retrograde and anterograde tracing study in the rat. Neuroscience 120(2):485–498. https://doi.org/10.1016/s0306-4522(03)00209-4
- Vertes RP, Fortin WJ, Crane AM (1999) Projections of the median raphe nucleus in the rat. J Comp Neurol 407(4):555–582.
- Almeida A, Leite-Almeida H, Tavares I (2006) Medullary control of nociceptive transmission: Reciprocal dual communication with the spinal cord. Drug Discov Today Dis Mech 3 (3): 305–312. https://doi.org/10.1016/j.ddmec.2006.09.001
- Tavares I, Lima D (2007) From neuroanatomy to gene therapy: searching for new ways to manipulate the supraspinal endogenous pain modulatory system. J Anat 211(2): 261–268. https://doi.org/10.1111/j.1469-7580.2007.00759.x
- Lyubashina OA, Sivachenko IB, Sokolov AY (2019) Differential responses of neurons in the rat caudal ventrolateral medulla to visceral and somatic noxious stimuli and their alterations in colitis. Brain Res Bull 152:299–310. https://doi.org/10.1016/j.brainresbull.2019.07.030
- Pinto-Ribeiro F, Ansah OS, Almeida A, Pertovaara A (2011) Response properties of nociceptive neurons in the caudal ventrolateral medulla (CVLM) in monoarthritic and healthy control rats: Modulation of responses by the paraventricular nucleus of the hypothalamus (PVN). Brain Res Bull 86 (1–2):82–90. https://doi.org/10.1016/j.brainresbull.2011.06.014
- Heinricher MM (2016) Pain Modulation and the Transition from Acute to Chronic Pain. Adv Exp Med Biol 904:105–115. https://doi.org/10.1007/978-94-017-7537-3_8
- Goehler LE, Gaykema RP, Opitz N, Reddaway R, Badr N, Lyte M (2005) Activation in vagal afferents and central autonomic pathways: early responses to intestinal infection with Campylobacter jejuni. Brain Behav Immun 19(4):334–344. https://doi.org/ 10.1016/j.bbi.2004.09.002
- Wan J, Ding Y, Tahir AH, Shah MK, Janyaro H, Li X, Zhong J, Vodyanoy V, Ding M (2017) Electroacupuncture attenuates visceral hypersensitivity by inhibiting JAK2/STAT3 signaling pathway in the descending pain modulation system. Front Neurosci 11:644. https://doi.org/10.3389/fnins.2017.00644
- Sanoja R, Tortorici V, Fernandez C, Price TJ, Cervero F (2010) Role of RVM neurons in capsaicin-evoked visceral nociception and referred hyperalgesia. Eur J Pain 14(2):120.e1–e9. https://doi.org/10.1016/j.ejpain.2009.04.006
- Sushkevich BM, Sivachenko IB, Lyubashina OA (2023) Postcolitis alterations in nociceptive properties of neurons in the rat nucleus raphe magnus and dorsal raphe nucleus. J Evol Biochem Phys 59(4):1057–1076. https://doi.org/10.1134/S0022093023040051
- Lyubashina OA, Sivachenko IB, Sushkevich BM, Busygina II (2023) Opposing effects of 5-HT1A receptor agonist buspirone on supraspinal abdominal pain transmission in normal and visceral hypersensitive rats. J Neurosci Res 101(10):1555‒1571. https://doi.org/10.1002/jnr.25222
- Lyubashina OA, Sivachenko IB, Busygina II, Panteleev SS (2018) Colitis-induced alterations in response properties of visceral nociceptive neurons in the rat caudal medulla oblongata and their modulation by 5-HT3 receptor blockade. Brain Res Bull 142:183–196. https://doi.org/10.1016/j.brainresbull.2018.07.013
- Munawar N, Bitar MS, Masocha W (2023) Activation of 5-HT1A Receptors Normalizes the Overexpression of Presynaptic 5-HT1A Receptors and Alleviates Diabetic Neuropathic Pain Int J Mol Sci 24(18):14334. https://doi.org/10.3390/ijms241814334
- Zhang Y, Gao X, Yang ZL, Huang YL, Wu GC (2000) Expression of 5-HT(1A) receptor mRNA in rat nucleus raphe magnus neurons after peripheral inflammation. Brain Res 887(2):465–468. https://doi.org/10.1016/s0006-8993(00)03037-7
- Blier P, Piñeyro G, el Mansari M, Bergeron R, de Montigny C (1998) Role of somatodendritic 5-HT autoreceptors in modulating 5-HT neurotransmission. Ann N Y Acad Sci 861:204–216. https://doi.org/10.1111/j.1749-6632.1998.tb10192.x
- Lemos JC, Pan YZ, Ma X, Lamy C, Akanwa AC, Beck SG (2006) Selective 5-HT receptor inhibition of glutamatergic and GABAergic synaptic activity in the rat dorsal and median raphe. Eur J Neurosci 24(12):3415–3430. https://doi.org/10.1111/j.1460-9568.2006.05222.x
- Bardin L (2011) The complex role of serotonin and 5-HT receptors in chronic pain. Behav Pharmacol 22(5–6):390–404. https://doi.org/10.1097/FBP.0b013e328349aae4
- Wei H, Pertovaara A (2006) 5-HT(1A) receptors in endogenous regulation of neuropathic hypersensitivity in the rat. Eur J Pharmacol 535(1–3):157–165. https://doi.org/10.1016/j.ejphar.2006.02.019
- Haleem DJ (2018) Serotonin-1A receptor dependent modulation of pain and reward for improving therapy of chronic pain. Pharmacol Res 134:212–219. https://doi.org/10.1016/j.phrs.2018.06.030
- Zemlan FP, Murphy AZ, Behbehani MM (1994) 5-HT1A receptors mediate the effect of the bulbospinal serotonin system on spinal dorsal horn nociceptive neurons. Pharmacology 48(1):1–10. https://doi.org/10.1159/000139156
- Zhang YQ, Gao X, Ji GC, Huang YL, Wu GC, Zhao ZQ (2002) Expression of 5-HT1A receptor mRNA in rat lumbar spinal dorsal horn neurons after peripheral inflammation. Pain 98(3):287–295. https://doi.org/10.1016/S0304-3959(02)00026-X
- Panteleev SS, Sivachenko IB, Lyubashina OA (2018) The central effects of buspirone on abdominal pain in rats. Neurogastroenterol Motil 30(11): e13431. https://doi.org/10.1111/nmo.13431
- Helke CJ, Capuano S, Tran N, Zhuo H (1997) Immunocytochemical studies of the 5-HT(1A) receptor in ventral medullary neurons that project to the intermediolateral cell column and contain serotonin or tyrosine hydroxylase immunoreactivity. J Comp Neurol 379(2):261–270.
- Liu Q, Wong-Riley MT (2010) Postnatal changes in the expressions of serotonin 1A, 1B, and 2A receptors in ten brain stem nuclei of the rat: implication for a sensitive period. Neuroscience 165(1):61–78. https://doi.org/10.1016/j.neuroscience.2009.09.078
- Morris GP, Beck PL, Herridge MS, Depew WT, Szewczuk MR, Wallace JL (1989) Hapten-induced model of chronic inflammation and ulceration in the rat colon. Gastroenterology 96(3):795–803.
- Lyubashina OA, Sivachenko IB, Mikhalkin AA (2022) Impaired visceral pain-related functions of the midbrain periaqueductal gray in rats with colitis. Brain Res Bull 182:12–25. https://doi.org/10.1016/j.brainresbull.2022.02.002
- Lyubashina OA, Sivachenko IB, Busygina II (2021) Amygdalofugal Modulation of Visceral Nociceptive Transmission in the Rat Caudal Ventrolateral Medulla under Normal Conditions and Intestinal Inflammation. J Evol Biochem Phys 57: 1150–1162. https://doi.org/10.1134/S0022093021050161
- Paxinos G, Watson C (1998) The Rat Brain in Stereotaxic Coordinates. 4th ed London Academic Press.
- Aimone LD, Jones SL, Gebhart GF (1987) Stimulation-produced descending inhibition from the periaqueductal gray and nucleus raphe magnus in the rat: mediation by spinal monoamines but not opioids. Pain 31(1):123–136. https://doi.org/10.1016/0304-3959(87)90012-1
- Paul D, Phillips AG (1986) Selective effects of pirenperone on analgesia produced by morphine or electrical stimulation at sites in the nucleus raphe magnus and periaqueductal gray. Psychopharmacology 88(2):172–176. https://doi.org/10.1007/BF00652235
- Sun JH, Ruan XJ, Wang LN, Liang S, Li XP (2015) Study on the Antinociceptive Effects of Herba Epimedium in Mice. Evid Based Complement Alternat Med 2015:483942. https://doi.org/10.1155/2015/483942
- Ness TJ, Follett KA, Piper J, Dirks BA (1998) Characterization of neurons in the area of the medullary lateral reticular nucleus responsive to noxious visceral and cutaneous stimuli. Brain Res 802(1–2):163–174. https://doi.org/10.1016/s0006-8993(98)00608-8
- Luz LL, Fernandes EC, Sivado M, Kokai E, Szucs P, Safronov BV (2015) Monosynaptic convergence of somatic and visceral C-fiber afferents on projection and local circuit neurons in lamina I: a substrate for referred pain. Pain 156(10):2042–2051. https://doi.org/10.1097/j.pain.0000000000000267
- Qin C, Farber JP, Linderoth B, Shahid A, Foreman RD (2008) Neuromodulation of thoracic intraspinal visceroreceptive transmission by electrical stimulation of spinal dorsal column and somatic afferents in rats. J Pain 9(1):71–78. https://doi.org/10.1016/j.jpain.2007.08.007
- Nguyen E, Grajales-Reyes JG, Gereau RW 4th, Ross SE (2023) Cell type-specific dissection of sensory pathways involved in descending modulation. Trends Neurosci 46(7):539–550. https://doi.org/10.1016/j.tins.2023.04.002
- Peng B, Jiao Y, Zhang Y, Li S, Chen S, Xu S, Gao P, Fan Y, Yu W (2023) Bulbospinal nociceptive ON and OFF cells related neural circuits and transmitters. Front Pharmacol 14:1159753. https://doi.org/10.3389/fphar.2023.1159753
- Zhang Y, Zhao S, Rodriguez E, Takatoh J, Han BX, Zhou X, Wang F (2015) Identifying local and descending inputs for primary sensory neurons. J Clin Invest 125(10):3782–3794. https://doi.org/10.1172/JCI81156
- Otsu Y, Aubrey KR (2022) Kappa opioids inhibit the GABA/glycine terminals of rostral ventromedial medulla projections in the superficial dorsal horn of the spinal cord. J Physiol 600(18):4187–4205. https://doi.org/10.1113/JP283021
- Lyubashina OA, Sivachenko IB (2017) The 5-HT4 receptor-mediated inhibition of visceral nociceptive neurons in the rat caudal ventrolateral medulla. Neuroscience 359:277–288. https://doi.org/10.1016/j.neuroscience.2017.07.039
- Pinto M, Sousa M, Lima D, Tavares I (2008) Participation of mu-opioid, GABA(B), and NK1 receptors of major pain control medullary areas in pathways targeting the rat spinal cord: implications for descending modulation of nociceptive transmission. J Comp Neurol 510(2):175–187. https://doi.org/10.1002/cne.21793
- Haleem DJ (2019) Targeting Serotonin1A Receptors for Treating Chronic Pain and Depression. Curr Neuropharmacol 17(12):1098‒1108. https://doi.org/10.2174/1570159X17666190811161807
- Bagdy E, Kiraly I, Harsing LG Jr (2000) Reciprocal innervation between serotonergic and GABAergic neurons in raphe nuclei of the rat. Neurochem Res 25(11):1465‒1473. https://doi.org/10.1023/a:1007672008297
- Inyushkin AN, Merkulova NA, Orlova AO, Inyushkina EM (2010) Local GABAergic modulation of the activity of serotoninergic neurons in the nucleus raphe magnus. NeurosciBehav Physiol 40(8):885‒893. https://doi.org/10.1007/s11055-010-9337-x
- Loane C, Politis M (2012) Buspirone: what is it all about? Brain Res 1461:111–118. https://doi.org/10.1016/j.brainres.2012.04.032
- de Oliveira R, de Oliveira RC, Falconi-Sobrinho LL, da Silva Soares R Jr, Coimbra NC (2017) 5-Hydroxytryptamine2A/2C receptors of nucleus raphe magnus and gigantocellularis/paragigantocellularis pars α reticular nuclei modulate the unconditioned fear-induced antinociception evoked by electrical stimulation of deep layers of the superior colliculus and dorsal periaqueductal grey matter. Behav Brain Res 316:294–304. https://doi.org/10.1016/j.bbr.2016.09.016
- Ferrari LF, Pei J, Zickella M, Rey C, Zickella J, Ramirez A, Taylor NE (2021) D2 Receptors in the Periaqueductal Gray/Dorsal RapheModulate Peripheral Inflammatory Hyperalgesia via the Rostral Ventral Medulla. Neuroscience 463:159–173. https://doi.org/10.1016/j.neuroscience.2021.03.035
- Li C, Sugam JA, Lowery-Gionta EG, McElligott ZA, McCall NM, Lopez AJ, McKlveen JM, Pleil KE, Kash TL (2016) Mu Opioid Receptor Modulation of Dopamine Neurons in the Periaqueductal Gray/Dorsal Raphe: A Role in Regulation of Pain. Neuropsychopharmacology 41(8):2122–2132. https://doi.org/10.1038/npp.2016.12
- Wang XQ, Mokhtari T, Zeng YX, Yue LP, Hu L (2021) The Distinct Functions of Dopaminergic Receptors on Pain Modulation: A Narrative Review. Neural Plast 2021:6682275. https://doi.org/10.1155/2021/6682275
- Costa-Pereira JT, Serrão P, Martins I, Tavares I (2020) Serotoninergic pain modulation from the rostral ventromedial medulla (RVM) in chemotherapy-induced neuropathy: The role of spinal 5-HT3 receptors. Eur J Neurosci 51(8):1756–1769. https://doi.org/10.1111/ejn.14614
- Wei F, Dubner R, Zou S, Ren K, Bai G, Wei D, Guo W (2010) Molecular depletion of descending serotonin unmasks its novel facilitatory role in the development of persistent pain. J Neurosci 30(25):8624–8636. https://doi.org/10.1523/JNEUROSCI.5389–09.2010
- Li MH, Suchland KL, Ingram SL (2015) GABAergic transmission and enhanced modulation by opioids and endocannabinoids in adult rat rostral ventromedial medulla. J Physiol 593(1):217–230. https://doi.org/10.1113/jphysiol.2014.275701
Supplementary files







