Фрагмент лептина модулирует стимулирующие эффекты хорионического гонадотропина на тестикулярный стероидогенез в модели диета-индуцированного ожирения у крыс
- Авторы: Бахтюков А.А.1, Лебедев И.А.1, Морина И.Ю.1, Кузнецова В.С.1, Шпаков А.О.1
-
Учреждения:
- Институт эволюционной физиологии и биохимии им. И.М. Сеченова РАН
- Выпуск: Том 60, № 3 (2024)
- Страницы: 223-233
- Раздел: ЭКСПЕРИМЕНТАЛЬНЫЕ СТАТЬИ
- URL: https://bakhtiniada.ru/0044-4529/article/view/270463
- DOI: https://doi.org/10.31857/S0044452924030016
- EDN: https://elibrary.ru/YXXLKU
- ID: 270463
Цитировать
Полный текст
Аннотация
Лептин, секретируемый жировой тканью, опосредованно стимулирует активность гонадолиберин- продуцирующих нейронов гипоталамуса, регулируя функциональную активность гипоталамо- гипофизарно-тестикулярной (ГГТ) оси. Как известно, ожирение сопровождается системной гиперлептинемией и нарушением транспорта лептина в ЦНС, что ограничивает использование полноразмерного лептина в качестве лекарственного препарата. Ранее показано, что интраназально вводимый фрагмент лептина MA-[D-Leu4]-OB3 (ФЛ) усиливает стероидогенный эффект хорионического гонадотропина человека (ХГЧ) у крыс, находящихся на стандартной диете. Еще более актуальной задачей является оценка его влияния на тестикулярный стероидогенез в условиях ожирения, снижающего репродуктивные функции у мужчин. Целью работы было изучить способность ФЛ (200 мкг/кг, интраназально, 3 дня) модулировать эффект ХГЧ (10МЕ/крысу, подкожно, однократно) на тестикулярный стероидогенез у крыс с ожирением, вызванным комбинированной высокожировой/высокоуглеводной диетой (ВЖВУД), а также оценить влияние антагониста рецептора гонадолиберина цетрореликса (АНТ, 75мкг/кг, подкожно, 3 дня) на эффекты ФЛ. Для исследований использовали самцов крыс Вистар, которые получали ВЖВУД в течение 20 недель. У крыс с ожирением снижался уровень рецептора лютеинизирующего гормона (ЛГ) в семенниках и компенсаторно усиливалась экспрессия гена Cyp11a1, кодирующего стероидогенный фермент – цитохром P450scc. Введение ФЛ усиливало эффект ХГЧ на уровень тестостерона в крови и экспрессию гена Star, кодирующего холестерин-транспортирующий белок StAR, что указывает на способность ФЛ положительно модулировать активность ГГТ оси при ожирении. Совместное введение АНТ и ФЛ, напротив, снижало стимулирующий эффект ХГЧ на уровень тестостерона и экспрессию гена Star, что может быть обусловлено периферическими эффектами ФЛ. Полученные нами данные указывают на способность ФЛ влиять на различные компоненты мужской гонадной оси в условиях диета-индуцированного ожирения.
Полный текст
ВВЕДЕНИЕ
Ожирение является одной из наиболее актуальных проблем современной медицины. Факторы, сопровождающие ожирение, такие как избыточная масса тела, гиперинсулинемия и гиперлептинемия, наряду со значительным повышением продукции провоспалительных факторов в крови и тканях негативно влияют на функции гипоталамо-гипофизарно-тестикулярной оси (ГГТ). Гонадолиберин (GnRH)-экспрессирующие нейроны гипоталамуса регулируют синтез и секрецию лютеинизирующего (ЛГ) и фолликулостимулирующего гормонов клетками передней доли гипофиза, которые, в свою очередь стимулируют процессы синтеза тестостерона и сперматогенеза в семенниках. Информация о метаболическом состоянии организма, которая аккумулируется и перерабатывается нейромедиаторными системами гипоталамуса, в значительной степени влияет на функциональную активность GnRH-нейронов и работу ГГТ оси [1, 2].
Лептин, пептидный гормон, секретируемый белой жировой тканью, в гипоталамусе стимулирует секрецию α-меланоцистимулирующего гормона (α-МСГ) и кисспептина (Kiss) соответственно проопиомеланокортин (POMC)- и Kiss-экспрессирующими нейронами, и подавляет экспрессию орексигенных факторов – нейропептида Y (NPY) и агути-подобного пептида (AgRP) NPY/AgRP-экспрессирующими нейронами, снижая тем самым потребление пищи и активируя катаболические процессы. Не менее важной функцией лептина является регуляция активности гипоталамических GnRH-экспрессирующих нейронов, опосредованная стимуляцией POMC- и Kiss-нейронов и ингибированием NPY/AgRP нейронов [3, 4]. Способность лептина регулировать и модулировать секрецию GnRH обеспечивается наличием функционально активных, полноразмерных лептиновых рецепторов ObRb и других компонентов лептиновой сигнальной системы в POMC-, Kiss- и NPY/AgRP-экспрессирующих нейронах, проекции которых направлены к GnRH-нейронам. Взаимодействие лептина с рецепторами ObRb приводит к запуску внутриклеточных каскадов, результатом чего является изменение экспрессии и секреции нейропептидов, воздействующих на GnRH-нейроны [4]. Недавно было установлено, что рецептор лептина ObRb и компоненты лептиновой системы присутствуют и в других звеньях ГГТ оси: гонадотропоцитах аденогипофиза и в тестикулярных клетках Лейдига. Однако, на уровне семенников, влияние лептина имеет разнонаправленный характер, в отличие от более однозначного стимулирующего эффекта на уровне гипоталамуса [5]. Ряд других подтипов рецептора лептина участвуют в транспорте гормона через гематоэнцефалический барьер (ГЭБ), который носит, как предполагают, рецептор-опосредованный характер [6]. Одним из событий, сопровождающих развитие ожирения и сахарного диабета 2-го типа является развитие системной лептиновой резистентности, которая возникает на фоне значительного повышения уровня лептина в крови. Следствием ее является снижение рецептор-опосредованного транспорта лептина через ГЭБ, в результате чего возникает дефицит лептина в структурах головного мозга, включая гипоталамус [6]. Предполагается, что развитие лептиновой резистентности не только вызывает нарушение баланса анорексигенных и орексигенных процессов на уровне гипоталамуса, но и может привести к функциональным изменениям активности центрального, гипоталамического, звена ГГТ оси.
В настоящее время активно исследуется способность фрагментов лептина активировать лептиновые сигнальные пути, заменяя полноразмерную молекулу этого гормона. Одним из наиболее перспективных аналогов является миристилированный N-концевой фрагмент лептина 116–122 MA-[D-Leu4]-OB3 (ФЛ), который продемонстрировал выраженный анорексигенный эффект в моделях диета-индуцированного ожирения (ДИО) у мышей. У животных с ожирением было показано снижение потребления пищи, массы тела, отмечалось частичное восстановление толерантности к глюкозе. В отличие от полноразмерной молекулы лептина, ФЛ характеризуется большей стабильностью в кровотоке и не вызывает развития лептиновой резистентности при длительном применении [7, 8]. Наиболее впечатляющие результаты были показаны при интраназальном способе введения ФЛ. Показано, что интраназально вводимый ФЛ накапливается в аркуатном ядре гипоталамуса, проникая в него, используя для этого наиболее проницаемые участки ГЭБ, что является преимуществом перед другими способами введения, особенно в условиях лептиновой резистентности при ожирении и диабете 2-го типа [9, 10].
Ранее на самцах крыс, которые находились на стандартной диете, нами была продемонстрирована способность ФЛ модулировать эффекты хорионического гонадотропина человека (ХГЧ) на уровень тестостерона в крови и на экспрессию гена Star, кодирующего холестерин-транспортирующий белок StAR, ключевой компонент системы тестикулярного стероидогенеза [11]. Было установлено, что влияние ФЛ на тестикулярный стероидогенез обусловлено в первую очередь его эффектами на гипоталамо-гипофизарном уровне, так как на фоне введения цетрореликса, антагониста рецептора GnRH (АНТ), его эффекты на тестикулярный стероидогенез исчезали [11].
В настоящем исследовании мы использовали аналогичную схему эксперимента для изучения влияния ФЛ на тестикулярный стероидогенез у крыс с ДИО. Ожирение вызывали длительной комбинированной высокожировой и высокоуглеводной диетой (ВЖВУД). Поскольку ожирение, с одной стороны, характеризуется гиперлептинемией и лептиновой резистентностью и, с другой стороны, может сопровождаться изменениями тестикулярного стероидогенеза, то изучение влияния ФЛ на компоненты ГГТ оси представляет значительный интерес для эндокринологии и репродуктивной медицины.
Целью работы является изучение способности ФЛ модулировать стимулирующие эффекты ХГЧ на уровень тестостерона в крови, на экспрессию генов, контролирующих тестикулярный стероидогенез и на уровень рецептора ЛГ в семенниках у крыс на фоне ВЖВУД, а также исследование мишеней ФЛ в ГГТ оси с помощью АНТ, блокирующего GnRH-опосредуемую стимуляцию секреции ЛГ аденогипофизом.
МЕТОДЫ ИССЛЕДОВАНИЯ
Для экспериментов использовали 75 половозрелых самцов крыс линии Wistar, которые содержались в стандартных условиях вивария со свободным доступом к воде (или раствору сахарозы) и корму. Животные содержались в пластиковых клетках по пять особей в каждой с нормальным циклом день/ночь (12 ч/12 ч, свет включается в 9.00 утра) и комнатной температуре (24 ± 2 °C). В возрасте двух месяцев животные были разделены на две группы. Первая (65 животных) получала в течение 20 недель ВЖВУД, включающую корм с долей жира (свиное сало) не менее 60 % и 30 %-ный раствор сахарозы вместо питьевой воды. Вторая группа (10 животных) находилась на нормальной диете, получая стандартный корм и обычную воду. По истечении 20 недель потребления ВЖВУД у крыс оценивали толерантность к глюкозе, для чего использовали интраперитонеальный глюкозотолерантный тест (ИГТТ), как описано ранее [12]. До и через 120 мин после в/б введения глюкозы (2 г/кг) оценивали уровни глюкозы, инсулина и лептина в крови. До начала и в течение диеты измеряли массу тела животных. Далее отбирали 48 самцов крыс с уровнем глюкозы через 120 мин после ГТТ выше 7.0 мМ и с массой тела на 7 % выше таковой в контроле, рассматриваемых в дальнейшем, как животные с ДИО, после чего формировали 8 групп (в каждой n = 6).
Самцы крыс из групп “ВЖВУД+АНТ”, “ВЖВУД+АНТ+ФЛ”, “ВЖВУД+АНТ+ХГЧ” и “ВЖВУД+АНТ+ФЛ+ХГЧ” в течение трех дней получали инъекции цетрореликса ацетата (“Xingtai Yuanao Technology Co.”, КНР), антагониста GnRH рецептора (АНТ), который растворяли в физиологическом растворе и вводили крысам п/к в суточной дозе 75 мкг/кг. Самцам крыс из групп “ВЖВУД+ФЛ”, “ВЖВУД+ФЛ+ХГЧ”, “ВЖВУД+ АНТ+ФЛ” и “ВЖВУД+АНТ+ФЛ+ХГЧ” в течение трех дней интраназально вводили фрагмент лептина миристоил-Ser-Cys-Ser-D-Leu-Pro-Gln-Thr-амид (ФЛ) в суточной дозе 200 мкг/крысу. Самцы крыс из остальных групп вместо АНТ и ФЛ в течении 3 дней получали физиологический раствор (ФР). Самцы крыс из групп “ВЖВУД+ХГЧ”, “ВЖВУД+ ФЛ+ХГЧ”, “ ВЖВУД+АНТ+ХГЧ” и “ВЖВУД+ АНТ+ФЛ+ХГЧ” на третий день эксперимента были обработаны с помощью ХГЧ (“Московский эндокринный завод”, Россия) в дозе 10 МЕ/крысу (п/к) через 90 мин после последней инъекции АНТ и/или ФЛ или ФР. Животные, находящиеся на стандартной диете, из которых сформировали группу “Контроль”, вместо препаратов получали ФР. Дозы и продолжительность введения препаратов ФЛ, АНТ и ХГЧ были подобраны в предварительных сериях экспериментов и были апробированы нами в ранее опубликованных работах [11, 12].
Уровень тестостерона в крови определяли: (1) до введения препаратов в 1-й день эксперимента, а также на третий день эксперимента – (2) через 90 мин после введения ФЛ и(или) АНТ, (3) через 180 мин после введения ФЛ и(или) АНТ и через 90 мин после введения ХГЧ, (4) через 270 мин после введения ФЛ и(или) АНТ и через 180 мин после введения ХГЧ.
Образцы ткани семенников забирали в последний день эксперимента, через 270 мин после введения ФЛ и/или АНТ или через 180 мин после введения ХГЧ. Декапитация животных осуществлялась под общей анестезией (хлоралгидрат, 400 мг/кг). Уровень тестостерона в крови определяли с помощью наборов “ИФА-Тестостерон” (“Алкор-Био”, Россия). Уровень лептина и инсулина в крови определяли с помощью наборов “ELISA Kit for Leptin” и “ELISA Kit for Insulin” (“Cloud-Clone Corp.”, США). Для анализа уровней мРНК генов тестикулярного стероидогенеза из семенников выделяли тотальную РНК с помощью реагента “ExtractRNA” (“Евроген”, Россия). Для получения кДНК проводили реакцию обратной транскрипции с помощью набора “MMLV RT Kit” (“Евроген”, Россия), для которой брали 1мкг тотальной РНК на реакцию. ПЦР в реальном времени проводили с помощью амплификатора “Applied Biosystems® 7500 Real-Time PCR System” (“Life Technologies, Thermo Fisher Scientific Inc.”, США) в смеси, содержащей кДНК, 0.4 мкМ прямого и обратного специфичных праймеров, реагент “qPCR-HS SYBR+Low ROX” (“Евроген”, Россия). Для контроля выхода продукта реакции и отсутствия образования димеров праймеров использовали анализ кривой плавления в соответствии с функцией “ABI Melt Curve program”. В работе использовали ранее описанные и апробированные последовательности комплементарных прямого и обратного праймеров для генов крысы – гена Star, кодирующего холестерин-транспортирующий белок StAR, Cyp11a1, кодирующего цитохром P450scc, а также для гена Actb, кодирующего белок Actin-B и используемого в качестве референсного (табл. 1) [12].
Таблица 1. Последовательности праймеров к генам крысы, использованных в исследовании
Название | Последовательность праймера | Т отжига, °C | NCBI Reference Sequence |
Star Forward | AAGGCTGGAAGAAGGAAAGC | 55 | NM_031558.3 |
Star Reverse | CACCTGGCACCACCTTACTT | ||
Cyp11a1 Forward | TATTCCGCTTTGCCTTTGAG | 55 | NM_017286.3 |
Cyp11a1 Reverse | CACGATCTCCTCCAACATCC | ||
Actb Forward | CTGGCACCACACCTTCTACA | 55 | NM_031144.3 |
Actb Reverse | AGGTCTCAAACATGATCTGGGT |
Для иммуногистохимических исследований семенники фиксировали погружением в 4 %-ный раствор параформальдегида в течение 48 ч (4 °C). Далее промывали в холодном 0.9 %-ном натрий-фосфатном буфере (PBS) и помещали в 30 % раствор сахарозы, растворенный на PBS (при +4 оС). После криопротекции ткани семенников замораживали на сухом льду с использованием среды Tissue-Tek (“Sacura Finetek Europe”, Нидерланды). Серии поперечных срезов (толщина 6 мкм) готовили с помощью криостата Leica CM-1520 (“Leica Biosystems”, Германия) и монтировали на стеклах SuperFrost/plus (“Menzel”, Германия). Срезы из разных экспериментальных групп помещали на одно и то же стекло и сушили при комнатной температуре в течение ночи. Иммуногистохимическую реакцию проводили согласно протоколу, который был подробно описан ранее [12]. Для реакций были использованы первичные поликлональные кроличьи антитела к рецептору ЛГ (“LSBio”, США) в разведении 1:1000, вторичные антикроличьи IgG-антитела козы (“VectorLabs”, Великобритания) в разведении 1:600, конъюгированные с биотином (VectorLabs., Великобритания) и раствор стрептовидин–пероксидазы (BioLegend, США), разведенной 1:1000. Срезы обрабатывали 0.05 %-ным диаминобензидином (“Sigma-Aldrich”, США) и 0.03 %-ной перекисью водорода в PBS. Реакцию останавливали промывкой дистиллированной водой, затем срезы помещали под покровное стекло с глицерином. Специфичность иммуногистохимической реакции проверяли с использованием отрицательного контроля (образцы без первичных или вторичных антител). Микрофотографии (по 10 для каждого животного) с разных уровней семенников получали с помощью микроскопа Carl Zeiss Imager A1, объектив ×20 (“Carl Zeiss”, Германия). Оптическую плотность иммунопозитивного к рецептору ЛГ материала оценивали с помощью программы Image J (NIH, США). Результаты представлены в арбитражных единицах.
Статистическую обработку полученных данных осуществляли с помощью пакета программ GraphPad Prism (версия 8.0.1). Уровни глюкозы, инсулина и лептина в крови оценивали с помощью дисперсионного анализа ANOVA. Уровни тестостерона в крови, значения AUC0–270 для концентрационных кривых для тестостерона, мРНК исследуемых генов, а также изменения оптической плотности при иммуноокрашивании рецептора ЛГ в семенниках анализировали с помощью критерия Краскела– Уоллиса (с попарным сравнением критерием Данна).
РЕЗУЛЬТАТЫ ИССЛЕДОВАНИЯ
Влияние ВЖВУД на метаболические показатели и тестикулярный стероидогенез у самцов крыс
Длительная ВЖВУД привела к значительному изменению метаболических показателей у самцов крыс. Масса абдоминального и эпидидимального жира, а также масса тела были повышены на 169, 80 и 16 % соответственно. При проведении глюкозотолерантного теста через 120 мин после глюкозной нагрузки уровни глюкозы, инсулина и лептина были повышены на 43, 25 и 60 % соответственно (табл. 2). Таким образом, самцы крыс, получавшие ВЖВУД, характеризовались выраженным ожирением (ДИО), нарушенной толерантностью к глюкозе, сниженной чувствительностью к инсулину и лептину.
Таблица 2. Изменение уровней глюкозы, инсулина и лептина в крови, а также массы тела и жировой ткани у самцов крыс, находящихся на стандартной диете или на ВЖВУД
Параметр | Контроль | ВЖВУД |
Уровень глюкозы в крови натощак, мМ | 5.17±0.57 | 5.71±0.61 |
Уровень глюкозы в крови через 120 мин после глюкозной нагрузки, мМ | 6.12±0.74 | 8.18±1.20* |
Уровень инсулина в крови натощак, нг/мл | 2.33±0.46 | 2.67±0.46 |
Уровень инсулина в крови через 120 мин после глюкозной нагрузки, нг/мл | 2.62±0.95 | 3.33±0.63* |
Уровень лептина в крови натощак, нг/мл | 2.63±0.93 | 3.87±1.50 |
Уровень лептина в крови через 120 мин после глюкозной нагрузки, нг/мл | 2.77±1.08 | 6.19±1.98* |
Масса тела, г | 362±43 | 420±41# |
Масса абдоминального жира, г | 3.6±1.1 | 9.7±2.4# |
Масса эпидидимального жира, г | 4.5±1.0 | 8.1±2.5# |
Данные представлены как M ± SD, n = 24. # – отличия между группами “Контроль” и ВЖВУД, * – отличия между временными точками 0 и 120 мин статистически значимы при p < 0.05.
После изучения влияния ВЖВУД на уровень тестостерона в крови и на уровень мРНК гена Star, кодирующего холестерин-транспортирующий белок StAR в семенниках, нами не было выявлено значимых различий между контрольными крысами и животными с ДИО (рис. 1, 2). При этом в семенниках ДИО-крыс на 40 % была повышена экспрессия гена Cyp11a1, кодирующего цитохром P450scc, один из ключевых ферментов синтеза тестостерона. Кроме того, данные иммуногистохимического анализа демонстрировали снижение на 74 % содержания рецепторов ЛГ в клетках Лейдига у ДИО-крыс (рис. 3). Тем самым, несмотря на то что ВЖВУД существенно не влияла на уровень тестостерона, в семенниках наблюдали снижение уровня рецептора ЛГ и повышение экспрессии гена Cyp11a1, которое, по-видимому, носит компенсаторных характер.
Рис. 1. Влияние трехдневного введения фрагмента лептина MA-[D-Leu4]-OB3 и/или цетрореликса и однократной инъекции ХГЧ на уровень тестостерона в крови самцов крыс в условиях потребления ими ВЖВУД.
Образцы крови для измерения уровня тестостерона были взяты из хвостовой вены в нулевой день эксперимента (0 min), а также на третий день обработки ФЛ и(или) АНТ через 90 мин после введения препаратов (90 min), через 180 мин после введения ФЛ и(или) АНТ и через 90 мин после введения ХГЧ (180 min), через 270 мин после введения ФЛ и(или) АНТ и через 180 мин после введения ХГЧ (270 min). (a) – Изменение уровня тестостерона в крови у ДИО-крыс, которым в течение трех дней интраназально вводили ФЛ в дозе 200 мкг/кг (H+LF и H+LF+hCG – группы “ ВЖВУД+ФЛ” и “ ВЖВУД+ФЛ+ХГЧ”) и однократно, подкожно вводили ХГЧ в дозе 15 МЕ/крысу (H+hCG и H+LF+hCG – группы “ВЖВУД+ХГЧ” и “ВЖВУД+ФЛ+ХГЧ”). (b) – Изменение уровня тестостерона в крови у ВЖВУД-крыс, которым в течение трех дней вводили АНТ в дозе 75 мкг/кг (подкожно) и/или ФЛ в дозе 200 мкг/кг (интраназально) (H+ANT – группа “ВЖВУД+АНТ”, H+ANT+LF – группа “ВЖВУД+АНТ+ФЛ”, H+ANT+hCG – группа “ВЖВУД+АНТ+ХГЧ”, H+ANT+LF+hCG – группа “ВЖВУД+АНТ+ФЛ+ХГЧ”) и однократно, подкожно вводили ХГЧ в дозе 15 МЕ/крысу (H+ANT+hCG и H+ANT+LF+hCG). (c) и (d) – Изменение значений AUC0–270, которые соответствуют площади под кривой зависимости концентрации тестостерона в крови от времени, показанных на диаграммах (a) и (b). (a) и (b): * – отличия от базового уровня тестостерона (0 min) при внутригрупповом сравнении статистически значимы при p < 0.05, C и D: * – отличия от группы “Контроль” (Control), # – отличия от группы “ВЖВУД” (HFHCD), ** – отличия от группы “ВЖВУД+АНТ” (H+ANT) статистически значимы при p < 0.05, M±SEM, n = 6.
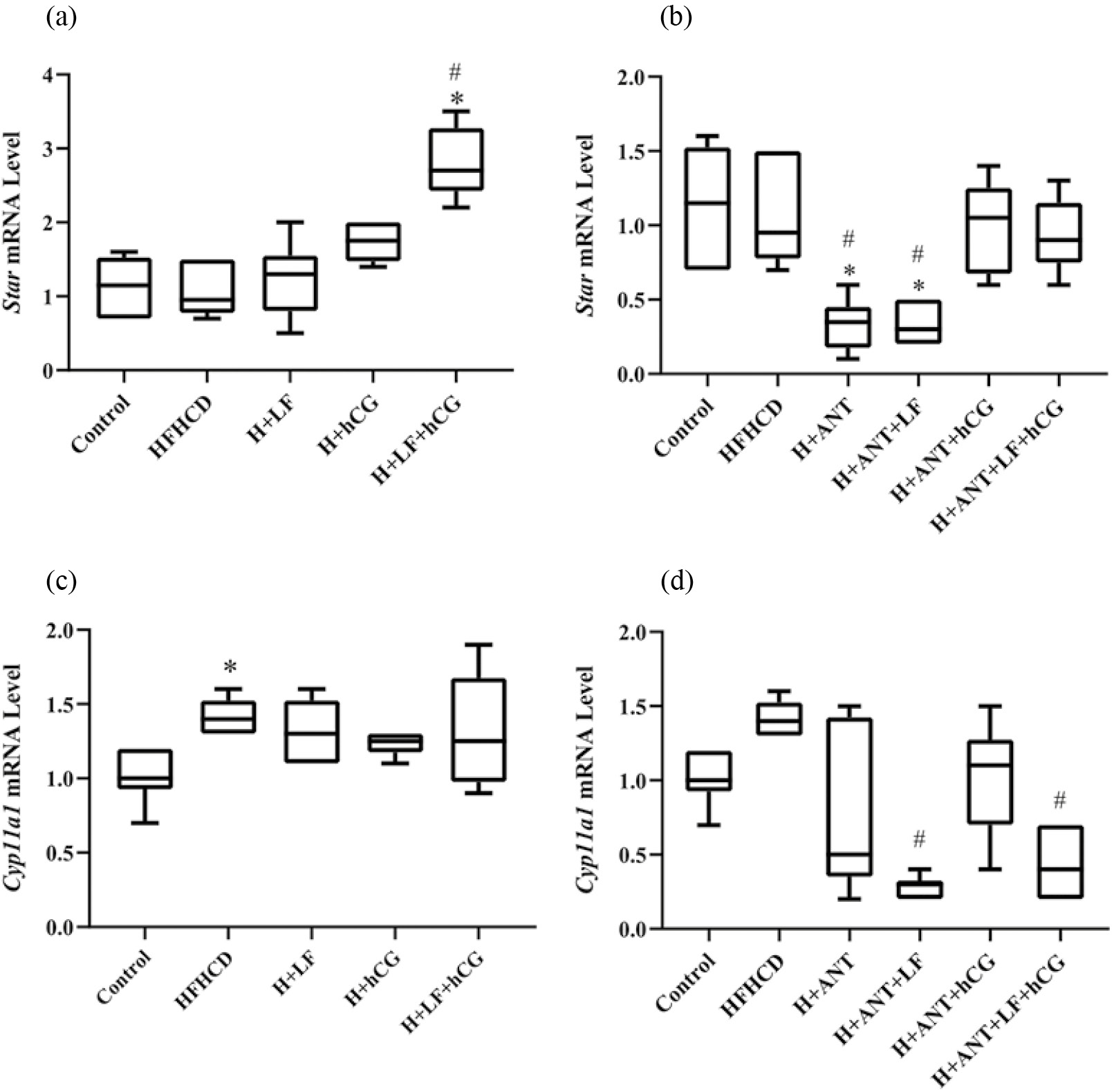
Рис. 2. Уровни мРНК генов Star и Cyp11a1 в семенниках крыс, получавших ВЖВУД, на фоне введения фрагмента лептина MA-[D-Leu4]-OB3 и/или цетрореликса, а также стимуляции стероидогенеза с помощью ХГЧ.
Образцы тканей семенников были взяты через 270 мин после введения ФЛ и/или АНТ и через 180 мин после введения ХГЧ. (a) – Уровни мРНК гена Star в семенниках ВЖВУД-крыс, которым в течение трех дней интраназально вводили ФЛ в дозе 200 мкг/кг (H+LF и H+LF+hCG – группы “ ВЖВУД+ФЛ” и “ВЖВУД+ФЛ+ХГЧ”) и однократно, подкожно вводили ХГЧ в дозе 15 МЕ/крысу (H+hCG и H+LF+hCG – группы “ВЖВУД+ХГЧ” и “ВЖВУД+ФЛ+ХГЧ”). (b) – Уровни мРНК гена Star в семенниках ВЖВУД-крыс, которым в течение трех дней вводили АНТ в дозе 75 мкг/кг (подкожно) и/или ФЛ в дозе 200 мкг/кг (интраназально) (H+ANT – группа “ВЖВУД+АНТ”, H+ANT+LF – группа “ВЖВУД+АНТ+ФЛ”, H+ANT+hCG – группа “ВЖВУД+АНТ+ХГЧ”, H+ANT+LF+hCG – группа “ВЖВУД+АНТ+ФЛ+ХГЧ”) и однократно, подкожно вводили ХГЧ в дозе 15 МЕ/крысу (H+ANT+hCG и H+ANT+LF+hCG). (c) и (d) – Уровни мРНК гена Cyp11a1 в семенниках ДИО- крыс на фоне введения ФЛ, АНТ, ХГЧ или их комбинаций. Препараты вводили как описано выше. Данные представлены как медиана, максимальное и минимальное значение, n = 6 в каждой группе. * – отличия от группы “Контроль” (Control), # – отличия от группы “ВЖВУД” (HFHCD) статистически значимы при p < 0.05.
Рис. 3. Содержание белка рецептора ЛГ (a, b) и иммуногистохимическая реакция к рецептору ЛГ (c) в семенниках крыс, получавших ВЖВУД, на фоне трехдневного введения фрагмента лептина MA-[D-Leu4]-OB3 и/или цетрореликса, а также однократной инъекции ХГЧ.
Образцы тканей семенников были взяты через 270 мин после введения ФЛ и/или АНТ и через 180 мин после введения ХГЧ. (а) – Содержание рецептора ЛГ в семенниках ДИО-крыс, которым в течение трех дней интраназально вводили ФЛ в дозе 200 мкг/кг (H+LF и H+LF+hCG – группы “ ВЖВУД+ФЛ” и “ВЖВУД+ФЛ+ХГЧ”) и однократно, подкожно вводили ХГЧ в дозе 15 МЕ/крысу (H+hCG и H+LF+hCG – группы “ВЖВУД+ХГЧ” и “ ВЖВУД+ФЛ+ХГЧ”). (b) – Содержание рецептора ЛГ в семенниках ДИО-крыс, которым в течение трех дней вводили АНТ в дозе 75 мкг/кг (подкожно) и/или ФЛ в дозе 200 мкг/кг (интраназально) (H+ANT – группа “ВЖВУД+АНТ”, H+ANT+LF – группа “ ВЖВУД+АНТ+ФЛ”, H+ANT+hCG – группа “ВЖВУД+АНТ+ХГЧ”, H+ANT+LF+hCG – группа “ВЖВУД+АНТ+ФЛ+ХГЧ”) и однократно, подкожно вводили ХГЧ в дозе 15 МЕ/крысу (H+ANT+hCG и H+ANT+LF+hCG). (c) – Иммуногистохимическая реакция к рецептору ЛГ в семенниках ДИО-крыс. Масштаб на всех изображениях: 50 мкм. Данные представлены как медиана, максимальное и минимальное значение, n = 6 в каждой группе. * – отличия от группы “Контроль” (Control), # – отличия от группы “ВЖВУД” (HFHCD), ## – отличия от группы “ВЖВУД+АНТ+ХГЧ” (H+ANT+hCG) статистически значимы при p < 0.05.
Влияние ФЛ на эффекты ХГЧ на уровень тестостерона в крови, экспрессию генов тестикулярного стероидогенеза и содержание рецептора ЛГ в семенниках ДИО-крыс
Трехдневная интраназальная обработка самцов ДИО-крыс с помощью ФЛ приводила к усилению эффекта ХГЧ на уровень тестостерона в крови. В группе “ВЖВУД+ФЛ+ХГЧ” уровень тестостерона был повышен на 178 % уже через 90 мин после введения ХГЧ, а через 180 мин прирост составил 400 %. В группе “ВЖВУД+ХГЧ” уровень тестостерона повышался на 231 % лишь через 180 мин после однократной инъекции ХГЧ (рис. 1a). Значение AUC0–270 под концентрационными кривыми для тестостерона в группе “ВЖВУД+ФЛ+ХГЧ” было значимо выше по сравнению с группами “Контроль” и “ВЖВУД” (рис. 1c). Уровень мРНК гена Star в семенниках был на 184 % повышен у крыс, получавших инъекцию ХГЧ на фоне предобработки ФЛ. Трехдневное введение ФЛ вызвало повышение количества белка рецептора ЛГ в семенниках крыс в группах “ ВЖВУД+ФЛ” и “ВЖВУД+ФЛ+ХГЧ” на 128 и 103 %, соответственно, что указывает на полное восстановление содержания этого рецептора, существенно сниженного на фоне ВЖВУД. Сравнивая группы, получавшие однократную инъекцию ХГЧ, необходимо отметить, что предобработка с помощью ФЛ повышала на 115 % содержание рецептора ЛГ в группе “ВЖВУД+ФЛ+ХГЧ” и по сравнению с группой “ВЖВУД+ХГЧ”.
Влияние трехдневного введения антагониста рецептора гонадолиберина на эффекты фрагмента лептина и ХГЧ на уровень тестостерона в крови, экспрессию стероидогенных генов и уровень рецептора ЛГ в семенниках крыс с ДИО
Трехдневное введение АНТ привело к снижению уровня тестостерона в крови в группах “ ВЖВУД+АНТ” и “ВЖВУД+АНТ+ФЛ” на 85 и 90 % спустя 180 мин после третьего введения АНТ. Введение ХГЧ повышало уровень тестостерона на 593 %, а на фоне введения ФЛ эффект ХГЧ усиливался до 714 %. Однако при оценке интегрального показателя AUC0–270 картина менялась. Так введение АНТ снижало значение AUC0–270 в группах “ ВЖВУД+АНТ” и “ ВЖВУД+АНТ+ФЛ” на 244 и 229 % соответственно. В группах, получавших ХГЧ, было показано еще более выраженное влияние однократной инъекции ХГЧ на уровень тестостерона на фоне АНТ, которое привело к повышению AUC0–270 на 211 % по сравнению с группой “ВЖВУД+АНТ” (рис. 1d). Таким образом, введение ФЛ параллельно с АНТ привело к уменьшению прироста значения AUC0–270 в группе “ВЖВУД+АНТ+ФЛ+ХГЧ” по сравнению с группой “ВЖВУД+АНТ+ХГЧ”.
Введение АНТ привело к снижению уровня мРНК гена Star на 171 и 217 % в группах “ ВЖВУД+АНТ” и “ВЖВУД+АНТ+ФЛ”, соответственно. При этом стимуляция с помощью ХГЧ в равной степени восстанавливала генную экспрессию в группах “ ВЖВУД+АНТ+ХГЧ” и “ ВЖВУД+АНТ+ФЛ+ХГЧ”. Трехдневное введение ФЛ ДИО-крысам снижало экспрессию гена Cyp11a1 на фоне введения АНТ в группах “ ВЖВУД+АНТ+ФЛ” и “ВЖВУД+АНТ+ФЛ+ХГЧ” на 367 и 250 %, соответственно. При этом в группах “ ВЖВУД+АНТ” и “ВЖВУД+АНТ+ХГЧ” такого снижения показано не было. Введение АНТ восстанавливало содержание белка рецептора ЛГ, сниженное при потреблении ВЖВУД, но в группе “ ВЖВУД+АНТ+ФЛ+ХГЧ” прирост содержания белка рецептора ЛГ был на 24 % выше, чем в группе “ВЖВУД+АНТ+ХГЧ”.
ОБСУЖДЕНИЕ РЕЗУЛЬТАТОВ
Для изучения влияния ожирения на метаболические и гормональные дисфункции, как правило, используют модели ДИО, для которых характерны повышение массы тела, увеличение доли жировой ткани, дислипидемия, нарушенная толерантность к глюкозе, сниженная чувствительность к инсулину и лептину [13]. В нашем исследовании ДИО было индуцировано с помощью комбинированной ВЖВУД, которую животные получали в течение 20 недель, начиная с двухмесячного возраста. У крыс, получавших эту диету, имелись выраженные нарушения глюкозного и липидного метаболизма, которые сопровождались повышением доли жировой ткани, инсулиновой и лептиновой резистентностью (табл. 2).
Ожирение, в том числе ассоциированное с сахарным диабетом 2-го типа и метаболическим синдромом, может приводить к ослаблению функциональной активности ГГТ оси у человека, что выражается в снижении уровня тестостерона в крови и нарушении стероидогенеза и сперматогенеза в семенниках [14, 15]. Несмотря на это, грызуны с ДИО, индуцированным с помощью высокожировой диеты и ВЖВУД, не всегда демонстрируют значимые нарушения тестикулярного стероидогенеза, что, по-видимому, связано с видоспецифичными адаптационными возможностями у грызунов разных линий и запуском компенсаторных процессов, позволяющих, по крайней мере, частично восстановить стероидогенный статус [16]. В настоящем исследовании нами не было выявлено существенных изменений уровня тестостерона в крови и экспрессии гена Star, ответственного за первую, скорость-лимитирующую стадию тестикулярного стероидогенеза, у крыс, находящихся на ВЖВУД. В то же время у них было выявлено снижение содержания рецептора ЛГ в семенниках (рис. 3), что может указывать на начальные стадии резистентности семенников к действию эндогенного ЛГ. Ранее сходные результаты были показаны нами у крыс с экспериментальным сахарным диабетом 2-го типа, которые длительное время получали высокожировую диету и однократно обрабатывались стрептозотоцином в дозе 25 мг/кг [12]. В настоящем исследовании в группе “ВЖВУД” нами обнаружено компенсаторное повышение уровня мРНК гена Cyp11a1, кодирующего цитохром P450scc (рис. 2в). Митохондриальный фермент цитохром P450scc катализирует превращение холестерина в прегненолон, что является первой стадией синтеза тестостерона, и это делает этот фермент важнейшим функциональным компонентом системы тестикулярного стероидогенеза [17].
Ранее было установлено, что фрагмент лептина MA-[D-Leu4]-OB3, обладающий основными фармакологическими свойствами полноразмерного лептина, способен снижать уровень глюкозы в крови и нормализовать потребление пищи [8, 10]. Кроме того, ранее нами было показано, что даже однократное введение ФЛ повышало уровень тестостерона в крови у крыс, находящихся на нормальной диете, а трехдневное введение было способно модулировать стероидогенный эффект ХГЧ [11]. В данной работе мы также исследовали способность ФЛ модулировать эффекты ХГЧ на уровень тестостерона в крови крыс с ожирением, вызванном длительной ВЖВУД. В группе “ВЖВУД+ФЛ+ХГЧ” нами был показан более выраженный эффект ХГЧ как по временной динамике, так и по уровню тестостерона в крови. Уже через 90 мин после введения ХГЧ (10 МЕ/крысу) уровень тестостерона повышался, в то время как ДИО-крысы, не получавшие ФЛ, демонстрировали значимое повышение уровня тестостерона только через 180 мин. Кроме того, значение AUC0–270, представляющее собой интегральную площадь под концентрационными кривыми для тестостерона, в группе “ВЖВУД+ФЛ+ХГЧ” было выше, чем в группе “ВЖВУД+ХГЧ” (рис. 1). Исследование уровня мРНК гена, кодирующего транспортный белок StAR, показало его увеличение в ответ на стимуляцию ХГЧ на фоне обработки ФЛ. Белок StAR осуществляет транспорт холестерина из цитоплазмы в митохондрии, к месту начала синтеза тестостерона [17]. Таким образом, этот этап становится скорость-лимитирующим в тестикулярном стероидогенезе и повышение экспрессии гена Star свидетельствует о стимуляции синтеза тестостерона. Ранее нами не было показано модулирующего эффекта ФЛ на уровень мРНК гена Star у крыс, получавших стандартную диету [11], что может указывать на более выраженное действие ФЛ на тестикулярный стероидогенез у крыс с ДИО. Одним из возможных объяснений более выраженного эффекта ФЛ у самцов крыс, получавших ВЖВУД, может быть развитие у них лептиновой резистентности и центральной лептиновой недостаточности в условиях ожирения [6, 18, 19]. Интраназальное введение ФЛ позволяет доставить препарат непосредственно к гипоталамическим структурам, где в условиях недостатка лептина эффект ФЛ может быть более выраженным [9, 10].
Способность клеток Лейдига семенников сохранять стероидогенную активность связана, в первую очередь, с нормальным функционированием рецепторного аппарата, являющегося мишенью гипофизарного ЛГ. Показанное нами снижение уровня рецептора ЛГ в семенниках ДИО-крыс было полностью компенсировано введением ФЛ в группах “ВЖВУД+ФЛ” и “ВЖВУД+ФЛ+ХГЧ”, что, как мы полагаем, объясняет модулирующий эффект ФЛ на тестикулярный стероидогенез при обработке крыс гонадотропином. Таким образом, нами показано, что ФЛ способен модулировать эффект ХГЧ на уровень тестостерона и экспрессию гена Star в семенниках у крыс с ВЖВУД-индуцированным ожирением, что, по всей видимости, объясняется способностью ФЛ восстанавливать чувствительность клеток Лейдига к гонадотропинам с ЛГ-активностью.
Секретируемый жировой тканью адипокин лептин, как и его фрагмент, используемый в настоящей работе, действуют в первую очередь на POMC- и NPY/AgRP-экспрессирующие нейроны аркуатного ядра гипоталамуса [3, 4]. Помимо ярко выраженного анорексигенного эффекта лептин также опосредованно влияет на GnRH-экспрессирующие нейроны гипоталамуса, стимулируя продукцию кисспептина и меланокортиновых пептидов, активаторов секреции GnRH, и подавляя продукцию NPY и AgRP, ингибирующих секрецию GnRH. Ранее нами было обнаружено, что основной мишенью ФЛ является гипоталамическое звено ГГТ оси [11]. Введение антагониста рецептора GnRH цетрореликса совместно с ФЛ полностью подавляло его модулирующий эффект при стимуляции ХГЧ на уровень тестостерона в крови самцов крыс, получавших стандартную диету. В настоящем исследовании, нами также было показана способность цетрореликса подавлять модулирующий эффект ФЛ как на уровень тестостерона в крови, так и на экспрессию гена Star в семенниках ДИО-крыс. Таким образом, введение антагониста GnRH нивелирует модулирующий эффект ФЛ на тестикулярный стероидогенез у крыс, находящихся на ВЖВУД, что подтверждает полученные нами ранее результаты на животных без ожирения.
Нами показано, что ФЛ на фоне введения АНТ подавляет стимулирующий эффект ХГЧ как на уровень тестостерона в крови, так и на экспрессию гена Cyp11a1 в семенниках крыс, получавших ВЖВУД. Подобный парадоксальный эффект может объясняться периферическими эффектами ФЛ, обусловленными его связыванием с рецепторами лептина, локализованными на поверхности клеток Лейдига. По данным литературы, воздействие лептина на семенники может приводить к разнонаправленным эффектам на тестикулярный стероидогенез и сперматогенез [5], что хорошо соотносятся с нашими результатами.
Таким образом, впервые показано, что миристилированный фрагмент лептина 116–122 MA- [D-Leu4]- OB3 при трехдневном интраназальном введении крысам с ожирением, вызванным ВЖВУД, способен усиливать эффекты ХГЧ на уровень тестостерона в крови, а также на уровень мРНК гена Star в семенниках, и его стимулирующие эффекты обусловлены в основном воздействием на гипоталамические звенья ГГТ оси. Установлено, что в присутствии цетрореликса, антагониста рецептора GnRH, подавляющего активность гонадной оси, выявляются разнонаправленные периферические эффекты ФЛ, которые выражаются, с одной стороны, в подавлении стимулирующего эффекта ХГЧ на уровень тестостерона и экспрессию гена Star и, с другой, в восстановлении уровня рецептора ЛГ в семенниках крыс, сниженном на фоне ВЖВУД. Полученные нами данные указывают на способность ФЛ влиять на различные компоненты мужской гонадной оси в условиях ДИО, а также способствуют более глубокому пониманию роли лептина и его внутриклеточных сигнальных путей во взаимосвязи между метаболическими и гормональными нарушениями при ожирении и сахарном диабете и дисфункциями мужской репродуктивной системы.
СОБЛЮДЕНИЕ ЭТИЧЕСКИХ СТАНДАРТОВ
Все процедуры осуществляли в строгом соответствии с требованиями Комитета по биоэтике ИЭФБ РАН (протокол № 1 от 27.01.2022), “Guide for the Care and Use of Laboratory Animals” и European Communities Council Directive 1986 (86/609/EEC).
ИСТОЧНИКИ ФИНАНСИРОВАНИЯ
Работа выполнена при поддержке Российского научного фонда (проект № 22-75-00130).
КОНФЛИКТ ИНТЕРЕСОВ
Авторы исследования декларируют отсутствие конфликта интересов.
ВКЛАД АВТОРОВ
Идея работы и планирование эксперимента (А.А.Б.), сбор данных (А.А.Б., И.А.Л. и В.С.К., И.Ю.М.), обработка данных (А.А.Б., И.А.Л., В.С.К., И.Ю.М.), написание и редактирование манускрипта (А.А.Б. и А.О.Ш.).
Об авторах
А. А. Бахтюков
Институт эволюционной физиологии и биохимии им. И.М. Сеченова РАН
Автор, ответственный за переписку.
Email: bahtyukov@gmail.com
Россия, Санкт-Петербург
И. А. Лебедев
Институт эволюционной физиологии и биохимии им. И.М. Сеченова РАН
Email: bahtyukov@gmail.com
Россия, Санкт-Петербург
И. Ю. Морина
Институт эволюционной физиологии и биохимии им. И.М. Сеченова РАН
Email: bahtyukov@gmail.com
Россия, Санкт-Петербург
В. С. Кузнецова
Институт эволюционной физиологии и биохимии им. И.М. Сеченова РАН
Email: bahtyukov@gmail.com
Россия, Санкт-Петербург
А. О. Шпаков
Институт эволюционной физиологии и биохимии им. И.М. Сеченова РАН
Email: bahtyukov@gmail.com
Россия, Санкт-Петербург
Список литературы
- Khodamoradi K, Parmar M, Khosravizadeh Z, Kuchakulla M, Manoharan M, Arora H (2020) The role of leptin and obesity on male infertility. Curr Opin Urol 30(3):334–339. https://doi: 10.1097/MOU.0000000000000762
- Lainez NM, Coss D (2019) Obesity, Neuroinflammation, and reproductive function. Endocrinology 160(11):2719–2736. https://doi: 10.1210/en.2019-00487
- Childs GV, Odle AK, MacNicol MC, MacNicol AM (2021) The importance of leptin to reproduction. Endocrinology 162(2): bqaa204. https://doi: 10.1210/endocr/bqaa204
- Obradovic M, Sudar-Milovanovic E, Soskic S, Essack M, Arya S, Stewart AJ, Gojobori T, Isenovic ER (2021) Leptin and obesity: role and clinical implication. Front Endocrinol (Lausanne) 12:585887. https://doi: 10.3389/fendo.2021.585887
- Nieuwenhuis D, Pujol-Gualdo N, Arnoldussen IAC, Kiliaan AJ (2020) Adipokines: a gear shift in puberty. Obes Rev 21(6): e13005. 10.1111/obr.13005' target='_blank'>https://doi: 10.1111/obr.13005
- Izquierdo AG, Crujeiras AB, Casanueva FF, Carreira MC (2019) Leptin, obesity, and leptin resistance: where are we 25 years later? Nutrients 11(11):2704. https://doi: 10.3390/nu11112704
- Novakovic ZM, Leinung MC, Grasso P (2013) [D-Leu-4]-OB3, an orally bioavailable leptin-related synthetic peptide insulin sensitizer: a study comparing the efficacies of [D-Leu-4]-OB3 and metformin on energy balance and glycemic regulation in insulin-deficient male Swiss Webster mice. Peptides 43:167–173. https://doi: 10.1016/j.peptides.2013.02.023
- Wang A, Anderson BM, Novakovic ZM, Grasso P (2018) [D-Leu-4]-OB3 and MA-[D-Leu-4]-OB3, small molecule synthetic peptide leptin mimetics, improve glycemic control in diet-induced obese (DIO) mice. Peptides 101:51–59. https://doi: 10.1016/j.peptides.2017.12.012
- Novakovic ZM, Leinung MC, Lee DW, Grasso P (2009) Intranasal administration of mouse [D-Leu-4]OB3, a synthetic peptide amide with leptin-like activity, enhances total uptake and bioavailability in Swiss Webster mice when compared to intraperitoneal, subcutaneous, and intramuscular delivery systems. Regul Pept 154(1–3):107–111. https://doi: 10.1016/j.regpep.2009.01.002
- Anderson BM, Jacobson L, Novakovic ZM, Grasso P (2017) Oral delivery of [D-Leu-4]-OB3 and MA-[D-Leu-4]-OB3, synthetic peptide leptin mimetics: Immunofluorescent localization in the mouse hypothalamus. Brain Res 1664:1–8. https://doi: 10.1016/j.brainres.2017.03.020
- Bakhtyukov AA, Lebedev IA, Kuznetsova VS, Derkach KV, Shpakov AO (2023) Leptin fragment 116–122 modulates testicular steroidogenesis in male rats. J Evol Biochem Physiol 59(3): 904–913. https://doi.org/10.1134/S0022093023030225
- Bakhtyukov AA, Derkach KV, Sorokoumov VN, Stepochkina AM, Romanova IV, Morina IYu, Zakharova IO, Bayunova LV, Shpakov AO (2021) The effects of separate and combined treatment of male rats with type 2 diabetes with metformin and orthosteric and allosteric agonists of luteinizing hormone receptor on steroidogenesis and spermatogenesis. Int J Mol Sci 23(1):198. 10.3390/ijms23010198' target='_blank'>https://doi: 10.3390/ijms23010198
- Rodríguez-Correa E, González-Pérez I, Clavel-Pérez PI, Contreras-Vargas Y, Carvajal K (2020) Biochemical and nutritional overview of diet-induced metabolic syndrome models in rats: what is the best choice? Nutr Diabetes 10(1):24. https://doi: 10.1038/s41387-020-0127-4
- Donner DG, Elliott GE, Beck BR, Bulmer AC, Lam AK, Headrick JP, Du Toit EF (2016) Trenbolone improves cardiometabolic risk factors and myocardial tolerance to ischemia-reperfusion in male rats with testosterone-deficient metabolic syndrome. Endocrinology 157(1):368–381. https://doi: 10.1210/en.2015-1603
- Nasr M, Abd-Allah H, Ahmed-Farid OAH, Bakeer RM, Hassan NS, Ahmed RF (2022) A comparative study between curcumin and curcumin nanoemulsion on high-fat, high-fructose diet-induced impaired spermatogenesis in rats. J Pharm Pharmacol 74(2):268–281. https://doi: 10.1093/jpp/rgab172
- Fernandez CD, Bellentani FF, Fernandes GS, Perobelli JE, Favareto AP, Nascimento AF, Cicogna AC, Kempinas WD (2011) Diet-induced obesity in rats leads to a decrease in sperm motility. Reprod Biol Endocrinol 9:32. https://doi: 10.1186/1477-7827-9-32
- Zirkin BR, Papadopoulos V (2018) Leydig cells: formation, function, and regulation. Biol Reprod 99(1):101–111. https://doi: 10.1093/biolre/ioy059
- Romanova IV, Derkach KV, Mikhrina AL, Sukhov IB, Mikhailova EV, Shpakov AO (2018) The leptin, dopamine and serotonin receptors in hypothalamic POMC-neurons of normal and obese rodents. Neurochem Res. 43(4):821–837. 10.1007/s11064-018-2485-z' target='_blank'>https://doi: 10.1007/s11064-018-2485-z
- Derkach K, Zakharova I, Zorina I, Bakhtyukov A, Romanova I, Bayunova L, Shpakov A (2019) The evidence of metabolic-improving effect of metformin in Ay/a mice with genetically-induced melanocortin obesity and the contribution of hypothalamic mechanisms to this effect. PloS one 14(3): e0213779. https://doi.org/10.1371/journal.pone.0213779
Дополнительные файлы






