Моделирование циклических процессов сорбции–десорбции в системах адсорбционного аккумулирования природного газа на основе нанопористого углеродного адсорбента из торфа
- Authors: Шелякин И.Д.1, Меньщиков И.Е.1, Школин A.В.1, Чугаев С.С.1, Гринченко A.Е.1, Шапагин A.В.1, Хозина Е.В.1, Фомкин А.А.1
-
Affiliations:
- ФГБУН Институт физической химии и электрохимии им. А.Н. Фрумкина РАН
- Issue: Vol 61, No 1 (2025)
- Pages: 18-41
- Section: ФИЗИКО-ХИМИЧЕСКИЕ ПРОЦЕССЫ НА МЕЖФАЗНЫХ ГРАНИЦАХ
- URL: https://bakhtiniada.ru/0044-1856/article/view/294753
- DOI: https://doi.org/10.31857/S0044185625010033
- EDN: https://elibrary.ru/LEAASF
- ID: 294753
Cite item
Abstract
Внедрение метода хранения природного газа в адсорбированном состоянии (АПГ) для практического использования в топливных системах транспортных средств зависит от доступности адсорбента с нужными свойствами и выработки оптимальных режимов заправки / выдачи топлива, которые обеспечат максимальную эффективность и наибольший запас хода автомобиля на одной заправке топливом. В данной работе представлены результаты моделирования цикла заправки / выдачи газа для полноразмерных АПГ баллонов (адсорберов) объемом 65 и 150 л, заполненных углеродным адсорбентом, в условиях активного терморегулирования и без для различных скоростей заправки в диапазоне от 5 до 5000 л/мин. Расчеты проводились с помощью модели с сосредоточенными параметрами, с использованием результатов измерений адсорбции метана в промышленном углеродном адсорбенте из торфяного сырья PAC-3 в интервале температур от 213 до 393 К, а также адсорбционно-стимулированной деформации адсорбента и оценке сопутствующих тепловых эффектов. Как следует из данных рентгеновской дифракции и сканирующей электронной микроскопии, PAC-3 обладает неоднородными фазовым и химическим составами, что обусловлено структурными особенностями прекурсора (торфа) и условиями активации. Согласно данным низкотемпературной адсорбции азота, пористая структура адсорбента является преимущественно микропористой с небольшой долей мезопор. Дилатометрические измерения показали, что в процессе адсорбции метана линейные размеры гранул PAC-3 изменяются на 0.62%, а их объем – на 1.85%, что должно быть учтено при проектировании системы АПГ во избежание ее разрушения, а также для точных расчетов температурных флуктуаций, возникающих в процессе заправки / выдачи газа. В результате проведенного моделирования было показано, что при активном терморегулировании системы АПГ не происходит сильного нагрева адсорбента, а существенно увеличиваются как количество выдаваемого топлива, так и максимальный запас хода автомобиля на одной заправке. Терморегулирование АПГ системы наиболее эффективно при малых скоростях заправки (от 5 до 80 л/мин), высоких давлениях и больших объемах адсорбера.
Full Text
1. Введение
Концепция экологически безопасного транспорта с низкими или нулевыми выбросами выхлопных газов является важнейшей составляющей программы ООН “Преобразование нашего мира: Повестка дня в области устойчивого развития на период до 2030 года”, принятой всеми членами организации в 2015 г., включая Российскую Федерацию [1]. Согласно данным мировой статистики, озвученным во Вступительном слове на Глобальном транспортном форуме, прошедшем в 2023 г. [2], прямые выбросы парниковых газов в атмосферу за счет сжигания топлива во всех видах транспортных средств составляют 24%. Наибольшее количество парниковых газов производится автомобилями [3, 4], и прежде всего автобусами и грузовиками, которые помимо парниковых газов выбрасывают в атмосферу значительный объем NOx и твердых частиц (сажи) [4, 5]. Исходя из приведенных фактов, можно утверждать, что удержать глобальное потепление на уровне 2 градусов в ближайшие десятилетия невозможно без перехода транспорта от нефтепродуктов на экологичные виды топлива, такие как, например, водород и электричество. Хотя автомобили с силовой установкой на водородных топливных элементах отличаются дальностью пробега и коротким временем заправки, их использование весьма ограничено. Причинами медленного продвижения этого вида топливных систем в автомобильном транспорте являются высокая стоимость и сложность процесса производства водорода, который, в свою очередь, сопряжен с экологическими рисками, отсутствием доступной инфраструктуры заправочных станций, сложностью средств хранения и транспортировки и, наконец, медленного прогресса в разработке топливных элементов [10]. Стратегия перехода к возобновляемым источникам энергии опирается, в частности, на сходство ряда физических свойств водорода и метана, и включает (1) адаптацию инфраструктуры станций заправки природным газом для автомобилей на водородном топливе и (2) использование смесей метан/водород [6-9]. Отметим, что на данном этапе энергетического перехода природный газ (ПГ) рассматривается как промежуточный вид топлива, в том числе и для автомобильного транспорта [6, 7]. Помимо “миссии” промежуточного источника энергии, ПГ обладает рядом преимуществ, а именно: доступность, низкая цена, удобство в использовании по сравнению с дизельным топливом и бензином. Двигатели, работающие на ПГ, характеризуются пониженным выбросом NOx и твердых частиц (сажи) [11]. Тем не менее, нельзя не учитывать низкую энергетическую плотность ПГ по сравнению с бензином [12], которая является препятствием для его повсеместного использования в качестве топлива для автомобилей. Решение этой проблемы требует усовершенствования существующих и развития новых технологий хранения ПГ для повышения энергетической плотности с последующим использованием в качестве бортовых топливных систем для автомобилей [13].
В настоящее время наиболее перспективным методом хранения ПГ, в том числе и для топливных систем транспорта, является аккумулирование ПГ в микропористом материале при относительно низких давлениях и температурах окружающей среды, использующем явление физической адсорбции [14-16]. При этом достаточно слабые взаимодействия газ–адсорбент обусловливают обратимость процесса аккумулирования ПГ. В работе [16] показано, что использование метода АПГ позволяет достичь удельного объема сохраняемого газа вплоть до 200…240 м3(НТД)/м3 при давлениях в диапазоне от 7 до 10 МПа [16]. Таким образом, эксплуатация бортовой системы хранения АПГ делает ее безопасной, а ее заправка в среднем на 20% более энергоэффективна, чем топливной системы компримированного природного газа (КПГ) [17]. Однако тот факт, что физическая адсорбция является экзотермическим процессом, заправка систем хранения АПГ приводит к разогреву топливного бака с адсорбентом вследствие выделения теплоты адсорбции [18]. В результате происходит снижение адсорбционной емкости системы хранения ПГ. Следовательно, при разработке бортовой топливной системы для автомобильного транспорта на основе технологии АПГ необходимо не только подобрать адсорбент с высокой адсорбционной емкостью по метану, но и предусмотреть высокую скорость заправки и свести к нулю негативное действие тепловых эффектов, возникающих в процессе адсорбции. При этом оптимальные АПГ системы должны отвечать требованиям по минимальным потерям ПГ для снижения экологической нагрузки [12]. Таким образом, внедрение технологии АПГ требует комплексного подхода, который включает как получение адсорбента с нужными свойствами [14, 15, 17-20], так и выработку оптимальных инженерных решений для осуществления заправки / выдачи ПГ в привязке к конкретным условиям эксплуатации [21-29]. Как показала практика разработки технологии АПГ в течение последних двух десятилетий, перед проведением полноразмерных испытаний целесообразно проводить численное моделирование систем АПГ, которое позволяет выработать практически реализуемые инженерные решения для оптимальных режимов эксплуатации без трудоемких и затратных по времени экспериментов [22-29]. При этом следует отметить важность выбора математической модели, которая включает уравнения переноса импульса, массы и теплоты, для точного описания тепловых и гидродинамических эффектов, происходящих в процессах заправки / выдачи ПГ. Например, в работе Васильева с сотр. (Vasiliev et al.) [24] использована модель вычислительной гидрогазодинамики (CFD – computational fluid dynamics) для моделирования процессов тепло- и массообмена в адсорбере, заполненном микропористым углеродным адсорбентом, происходящих в условиях реальной эксплуатации на борту автомобиля. Авторы работы [24] верифицировали модель, используя результаты измерений адсорбции метана в микропористых углеродных волокнах в интервале температур от 233 до 313 К при давлениях вплоть до 5 МПа, а также исследовали влияние на производительность адсорбера объемом 2.2 л, эксплуатируемого в условиях терморегуляции, таких факторов, как длительность заправки, теплоперенос через адсорбент и режим подачи газа. При этом терморегуляция адсорбера осуществлялась с помощью теплообменника с радиально расположенными ребрами, установленного внутри адсорбера [24]. Мирзаи с сотр. (Mirzaei et al.) [28] провели экспериментальные исследования адсорбера с относительно малым объемом (~300 см3) при загрузке двумя типами углеродных адсорбентов и сравнили полученные результаты с данными численного моделирования с использованием двумерной осесимметричной модели. Эта же модель применялась в расчетах, проведенных Патил с сотр. (Patil et al.), проанализировавших тепло- и массоперенос в системе АПГ, заполненной модельным углеродным адсорбентом, по свойствам совпадающим с промышленным активированным углем марки MAXSORB III, смешанным с графитовым порошком (5 мас.%) [26]. Было обнаружено, что на протекание процесса заправки газом влияет интенсивность отвода тепла от адсорбера, при этом эффективность аккумулирования ПГ в системе зависит также и от соотношения длины адсорбера к его ширине. Анализ экспериментальных данных и результатов моделирования, опубликованных разными авторами, приводит к выводу о том, что размеры адсорбера являются одним из ключевых факторов при расчете характеристик эффективности системы АПГ. Тем не менее моделирование полноразмерных систем АПГ объемом несколько десятков литров, что соответствует реальной практике, и экспериментальные исследования таких систем представлены относительно небольшим количеством работ [20, 21, 26, 28].
На первый взгляд, использование адсорберов конформной конструкции, обеспечивающей заполнение всего полезного пространства в соответствующем отсеке автомобиля, представляется наиболее очевидным решением. Однако в настоящее время массовое производство нестандартных адсорберов технически трудновыполнимо и экономически нецелесообразно [30]. Следовательно, на данном этапе разработки АПГ технологии целесообразно адаптировать стандартные баллоны цилиндрической формы к бортовым системам АПГ для автомобилей, а затем перейти от резервуаров КПГ к конформному дизайну адсорберов [20]. По этой же причине наиболее рационально использовать в качестве адсорбента АПГ доступные адсорбционные материалы, которые массово выпускаются и применяются в адсорбционных технологических процессах. Такими материалами являются промышленные активированные угли (АУ), известные своими функциональными свойствами, такими как развитая пористость, механическая прочность, устойчивость к химическим и термическим воздействиям [14, 15]. Доступность АУ обусловлена разнообразием сырьевой базы, включающей каменный уголь, полимеры, углеродсодержащие лигноцеллюлозные материалы и пр. Торф, представляющий собой частично карбонизированную биомассу, состоящую на ~60% из углерода, используется в качестве доступного сырья для высокопродуктивного производства АУ [31, 32]. Отметим, что недавно проведенные исследования показали соответствие АУ из торфа критериям эффективного адсорбента для применения в АПГ технологиях [33].
Исходя из всего вышесказанного, сформулируем основную цель настоящей работы, как комплексное исследование прототипов бортовых систем хранения ПГ, состоящих из промышленных газовых цилиндрических баллонов объемом 65 и 150 л, заполненных углеродным адсорбентом из торфа, PAC-3, который производится в промышленных масштабах. Перечень задач исследования включает изучение текстурных свойств выбранного углеродного адсорбента с применением ряда структурно-аналитических методов, а также измерение адсорбции метана в широких интервалах температур и давлений, что позволит оценить основные термодинамические параметры адсорбционного процесса, включая теплоту адсорбции и энтропию. Для учета всех эффектов, влияющих на величину теплоты адсорбции, а именно адсорбционно-стимулированной деформации, измерены изменения линейных размеров гранул адсорбента в процессе адсорбции метана. И наконец, полученные экспериментальные данные были использованы в моделировании циклической работы полноразмерной системы АПГ, заполненной модельным микропористым адсорбентом с такими же текстурными свойствами, что и PAC-3. Моделирование циклических процессов заправки / выдачи газа в системе АПГ при различных скоростях заправки / выдачи газа и условиях терморегуляции, которые близки к практическому использованию в качестве бортовых топливных систем автомобиля, позволит определить влияние тепловых эффектов на работу адсорбера. Кроме того, для оценки фактора размера адсорбера при анализе производительности системы АПГ расчеты проведены для адсорберов разного объема.
2. Экспериментальная часть
2.1 Адсорбент
В работе использовали промышленный гранулированный углеродный адсорбент PAC-3 (АО НПО Неорганика), полученный из торфа высокой степени метаморфизма, добытого в центральной полосе России, смешанного с каменноугольной пылью из слабоспекающихся природных углей (содержание пыли <10%). В монографии Мухина с соавт. [34] детально описаны основные стадии получения АУ из измельченного торфа, пропитанного перед пиролизом сульфидом калия, за которым следует парогазовая активация, несколько промывок, и завершающая сушка.
В измерениях адсорбции и адсорбционно-стимулированной деформации (АСД) использовались гранулы PAC-3, диаметр которых составлял 2.3 нм, а длина – 5.1 мм.
2.2. Адсорбтив
В экспериментальных исследованиях адсорбции применяли метан высокой чистоты с объемной долей метана не менее 99.999% (АО МГПЗ, Россия). В расчетах термодинамических свойств метана в газовой фазе использовались данные из программного ресурса CoolProp program [35] базы данных NIST [36].
2.3. Определение характеристик адсорбента
Рентгеновская дифракция
Фазовый состав адсорбента определялся с помощью анализа рентгеновской дифрактограммы, полученной с помощью рентгеновского порошкового дифрактометра Empyrean Panalytical в диапазоне углов рассеяния 2θ от 10° до 90°. Перед измерениями образец АУ измельчался в мелкодисперсный порошок, который размещался на пластину, устанавливаемую на столик дифрактометра. Съемку проводили с применением геометрии фокусировки Брэгг–Брентано и использованием фильтрованного Ni-Cu-Kα излучения (λCu = 0.1542 нм). Качественный анализ дифрактограмм проводили по характерным рефлексам графита: (002), (10), (100), (101) и (11).
Сканирующая электронная микроскопия
Метод сканирующей электронной микроскопии (СЭМ) применялся для определения особенностей морфологии и элементного состава поверхности образца PAC-3, который предварительно механически измельчался в порошок. Измерения проводились с помощью микроскопа Jeol JSM 6060A (Jeol Ltd., Япония) с микрорентгеноспектральной приставкой при ускоряющем напряжении 15 кВ. Элементный состав АУ определялся путем усреднения результатов десяти измерений рентгеновского спектрального анализа.
Анализ пористой структуры адсорбента
Параметры пористой структуры адсорбента PAC-3 рассчитывались из изотерм адсорбции стандартного пара азота при 77 К, измерянной с помощью многофункционального анализатора A Quantachrome Autosorb iQ (Quantachrome, США). Данные адсорбции азота анализировались с помощью теории объемного заполнения микропор (ТОЗМ), а именно уравнения Дубинина–Радушкевича (Д-Р) [37, 38], что позволило определить удельный объем микропор W0 [см3 ⋅ г–1], стандартную характеристическую энергию адсорбции бензола E0 [кДж ⋅ моль–1], а также эффективную полуширину микропор x0 [нм]. Методом Брунауэра–Эммета–Теллера (БЭТ) [39] с учетом критерия для микропористых адсорбентов [40] рассчитана удельная площадь поверхности SБЭТ [м2 ⋅ г–1]. Удельная поверхность мезопор SME [м2 ⋅ г–1] рассчитывалась по уравнению Кельвина [41]. Удельный объем мезопор WME [см3 ⋅ г–1] вычислялся путем вычитания объема микропор W0 из полного объема пор WT [см3 ⋅ г–1], определенного из данных низкотемпературной адсорбции азота при относительном давлении P/P0 = 0.99 (P0 – давление насыщенного пара азота). Распределение пор по размеру в образце PAC-3 также рассчитывалось из данных низкотемпературной адсорбции азота с помощью метода, основанного на теории нелокального функционала плотности [42], используя смешанную модель щелевидных и цилиндрических пор.
Плотность скелета углеродного адсорбента определяли при помощи гелиевой пикнометрии на приборе UltraPyc 5000 (Anton Paar, Austria). Насыпную плотность слоя адсорбента определяли в соответствии со стандартом [43].
Теплоемкость образца PAC-3 измерялась методом дифференциальной сканирующей калориметрии при температуре 293 K с помощью калориметра DSC Q-100 (TA Instruments, США).
2.4. Измерения адсорбции метана
Адсорбция метана измерялась гравиметрическим методом в диапазоне давлений от 10–6 до 0.16 МПа при температурах от 213 до 393 К. Измерения проводились на специально разработанной адсорбционной установке [44, 45].
При определении адсорбции метана как полного содержания, учитывалась поправка на силу Архимеда Fa. С этой целью мы использовали кварцевый макет массой mam, объем которого совпадал с объемом образца адсорбента. Масса метана, адсорбированного в РАС-3 (mg), и масса метана при использовании макета (mgm) определялись по разнице показаний высокоточных весов. Таким образом, адсорбция метана определялась следующим образом:
(1)
Здесь mg [г] – масса метана, адсорбированного при определенных значениях давления P и температуры T, m0 [г] – масса регенерированного адсорбента, rm [г ⋅ см–3] – плотность кварцевого макета, и ra [г ⋅ см–3] – плотность скелета адсорбента, рассчитанная по данным гелиевой пикнометрии.
Перед каждым экспериментом адсорбент регенерировали при температуре 573 К до давления менее 0.1 Па. Точность измерений давления в диапазонах 0.1-1330 Па и 13-1.5×105 Па составила ±0.07 Па и ±4.0 Па, соответственно. Температура образца в термостате контролировалась во всем диапазоне температур с точностью ±0.15 К. Точность измерений адсорбции, рассчитанная по стандартной методике, составила ±1.5% при доверительной вероятности 0.95 [46].
Равновесную адсорбцию метана в PAC-3 при высоких давлениях (до 20 МПа) и температурах 293, 333 и 393 К измеряли с помощью оригинальной объемно-гравиметрической адсорбционной установки, схема которой была подробно описана в предыдущей работе [47]. В этом случае величина адсорбции метана, определяемая как общее содержание, рассчитывалась следующим образом:
(2)
Здесь N [г] – количество метана, вводимого в измерительную ячейку установки с объемом V [см3], Vads [см3] – объем адсорбента PAC-3 с микропорами, ρg [г ⋅ см–3] – плотность метана в газовой фазе при заданных давлении и температуре, и Mg [г ⋅ ммоль–1] – молярная масса метана. Значение Vads рассчитывается как сумма объема скелета адсорбента, определенного по данным гелиевой пикнометрии, VHe [см3], и объема микропор адсорбента m0W0 [см3].
Значения стандартной и расширенной неопределенностей составили ±3.1 и ±12.0%, соответственно, при доверительной вероятности 0.95.
Для оценки адсорбции метана во всем диапазоне температур от 213 до 393 K и при давлении до 20 МПа мы использовали ранее разработанный и опробированный подход, учитывающий адсорбцию метана как в микро-, так и в мезопорах [48]:
. (3)
Для расчета величины адсорбции метана в микропорах, amicro [ммоль ⋅ г–1], как полного содержания метана в микропорах, мы использовали уравнение Дубинина–Астахова [49] с переменными параметрами E и n:
. (4)
Здесь a0 [ммоль ⋅ г–1] – предельное значение адсорбции метана при давлении, равном P0, A [кДж ⋅ моль–1] – дифференциальная мольная работа адсорбции, E [кДж ⋅ моль–1] – характеристическая энергия адсорбции для исследуемого пара (метана), n – безразмерный параметр, связанный с неоднородностью пористой структуры. При n = 2 уравнение (4) преобразуется в уравнение Дубинина–Радушкевича.
Адсорбция на поверхности мезопор в сверхкритических условиях рассчитывалась по формуле:
. (5)
Здесь k [ммоль ⋅ (г ⋅ Па)–1] – поправочный коэффициент, учитывающий адсорбцию метана в сверхкритических условиях на поверхности мезопор:
. (6)
Здесь [ммоль ⋅ г–1] – предельное количество метана, адсорбированного в монослое на поверхности мезопор с площадью SME, которая может быть представлена в виде произведения плотности метана в монослое rG (г м–3) и эффективной толщины слоя адсорбированного метана в мезопорах wCH4 [нм]:
. (7)
2.5. Измерения адсорбционно-стимулированной деформации
Адсорбционно-стимулированную деформацию (АСД) образца PAC-3, проявляющуюся в виде изменения линейных размеров гранулы адсорбента, измеряли с помощью дилатометра индукционного типа, разработанного и созданного в ИФХЭ РАН [50, 51]. Измерения проводились в диапазоне давлений от 10–6 до 10 МПа при температурах от 213 до 393 К.
Перед каждым экспериментом адсорбент регенерировали при температуре 573 К и давлении менее 0.1 Па. Относительную линейную деформацию адсорбента, η [%], рассчитывали по формуле:
, (8)
где l0 [мм] – начальная длина образца PAC-3, а Dl [мм] – абсолютное изменение линейных размеров адсорбента.
Согласно результатам недавних дилатометрических измерений величины АСД в углеродных адсорбентах [52] деформация PAC-3 предполагалась изотропной.
Точность измерений АСД рассчитывалась в соответствии со стандартной процедурой [46] и составила ± 5 × 10–7 м при доверительной вероятности 0.95.
2.6. Определение термодинамических параметров адсорбции метана в PAC-3
Для того чтобы учесть все факторы, влияющие на дифференциальную изостерическую мольную теплоту адсорбции метана на PAC-3, qst [кДж ⋅ моль–1], такие как неидеальность газовой фазы, крутизна изотерм (∂P/∂a)T и изостер (∂lnP/∂(1/T))a адсорбции, а также деформации, вызванные как температурой, так и адсорбцией: (∂Va/∂T)a и (∂Va/∂a)T, соответственно, мы использовали формулу Бакаева [53]:
. (9)
Здесь Z – коэффициент сжимаемости равновесной газовой фазы при заданных значениях температуры T и давления P, vg – удельный объем газовой фазы, R – универсальная газовая постоянная; , [см3 ⋅ г–1] – удельный объем адсорбента, [см3] — полный объем адсорбента.
Следует отметить, что если влияние вышеуказанных факторов невелико, то уравнение Бакаева преобразуется в общеизвестную формулу Клайперона–Клаузиуса [54]:
. (10)
Мы оценили корректность использования обеих формул для описания полноразмерной системы АПГ, сравнив результаты моделирования на основе термодинамических параметров, рассчитанных по обоим уравнениям, и попытались выяснить, как неучет зависящих от температуры вкладов от неинертности адсорбента и начального наклона изотермы адсорбции повлияет на корректность интегральных термодинамических характеристик, рассчитанных для моделирования реальных систем АПГ.
2.7. Математическое моделирование циклической работы масштабированной системы АПГ
Исследования режимов циклической работы полноразмерной АПГ системы проводилось для двух вариантов исполнения адсорберов АПГ (рис. 1):
(1) без терморегулирования, т.е. в условиях естественной конвекции, в левой части рис. 1;
(2) с терморегулированием при помощи внешнего теплообменника с циркулирующим хладагентом, в правой части рис. 1.
Рис. 1. Схематическое изображение системы АПГ без терморегулирования (слева) и с терморегулированием (справа): (1) баллон с адсорбентом (адсорбер), (2) вентиль, (3) блок управления системой терморегулирования (TCU), (4) трубки с циркулирующим теплоносителем, (5) внешний теплообменник.
Для учета и оценки масштабных факторов при циклической работе АПГ системы рассматривались два типоразмера резервуаров АПГ в виде цилиндрических стандартных промышленных стальных баллонов объемом 65 и 150 л, одинаковых в поперечном сечении и имеющих разную длину в осевом. Данные объемы являются распространенным решением при переоборудовании транспортных средств на газовое топливо.
В настоящем исследовании применялась модель с сосредоточенными параметрами, разработанная и верифицированная ранее для подобного типа АПГ систем [20]. Данный метод моделирования позволяет достаточно точно описывать усредненные параметры системы, оперируя уравнениями массового и энергетического балансов, содержащими интегральные величины, характерные для объекта в целом, а именно: масса системы, ее энергия, общий теплообмен через поверхность и т.д.
Принципиальным отличием разработанной модели является учет неоднородности температуры для адсорбционной системы “адсорбент–газ–адсорбат” и стенок адсорбера, с этой целью помимо классических уравнений сохранения энергии и количества вещества в адсорбционной системе:
(11)
, (12)
вводится дополнительное уравнение энергобаланса:
. (13)
Здесь Dmg.acc [кг], DHas.acc [Дж] и DHst.acc [Дж] – изменения массы газа аккумулируемого в АПГ-системе, энтальпии АПГ систем и энтальпии стенок адсорбера, соответственно, за конечный промежуток времени Dt (с); [кг] и Dmg.out [кг] – массы газа, входящего и выходящего из АПГ систем, соответственно; DHas.in [Дж] и DHas.out [Дж] – энтальпии входящего и выходящего газа из АПГ систем, соответственно; DL [Дж] – работа, затрачиваемая на сжатие газа в баллоне; DEK.in [Дж] и DEK.out [Дж] – кинетическая энергия входящего и выходящего газа из АПГ систем, соответственно; DQhe.in [Дж] и DQhe.out [Дж] – количество теплоты, передаваемое адсорбционной системе “адсорбент–газ–адсорбат” при теплообмене с обечайкой адсорбера и количество теплоты, получаемое обечайкой адсорбера при теплообмене с окружающей средой.
Представленная система уравнений (11)-(13) решалась с использованием последовательных приближений на каждом временном шаге, размер которого определялся пропорционально скорости протекающих процессов (удельный расход газа при заправке и выдаче, перепад температур при стабилизации параметров P и T), а также с учетом коэффициента теплообмена с внешней средой для обеспечения пренебрежимо малой математической погрешности в процессе вычислений.
Масса газа, запасенного в адсорбере, рассчитывалась по формуле:
, (14)
Здесь Vb [м3] объем баллона; rbulk [кг м3] – насыпная плотность адсорбента; e – порозность слоя адсорбента.
Энтальпия адсорбционной системы “адсорбент–газ–адсорбат” выражается через уравнение:
, (15)
где Cc [Дж ⋅ (кг ⋅ К)–1] – теплоемкость адсорбента; T0 – температура окружающей среды (например, 273.15 К), hg [Дж ⋅ кг–1] – удельная энтальпия метана и ha [Дж ⋅ кг–1] – энтальпия адсорбата, приведенная на единицу массы адсорбента.
Энтальпия адсорбата рассчитывалась следующим образом:
. (16)
Энтальпия стенок адсорбера Hw.acc рассчитывалась, используя значения теплоемкости и плотности стали: Csteel [Дж ⋅ (кг ⋅ К)–1] и rsteel [кг ⋅ м–3], соответственно, а также значения объема стенок баллона Vtank [м3]:
. (17)
Массы входящего и выходящего газа из АПГ систем определялись по формулам:
, (18)
. (19)
Здесь Vin.STP и Vout.STP [м3(СТД) ⋅ с–1] – объемные расходы газа входящего и выходящего из АПГ систем соответственно, а rg.STP [кг ⋅ м–3(СТД)] – плотность метана при стандартных давлении и температуре.
Энтальпии входящего и выходящего газа из АПГ систем вычислялись по формулам:
, (20)
. (21)
Работа, затрачиваемая на сжатие газа в баллоне, определялась по изменению давления DP в адсорбере за период времени Dt:
. (22)
Кинетическая энергия входящего и выходящего газа из АПГ систем рассчитывалась как:
, (23)
, (24)
где Sin [м2] – площадь сечения отверстия на входе в адсорбер.
Количество теплоты, передаваемое адсорбционной системе “адсорбент–газ–адсорбат” при теплообмене с обечайкой адсорбера, и количество теплоты, получаемое обечайкой адсорбера при теплообмене с окружающей средой, вычислялись с помощью формул:
, (25)
, (26)
где αin и αout [Вт ⋅ (м2 ⋅ К)–1] – коэффициенты теплопередачи и теплоотдачи внутри адсорбера и снаружи, соответственно; Sst.in и Sst.out [м2] – площади поверхности теплообмена на внутренней и внешней стенке адсорбера соответственно; Tw [К] – температура стенки адсорбера; Tenv [К] – температура окружающей среды.
Начальная температура адсорбера принималась равной стандартной температуре окружающей среды: 293 К (например, для равновесия системы после ночного простоя). Температура охлаждающей жидкости также принималась равной 293 К.
Коэффициент теплоотдачи наружной поверхности с внешней средой в условиях естественной конвекции принимался равным:
= 6 Вт (м2 ⋅ К)–1, а при наличии системы терморегулирования использовалось значение, характерное значение для большинства теплоносителей в подобных системах = 100 Вт ⋅ (м2 ⋅ К)–1 [55].
В расчетах мы использовали значение коэффициента теплопередачи между обечайкой и адсорбентом , которое было определено в недавней работе с использованием модели CFD [29]: αin ~10 Вт ⋅ (м2 ⋅ К)–1.
Отметим, что в работе исследовано влияние как фактора размера адсорбера, так и режимов терморегулирования, на эффективность процессов заправки / выдачи газа в АПГ системах, а также степени проявления этих эффектов в зависимости от расхода газа. С этой целью были проведены расчеты процессов заправки при объемном расходе газа, поступающего в систему, в диапазоне от 5 до 5000 л/мин, границы которого соответствуют двум предельным случаям: медленному (практически равновесному) и высокоскоростному режимам заполнения адсорбера.
3. Результаты и обсуждение
3.2. Текстурные свойства адсорбента
Как следует из снимков СЭМ, полученных для PAC-3 при различных увеличениях (см. рис. 2а-г), поверхность адсорбента является неоднородной, состоящей из агломератов взаимосвязанных частиц неправильной формы и разных размеров. Промежутки между агломератами, размер которых варьируется от сотен нанометров до нескольких микрон (см. рис. 2в и г), могут выполнять роль транспортных пор. Различия в яркости цвета частиц можно объяснить разным содержанием углерода в их составе [33]. Например, Вишневска и Новицки (Wiśniewska and Nowicki) объяснили более яркие фрагменты, наблюдаемые на снимках СЭМ, полученных для подобных образцов АУ, произведенных из торфа, присутствием золы (минеральных примесей) [56].
Рис. 2. Снимки СЭМ поверхности образца PAC-3, полученного из торфа, при различных увеличениях, масштабные линейки: 100 мкм (а), 50 мкм (б), 5 мкм (в) и 1 мкм (г).
Данные энергодисперсионного анализа, представленные в табл. 1, также указывают на неоднородность элементного состава PAC-3. Помимо преобладающего количества углерода и кислорода, обнаружено заметное присутствие минеральных примесей: металлов (Al, K, Ca, Fe, Co, Ti ), серы и кремния, что, очевидно, обусловлено неоднородным химическим составом продуктов термического разложения торфа, частично сохранившимся и после активации [57, 58].
Таблица 1. Элементный состав поверхности гранул углеродного адсорбента PAC-3
Единицы | Элементы | ||||||||||
С | О | Общее содержание примесей | Al | Si | S | K | Ca | Fe | Co | Ti | |
ат.% | 75.62 | 18.29 | 6.09 | 1.87 | 2.85 | 0.69 | 0.24 | 0.18 | 0.2 | 0.02 | 0.06 |
мас.% | 65.60 | 21.13 | 13.27 | 3.64 | 5.78 | 1.60 | 0.67 | 0.51 | 0.79 | 0.07 | 0.2 |
На рис. 3 представлена дифрактограмма PAC-3, которая включает широкий пик малой интенсивности (002), отражающий рассеяние от фазы графита, а также широкие пики (100), (101) и (11), соответствующие отражениям внутри слоев гексагонального графита. Низкая интенсивность отражения (002) коррелирует с малой толщиной пачек графитовых слоев и косвенно указывает на развитую пористость материала [59-61]. Узкие пики при 2θ ~22° и 73° могут быть отнесены к минеральным примесям, в частности SiO2, которые “унаследованы” от торфяного сырья [57, 58].
Рис. 3. Дифрактограмма рентгеновского рассеяния на адсорбенте PAC-3. Вертикальными пунктирными линиями обозначены характерные для графита рефлексы (002), (100), (101) и (11).
Отметим, что форма кривой рентгеновской дифракции для PAC-3 подобна тем, что наблюдались для большинства АУ [59-61], что согласуется с представлением об АУ как совокупности разупорядоченных кристаллитов графита, вкрапленных в аморфную углеродную матрицу [60, 61].
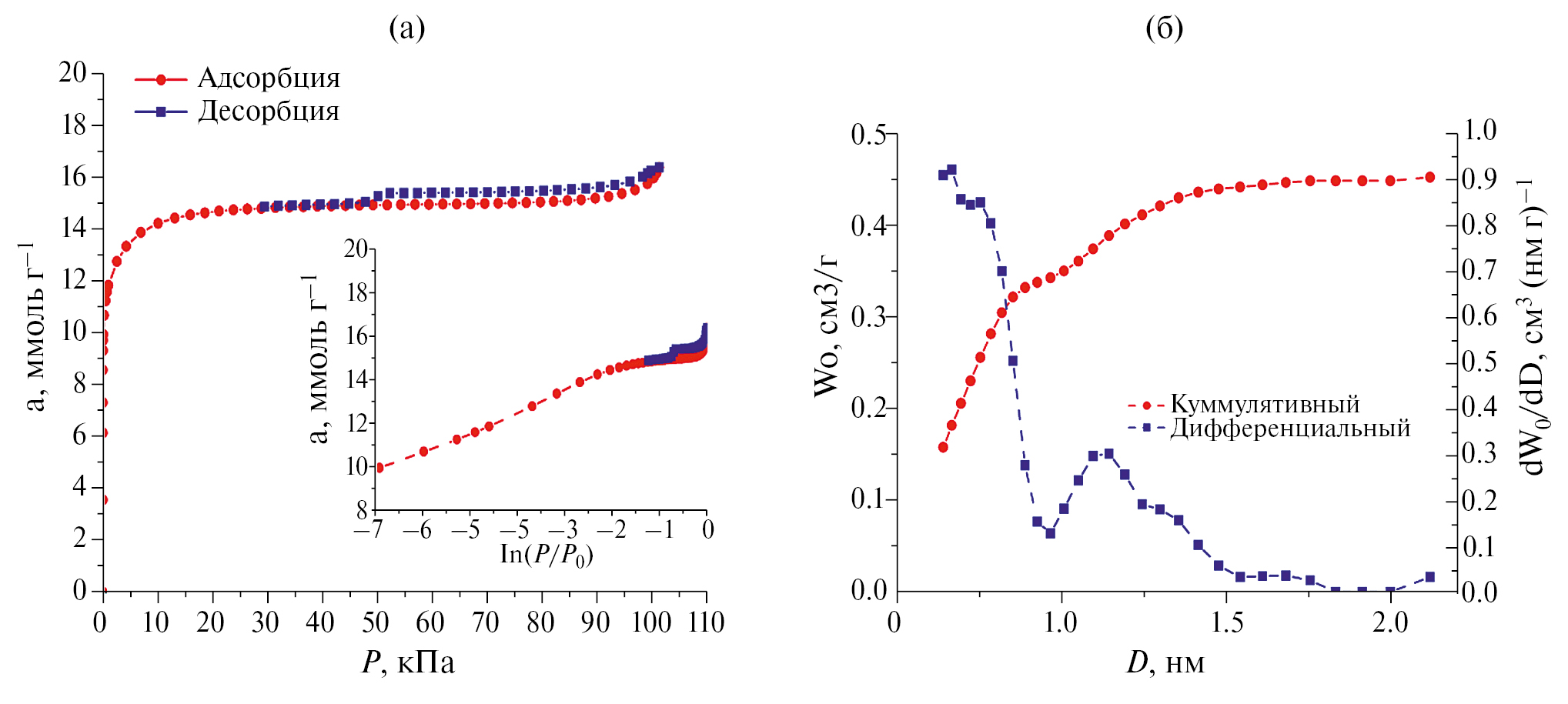
На рис. 4a представлены изотермы низкотемпературной адсорбции/десорбции азота в линейных и полулогарифмических координатах, которые использовались для расчета параметров пористой структуры PAC-3, включая функцию распределения пор по размерам, представленную на рис. 4б.
Рис. 4. Изотермы адсорбции паров азота при 77 K в порах адсорбента PAC-3 (а) в линейных и полулогарифмических координатах (вставка) и расчетная функция распределения пор по размерам (б), полученная методом NLDFT для модели смешанных щелевидных и цилиндрических пор.
Согласно классификации ИЮПАК [62] изотерма адсорбции азота при 77 К близка к типу I(b) с характерным подъемом в начальной области изотермы до 0.3Р/P0, свидетельствующем о наличии развитого объема микропор в пористой структуре адсорбента. В области относительных давлений свыше 0.3Р/P0 наблюдается капиллярно-конденсационный гистерезис типа H4, что указывает на присутствие определенного количества мезопор [62]. В табл. 2 представлены результаты расчета структурно-энергетических параметров микро- и мезопористой структуры исследуемого углеродного адсорбента в соответствии с методиками, описанными в разделе 2.3.
Таблица 2. Текстурные характеристики углеродного адсорбента PAC-3: параметры пористой структуры, определенные из данных низкотемпературной адсорбции паров азота, плотность скелета и насыпная плотность, а также теплоемкость при 293 К
Д-Р | NLDFT | БЭТ | Мезопоры | Плотность скелета | Насыпная плотность | Теплопроводность | |||
W0, | x0, нм | E0, кДж ⋅ моль–1 | , | SБЭТ, м2 ⋅ г–1 | WME, см3 ⋅ г–1 | SME, м2 ⋅ г–1 | ρa, г ⋅ см–3 | rbulk, г ⋅ см–3 | Cs, Дж ⋅ кг–1 ⋅ К–1 |
0.48 | 0.52 | 23.1 | 0.67/1.1 | 1180 | 0.09 | 20 | 2.366 | 0.504 | 790 |
Как видно из рис. 4б, функция распределения пор по размерам углеродного адсорбента описывается бимодальной кривой с максимумами при 0.67 и 1.1 нм. Эти значения попадают в диапазон размеров пор, которые представляются оптимальными для достижения максимальной адсорбционной способности адсорбента по метану для использования в АПГ системах автомобиля [63]. Так как рассчитанное по уравнению Д-Р значение ширины микропор 2x0 = 1.4 нм является усредненным по всем микропорам в PAC-3, то не следует ожидать точного совпадения между этим значением и результатами расчета NLDFT.
3.2. Адсорбция метана в PAC-3
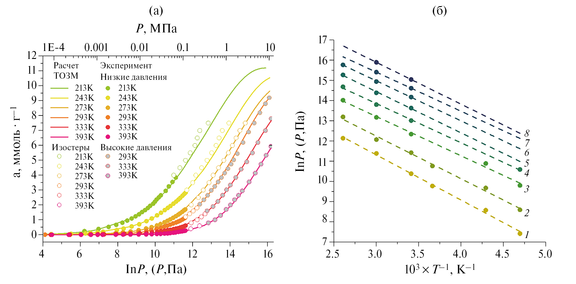
Значения величины адсорбции метана на PAC-3 в интервале температур от 213 до 393 К представлены на рис. 5, включая данные измерений (закрашенные символы) и расчетов с использованием свойства линейности изостер (незаполненные символы), а также ур. (1)-(7) (сплошные линии). Очевидное совпадение экспериментальных данных и результатов расчета указывает на корректность подхода, использованного для определения равновесной адсорбции метана в углеродном адсорбенте во всем интервале исследуемых температур и давлений.
Рис. 5. Зависимость адсорбции метана на микропористом углеродном адсорбенте PAC-3 от давления в полулогарифмических координатах при различных температурах (а). Экспериментальные изостеры адсорбции метана на PAC-3 (б) при величинах адсорбции метана, ммоль г–1: 0.5 (1); 1 (2); 2 (3), 3 (4), 4 (5), 5 (6), 6 (7), 7 (8). Символы – экспериментальные данные, пунктирные линии – линейная аппроксимация.
Из рис. 5 следует, что с ростом температуры кривые изотермы адсорбции смещаются вправо без значительного изменения угла наклона. При этом максимальная величина адсорбции метана увеличивается от 6 до 11 ммоль ⋅ г–1 вместе с понижением температуры от 393 до 213 К соответственно, что в целом соответствует закономерностям, обнаруженным при исследовании адсорбции в микропористых углеродных адсорбентах со схожими параметрами пористой структуры [17, 64, 65].
Данные адсорбции метана в PAC-3 были использованы для определения полной удельной объемной емкости системы АПГ, VF, в интервале давлений вплоть до 20 МПа при разных температурах:
. (27)
На рис. 6 представлены результаты вычислений VF для АПГ системы, загруженной адсорбентом PAC-3, при температурах от 213 до 393 К вместе со значениями емкости баллона КПГ того же объема.
Рис. 6. Зависимость полной удельной объемной емкости VF адсорбера АПГ, загруженного PAC-3 (сплошные линии), и емкости баллона КПГ того же объема (пунктирные линии) при различных температурах.
Из рис. 6 следует, что адсорбент PAC-3 демонстрирует адсорбционную емкость VF ~ 200 м3 (НТД) ⋅ м–3 при 273 К и давлениях заправки вплоть до 10 МПa, что сопоставимо со значениями, полученными для углей с подобными характеристиками пористости [17, 64, 65]. При этом одним из ключевых факторов, обеспечивающих достаточно высокую адсорбционную емкость PAC-3, является его высокая насыпная плотность: rbulk = 0.504 г ⋅ см–3 (см. табл. 2). Также необходимо отметить, что преимущество в емкости системы АПГ перед КПГ сильно зависит от температуры. Так, при температурах, равных 243 и 333 К, интервал давлений, в котором АПГ система демонстрирует бóльшую эффективность по сравнению с КПГ, составляет соответственно 0-10 и 0-20 МПа, однако при этом преимущество в емкости, определяемое отношением VFANG/VFCNG в области наибольшей эффективности снижается с 3 при 3 МПа до 2 раз при 5.5 МПа. Данный факт указывает на то, что режим заправки АПГ систем при пониженных температурах с принудительным терморегулированием более выгоден, т.к. обеспечивает более высокую емкость при низких давлениях.
3.3. Адсорбционно-стимулированная деформация углеродного адсорбента
В процессе эксплуатации адсорбент подвергается механическому, адсорбционному и термическому воздействию. Поэтому не менее важно учитывать влияние деформации адсорбента, стимулированной адсорбцией и температурой [66], на эксплуатационные характеристики АПГ, особенно с учетом нетипичных условий работы адсорбентов, таких как высокие давления и температуры [67]. Имея эти данные, можно определить оптимальные условия заправки / выдачи газа и эксплуатации системы АПГ, при которых снижается вероятность разрушения адсорбента из-за деформационных эффектов.
На рис. 7 приведены результаты экспериментального измерения деформации образца PAC-3, стимулированной адсорбцией метана в интервале давлений от 10–6 до 10 МПа в диапазоне температур от 213 до 393 K.
Рис. 7. Экспериментальные данные АСД для PAC-3 в зависимости от величины адсорбции метана при различных температурах. Символами обозначены экспериментальные данные, а сплошными линиями – результаты сплайн-аппроксимации. Пунктирная линия соответствует нулевой деформации адсорбента.
Анализ рис. 7 показывает, что при увеличении адсорбции метана величина АСД также возрастает (адсорбент расширяется), достигая максимального значения 0.45% при предельной адсорбции метана 11 ммоль ⋅ г–1 при 213 К. Из рисунка также видно, что поведение деформационных изотерм сильно зависит от температуры. Например, в диапазоне температур 213-293 K адсорбент сжимается при низком и среднем заполнении пор, что проявляется в отрицательных значениях деформации. По мере увеличения адсорбции сжатие адсорбента постепенно переходит в его расширение. Следует отметить, что интервал заполнения пор, при котором адсорбент сжимается, увеличивается с понижением температуры, например с 0-3 ммоль ⋅ г–1 при 293 К до 0-8 ммоль ⋅ г–1 при 213 К. Максимальное сжатие адсорбента на 0.17% наблюдалось при минимальной температуре эксперимента 213 К, и этот эффект, очевидно, является проявлением межмолекулярного притяжения между стенками пор и первыми адсорбированными молекулами метана. Недавно подобное поведение АСД отмечалось и для других углеродных адсорбентов [66, 68]. По мере того как микропоры PAC-3 все больше заполняются молекулами метана, среднее межмолекулярное расстояние становится меньше, что приводит к усилению отталкивания и проявляется в макроскопическом расширении адсорбента.
С ростом температуры диапазон значений адсорбции метана, вызывающих сжатие PAC-3 сужается, и при 300 К во всем диапазоне давлений (заполнений пор) адсорбент только расширяется. Более того, при температурах 333 и 393 К наблюдается первоначальное резкое расширение адсорбента на 0.04 и 0.08%, соответственно. Дальнейшее расширение PAC-3 с ростом адсорбции метана при высоких температурах вероятно является результатом изменения баланса межмолекулярных сил, связанного с увеличением как внутреннего давления адсорбата, так и сжимаемости адсорбента. Подобное поведение деформационных зависимостей в области сравнительно высоких температур наблюдалось ранее при адсорбции в микропористых адсорбентах, включая АУ [69-71] и цеолиты [72]. Вероятно, такие изменения в характере зависимостей АСД от величины адсорбции при увеличении температуры в углеродных адсорбентах вызвано ослаблением связей между гексагональными слоями углерода, составляющими стенки щелевидных пор. В результате взаимодействия между первыми молекулами метана, попавшими в пору, и атомами углерода в слоях, составляющих стенки пор, нарушают баланс сил в каркасе адсорбента. Как следствие, расстояния между последующими слоями углерода в твердом теле увеличиваются, что проявляется в макроскопическом расширении всего образца.
Заметные величины деформации в области предельных заполнений пор метаном могут повлиять на эффективность работы масштабированных АПГ систем. Например, при температуре 213 К суммарная амплитуда линейной деформации PAC-3, включая абсолютные значения сжатия и расширения, составляет 0.62%, что соответствует изменению объема адсорбента на ~1.85%. Следовательно, суммарные колебания объема адсорбента, полностью заполняющего и сосуд объемом 65 или 150 л, достигают ~1.2 или 2.8 л, соответственно. Таким образом, для предотвращения механического разрушения системы АПГ и последующего ухудшения ее эксплуатационных характеристик, необходимо учитывать эффекты АСД при выработке соответствующих конструкций адсорбера и режимов его эксплуатации.
3.4. Термодинамика адсорбции метана в PAC-3
На рис. 8а и б показано, как изменяются значения дифференциальной мольной изостерической теплоты адсорбции метана в порах PAC-3 (а) и дифференциальной мольной изостерической энтропии S1 адсорбционной системы PAC-3-метан (б) в процессе адсорбции метана при температурах от 213 до 393 К. Представленные на рис. 8а функции qst(a) рассчитывались по формуле Бакаева (ур. (9)), а также по формуле Клапейрона–Клаузиуса (ур. (10)) с учетом и без учета фактора сжимаемости: Z ≠ 1 и Z = 1, соответственно. Дифференциальная мольная изостерическая энтропия S1 адсорбционной системы определена с использованием значений qst, рассчитанных по ур. (9):
, (28)
здесь sg – энтропия в равновесной газовой фазе метана.
Рис. 8. (а) Дифференциальная мольная изостерическая теплота адсорбции метана в PAC-3, рассчитанная по ур. (9) (сплошные линии) и по ур. (10) для Z ≠ 1 (пунктирные линии) и Z = 1 (черная пунктирная линия), в зависимости от величины адсорбции метана для различных температур. (б) Дифференциальная мольная изостерическая энтропия адсорбционной системы PAC-3-метан в зависимости от величины адсорбции метана для различных температур.
Как следует из рис. 8а, начальное значение qst составляло около 20-22 кДж, что характерно для физической адсорбции метана на углеродных адсорбентах [73]. Поскольку теплота адсорбции является количественной мерой взаимодействий между адсорбатом и адсорбентом, резкое падение ее значения в диапазоне от 0 до 0.5 ммоль ⋅ г–1 отражает заполнение адсорбционных центров молекулами метана, начиная с тех, что характеризуются наибольшей энергией взаимодействия CH4–PAC-3 (в основном, это самые узкие микропоры). Обнаруженный эффект коррелирует с резким уменьшением функции S1(a) в том же диапазоне величин адсорбции, что может быть объяснено уменьшением степеней свободы молекул метана, адсорбированных в микропорах.
Когда величина адсорбции достигает значения ~1 ммоль ⋅ г–1, проявляется зависимость теплоты адсорбции от температуры, что обусловлено влиянием фактора сжимаемости и крутизной начального наклона изотермы (∂P/∂a)T в ур. (9). В диапазоне средних значений заполнения пор, т.е. 1-6 ммоль ⋅ г–1, спад функции qst(a)T замедляется из-за возрастающего влияния взаимодействий между молекулами адсорбата. По мере адсорбции метана вклад притяжения между молекулами адсорбата становится все более значительным. В результате происходит ассоциация молекул метана в кластеры (или ассоциаты), что проявляется в увеличении теплоты адсорбции, наблюдаемом при 213 К [64]. Однако при более высоких температурах теплоты адсорбции ведут себя противоположным образом. Например, при 243 K, когда величина адсорбции достигает 10.5 ммоль ⋅ г–1, рост значений функции qst(a)T сменяется резким снижением. Более того, при T > 243 K в процессе адсорбции функция qst(a)T только уменьшается. Исходя из ур. (9) увеличение расхождения кривых qst(a)T, соответствующих разным температурам, можно объяснить температурной зависимостью вкладов от неидеальности газовой фазы метана, перегруппировки молекул адсорбата в порах из-за усиления сил отталкивания и неинертности адсорбента. Подобные особенности поведения теплоты адсорбции метана, проявляющиеся в процессе адсорбции, наблюдались для многих адсорбционных систем, включая, например, при адсорбции метана и диоксида углерода в промышленном углеродном адсорбенте Sorbonorit 4, также произведенным из торфа [66, 72], и в цеолитах типа NaX [73], а также ксенона в АУ из карбида кремния [74]. Сравнение поведения кривых qst(a)T, рассчитанных по ур. (9) и (10), показало, что, особенно при высоких давлениях и температурах, выбор формулы для расчета теплоты адсорбции имеет решающее значение для оценки тепловых эффектов в адсорбционной системе.
Рис. 9. Температурная зависимость дифференциальной мольной изостерической теплоемкости адсорбционной системы метан-PAC-3 (сплошные линии) и изохорной теплоемкости метана (пунктирные линии) для различных величин адсорбции метана.
Следует отметить, что изменение соотношения взаимодействий адсорбат–адсорбент и адсорбат–адсорбат в процессе постепенного заполнения микропор PAC-3 молекулами метана определяет поведение функции S1(a). На начальной стадии адсорбции энтропия адсорбционной системы уменьшается из-за снижения подвижности первых молекул метана, адсорбированных в самых узких микропорах, вследствие притяжения между ними и атомами углерода, составляющими стенку поры. Однако при заполнении пор в PAC-3 молекулами метана, т.е. при значениях адсорбции, близких к 10.5-11.0 ммоль г–1, возрастающий эффект сил притяжения между молекулами адсорбата приводит к образованию кластеров молекул метана, что проявляется в росте функции S1(a). С ростом температуры этот эффект наблюдается при более низких значениях адсорбции. Подобное поведение энтропии адсорбции характерно для адсорбции газов на микропористых адсорбентах, включая углеродные адсорбенты [74] и цеолиты NaX [75].
Значения qst(a) были использованы для расчета дифференциальной мольной изостерической теплоемкости адсорбционной системы при постоянном значении адсорбции метана Ca(T)a с помощью уравнения Кирхгофа:
. (29)
Результаты расчетов Ca(T)a для адсорбционной системы CH4-PAC-3 при различных величинах адсорбции метана представлены на рис. 9, на котором также приведены температурные зависимости изохорной теплоемкости газообразного метана.
Как следует из рисунка, при повышении температуры зависимость Ca(T)a демонстрирует рост, который становится все более выраженным с увеличением величины адсорбции метана и достигает значения 0.2 кДж (моль ⋅ К)–1 при температуре 330 К и a = 8 ммоль ⋅ г–1. В тех же условиях изохорная теплоемкость газообразного метана также растет с температурой и величиной адсорбции, однако абсолютное значение не превышает 0.04 кДж ⋅ (моль ⋅ К)–1. Наблюдаемый эффект указывает на то, что молекулы метана, адсорбированные в микропорах, находятся в поле адсорбционных сил, создаваемых противоположными стенками пор [37, 64], и это состояние характеризуется особыми термодинамическими свойствами.
3.5. Моделирование циклической работы системы АПГ
3.5.1. Заправка адсорбера
Одним из способов ускорить внедрение АПГ является возможность использования существующей газозаправочной инфраструктуры для КПГ высокого давления (19.6 МПа) [76]. Поэтому моделирование процесса заправки системы АПГ для оценки термодинамических параметров заправки адсорберов проводилось в широком интервале возможных рабочих давлений (вплоть до 19.6 МПа) для различных значений расходов газа в интервале от 5 до 5000 л/мин. Расходы газа в диапазоне 5-300 л/мин (т.е. до 18 м3 час) соответствуют малорасходным компрессорам для локальной заправки, а расходы газа, достигающие 5000 л/мин и более (300 м3/час), типичны для промышленных “быстрых” заправок. Рассмотрены оба варианта терморегулирования адсорбера в процессе заправки: в условиях естественной конвекции и с использованием системы терморегулирования (охлаждение жидкостью).
Сначала выясним, как учет всех факторов, которые вносят вклад в изостерическую дифференциальную теплоту адсорбции метана, влияет на значение температуры адсорбента, достигаемой в конце процесса заправки: Tq. Для этого рассмотрим разность конечных температур в адсорбере, и , значения которых были вычислены по теплоте адсорбции метана в модельном углеродном адсорбенте – аналоге PAC-3, рассчитанной с помощью уравнений Клайперона–Клаузиуса и Бакаева соответственно:
. (30)
С помощью рис. 10а и б можно оценить, как режим терморегулирования и расход газа влияют на зависимость DTq от давления заправки для адсорберов объемом 65 и 150 л, соответственно.
Рис. 10. Разница между температурами адсорбента, достигнутыми в конце заправки адсорбера объемом 65 (a) и 150 л (б), рассчитанными по ур. 9 и 10, в зависимости от давления заправки для условий естественной конвекции (сплошные линии) и принудительной терморегуляции (пунктирные линии) при различных расходах газа.
Зависимости на 10а и б наглядно демонстрируют существенный рост величины DTq, особенно при увеличении давления заправки. Так, погрешность ΔTq достигает значения ~13 К при расходе 5000 л мин–1 для режима естественной конвекции в процессе заправки до давления 19.6 МПа. При этом следует отметить, что данный параметр практически не зависит от объема АПГ системы, если она работает в режиме естественной конвекции. Наличие системы терморегулирования в целом приводит к снижению абсолютной погрешности на величину 2-4 К по сравнению со значением, определенным для системы АПГ, заполняющейся газом в режиме естественной конвекции. Если значение расхода газа при заправке варьируется в диапазоне от 10 до 100 л мин–1, то наблюдается заметное снижение величины DTq, которая не превышает 5-6 К в интервале давлений заправки до 10 МПа.
Таким образом, очевидно, что использование упрощенного уравнения (10) для расчета qst может привести к существенной переоценке температуры, до которой нагревается адсорбер в процессе заправки в полноразмерной системе АПГ. При относительно низких расходах газа эта переоценка минимальна для 150-литровой системы АПГ, оснащенной оборудованием для терморегулирования, позволяющим отводить тепло.
На рис. 11а и б продемонстрировано, как расход газа и выбор режима терморегулирования влияют на изменение во времени давления заправки P(τ), рассчитанного для адсорберов объемом 65 л (а) и 150 л (б), в условиях естественной конвекции и принудительного термоконтроля.
Рис. 11. Изменение во времени давления заправки в системе АПГ объемом 65 л (а) и 150 л (б) в процессе заправки с различными скоростями подачи газа в условиях естественной конвекции (сплошные линии) и принудительной терморегуляции (пунктирные линии).
Как следует из рисунков, использование терморегулирования практически не влияет на длительность заправки системы АПГ, особенно в случае “быстрой” коммерческой заправки с расходом более 300 л ⋅ мин–1. Небольшое уменьшение продолжительности заправки наблюдается только при низких расходах газа.
На рис. 12а и б продемонстрирована динамика изменения во времени средней температуры адсорбента внутри адсорбера объемом 65 л (а) и 150 л (б) при различных расходах газа в условиях естественной конвекции и терморегулирования.
Рис. 12. Изменение во времени средней температуры адсорбента в процессе заправки адсорбера объемом 65 л (а) и 150 л (б) для различных расходов газа в условиях естественной конвекции (сплошные линии) и принудительной терморегуляции (пунктирные линии). Серыми пунктирными линиями обозначены состояния системы при постоянном значении давления.
В результате анализа обоих рисунков обнаружено, что использование системы терморегулирования наиболее эффективно при высоких давлениях и расходах газа в диапазоне от 5 до 80 л ⋅ мин–1. Этот эффект обусловлен увеличением как времени взаимодействия теплоносителя с термостатируемым объектом, так и возрастающей эффективностью теплообмена в газовой фазе с повышением давления. При скорости подачи топлива более 300 л ⋅ мин–1 увеличение средней температуры адсорбента в адсорбере практически не зависит от условий охлаждения. Эффективность использования системы терморегулирования можно оценить по разнице между максимальными температурами адсорбента в адсорбере, достигаемыми в процессе заправки при двух вариантах терморегулирования. Обнаружено, что при постоянном расходе газа, подаваемого в систему с заправочной станции, максимальная эффективность терморегулирования достигается при большем объеме адсорбера и при более высоких давлениях (см. данные T(τ) для адсорберов объемом 65 и 150 л, заправляемых при расходах газа менее 300 л мин–1). Наблюдаемый эффект свидетельствует о том, что при наличии средств терморегулирования и одинаковой производительности компрессоров выгоднее заправлять адсорберы большего объема.
Анализ зависимости средней температуры адсорбента, достигаемой в конце заправки, от продолжительности процесса позволяет получить практически применимые диаграммы для оценки эффективности режима терморегулирования и определения оптимальной длительности заправки. На рис. 13а и б в качестве иллюстрации показано, на какую величину уменьшается средняя температура адсорбента DTfin в конце заправки до давлений 19.6 и 6.5 МПа при использовании принудительного охлаждения адсорбера объемом 65 (а) и 150 л (б) в зависимости от времени заправки и при различных расходах газа:
. (31)
Здесь и – средние значения температуры адсорбента, достигаемой в конце процесса заправки в условиях естественной конвекции (NC) и принудительного термоконтроля (TC), соответственно. Приведенные на рисунках диаграммы позволяют провести сравнительную оценку влияния давления заправки и объема адсорбера на поведение функции DTfin(t).
Рис. 13. Разница между средними температурами адсорбента, ΔTfin, достигнутыми в адсорбере объемом 65 л (а) и 150 л (б) при заправке до давления 19.6 и 6.5 МПа при естественной конвекции и в условиях принудительной терморегуляции, в зависимости от длительности заправки (скорости заправки). Серыми пунктирными линиями обозначены границы области наибольшей эффективности терморегулирования.
Как следует из рисунков, для обоих значений объемов адсорбера применение системы терморегулирования наиболее эффективно при расходах газа в диапазоне от 10 до 300 л ⋅ мин–1 (область очерчена пунктирными линиями и выделена серым фоном), с максимумом при длительности заправки t ≈ 6 ч. В этих условиях для обеих систем АПГ максимальный перепад температур достигает значений 18-19 К и 14-15 К при давлении заправки 19.6 МПа и 6.5 МПа, соответственно. При расходе менее 10 л ⋅ мин–1 разница между средними температурами адсорбента в конце заправки адсорбера в условиях терморегулирования и естественной конвекции стремится к нулю за счет увеличения длительности процесса.
3.5.2. Моделирование процесса стабилизации термодинамических параметров системы АПГ после заправки газом
Тепловые эффекты в АПГ системах проявляются в большей степени по сравнению с КПГ из-за существенного вклада теплоты адсорбции. Очевидно, что по этой причине стабилизация термодинамических характеристик АПГ системы после заправки занимает большее время, чем в системе КПГ. Этот процесс требует детального анализа, особенно для системы без активного терморегулирования.
Моделирование процесса P,T-стабилизации давления и температуры в системе АПГ проводилось с использованием ур. (6)-(8) без учета условий, описываемых ур. (13)-(19) в режиме естественной конвекции (α = 6 Вт ⋅ м–2 ⋅ К–1, 293 К). На рис. 14 представлено изменение во времени расчетной средней температуры адсорбента и давления в системе АПГ в течение периода стабилизации (простоя) для различных конечных давлений заправки.
Рис. 14. Динамика изменения во времени средней температуры адсорбента (а) и давления (б) в адсорбере АПГ объемом 65 (сплошные линии) и 150 л (пунктирные линии) в процессе стабилизации (простоя), происходящем после заправки до давления 3.5, 6.5 и 10 МПа.
Согласно данным, представленным на рис. 14а, скорость охлаждения адсорбента, а также снижение давления в системе АПГ в значительной степени зависят от объема адсорбера. В условиях естественной конвекции скорость охлаждения адсорбера объемом 65 л изменяется от 16 до 4 К ⋅ ч–1 (в течение первых трех часов), тогда как во время простоя системы более 10 ч скорость охлаждения не превышает 2 К ⋅ ч–1. Для адсорбера объемом 150 л эти показатели изменяются от 11 до 3 К ⋅ ч–1 (в течение первых двух часов) и не превышают 2 К ⋅ ч–1, если время простоя больше 10 ч. Следует отметить, что в процессе стабилизации (простоя), продолжающейся в течение почти 15 ч, давление газа в адсорбере объемом 65 л значительно снижается с 10 до 6 МПа.
Полученные результаты интересны для оценки начального состояния системы перед эксплуатацией автомобиля, что актуально для сменных режимов “выдачи–заправки”, например, “день–ночь”.
3.5.3. Влияние периода стабилизации термодинамических параметров системы АПГ на активную емкость и выдачу газа
Результаты, полученные в разделе 3.5.2, были использованы при моделировании процесса выдачи газа из системы АПГ в режимах естественной конвекции и принудительного терморегулирования. При этом температура охлаждающей жидкости в системе терморегулирования принималась равной температуре антифриза в контуре охлаждения двигателя автомобиля (~363 К). Расход газа принимали равным 100 л ⋅ мин–1, что соответствует эксплуатации легкового автомобиля B-класса. Результаты моделирования использовались для расчета двух практически значимых параметров, а именно: количества метана, выдаваемого из адсорбера, Vd [м3(СТД)], и длины пробега автомобиля за счет одной заправки из адсорбера или запаса хода автомобиля, М [км]. В расчетах пробега автомобиля расход газа принимался равным 10 м3 на 100 км.
На рис. 15а продемонстрировано, как длительность стабилизации термодинамических параметров в системе АПГ влияет на значения параметров Vd и М, рассчитанные для адсорберов объемом 65 и 150 л в режимах естественной конвекции и принудительного теплового контроля.
Рис. 15. (а) Объем выдаваемого газа (левая ось) и соответствующий пробег автомобиля (правая ось) в зависимости от длительности стабилизации термодинамических параметров (времени простоя) адсорбера объемом 65 л и 150 л (линии) и баллона КПГ того же объема (кружки) после заправки до давления 3.5, 6.5 и 10 МПа в условиях естественной конвекции (сплошные линии) и принудительной терморегуляции (пунктирные линии). (б) Прирост количества газа, поданного из адсорбера объемом 65 л (сплошные линии) и 150 л (пунктирные линии), за счет использования принудительного терморегулирования в зависимости от длительности стабилизации после заправки до давления 3.5, 6.5 и 10 МПа.
Мы также рассчитали выигрыш в количестве выдаваемого газа из адсорбера при работе в условиях принудительного терморегулирования по сравнению с работой в условиях естественной конвекции:
. (32)
Здесь и – количество газа, выдаваемого системой АПГ, которая эксплуатируется в режимах принудительного терморегулирования (TC) и естественной конвекции (NC), соответственно.
На рис. 15б представлены значения параметра hVa в зависимости от длительности стабилизационного периода (или времени простоя) системы АПГ объемом 65 и 150 л, заправленных до давления 3.5, 6.5 и 10 МПа.
Как следует из рис. 15а, применение средств терморегулирования в системе АПГ обеспечивает практически полную независимость от длительности периода стабилизации, что положительно влияет на эксплуатационные характеристики. Однако при отсутствии терморегулирования адсорбера его активная емкость значительно снижается при увеличении периода стабилизации. Поэтому целесообразно использовать такую систему сразу после заправки. Этот эффект можно объяснить эндотермическим характером процесса выдачи газа, сопровождающимся снижением температуры адсорбента относительно окружающей среды, а также увеличением объема неутилизируемого газа.
Как следует из рис. 15б, независимо от объема адсорбера при низких давлениях заправки относительный прирост активный емкости за счет принудительного терморегулирования больше, чем при высоких давлениях заправки.
В целом анализ рис. 15а и б показал, что эксплуатация систем АПГ больших объемов в условиях терморегулирования позволяет выиграть в дальности хода автомобиля как в абсолютной (Vd), так и относительной (hVd) величинах.
4. Выводы
Проведено комплексное исследование полноразмерной системы АПГ, заполненной микромезопористым углеродным адсорбентом, для оценки влияния тепловых эффектов, сопровождающих физическую адсорбцию, на характеристики процесса заправки. Проведено экспериментальное исследование адсорбции метана на промышленном углеродном адсорбенте из торфа в широком диапазоне температур и давлений. Полученные результаты были использованы для моделирования процессов заправки / выдачи газа при двух вариантах режима теплового контроля системы АПГ: естественной конвекции и принудительного терморегулирования с помощью внешнего теплообменника.
Экспериментальные измерения показали, что текстурные свойства и адсорбционная емкость по метану выбранного АУ позволяют рассматривать его в качестве адсорбента в системах АПГ. Величины равновесной адсорбции метана на выбранном АУ в диапазоне температур от 213 до 393 К и при давлениях вплоть до 20 МПа представлялись как суммарная адсорбция метана в микропорах и в слое на поверхности мезопор. Свойство линейности изотерм адсорбции метана, указывающее на особое состояние молекул метана в микропорах, было также использовано для расчета изотерм адсорбции при сверхкритических температурах и давлениях.
Измерения, проведенные методом дилатометрии, показали, что адсорбция метана приводит к изменениям линейных и объемных размеров адсорбента, проявляющихся в его сжатии и расширении. Суммарная величина относительной линейной и объемной деформации адсорбента, включая сжатие и расширение, достигает 0.62 и 1.85% соответственно. Таким образом, в процессе заправки газом полноразмерной системы АПГ суммарные колебания объема углеродного адсорбента, полностью заполняющего адсорбер объемом 65 или 150 л, могут достигать значений 1.2 или 2.8 л, соответственно. Очевидно, что при проектировании полномасштабной системы АПГ необходимо учитывать эффект адсорбционно-стимулированной деформации, чтобы предотвратить разрушение адсорбента и(или) адсорбера и последующее ухудшение эксплуатационных характеристик. Кроме того, при расчетах изостерической дифференциальной молярной теплоты адсорбции метана, особенно при высоких температурах и давлениях, необходимо учитывать неинертность адсорбента под действием адсорбции метана, а также неидеальность газообразной фазы. В противном случае расчеты приведут к завышению значений температуры, до которой нагревается адсорбент при заправке адсорбера.
Применение модели с сосредоточенными параметрами для моделирования работы системы АПГ в двух вариантах терморегулирования позволило исследовать процессы заправки / выдачи газа в адсорберах объемом 65 и 150 л при разных расходах газа. В результате проведенного моделирования было показано, что:
- в условиях естественной конвекции при заправке ошибка в расчетах температуры в адсорбере становится значительнее при увеличении расхода газа и давления и достигает максимального значения 13 К при расходе 5000 л ⋅ мин–1 при давлении 19.6 МПа. Применение системы принудительного терморегулирования позволило снизить погрешность до 3 К;
- длительность заправки практически не зависит от условий теплового контроля, особенно когда расход газа превышает 300 л ⋅ мин–1;
- применение системы принудительного терморегулирования в системе АПГ обеспечивает наименьший нагрев адсорбента в процессе заправки при малых расходах газа от 10 до 300 л ⋅ мин–1 и при высоких давлениях. Увеличение объема адсорбера усиливает этот эффект;
- в режиме естественной конвекции увеличение как объема адсорбера, так и давления заправки приводит к удлинению периода стабилизации, в течение которого температура и давление в системе снижаются до постоянных значений;
- принудительное терморегулирование в системе АПГ позволяет увеличить объем выдаваемого газа, а также максимальный пробег автомобиля, обеспечиваемый одной заправкой. Время стабилизации не влияет на эти параметры;
- принудительное терморегулирование в системе АПГ большего объема позволяет достичь преимущества в пробеге автомобиля как в абсолютных, так и в относительных величинах.
Таким образом, в результате проведенных исследований выявлены особенности циклической работы полноразмерной системы АПГ, заполненной промышленным углеродным адсорбентом, при использовании терморегулирования в реальных условиях эксплуатации автомобиля. Полученные результаты представляются практически значимыми при разработке бортовой системы хранения АПГ для автомобилей, работающих на газомоторном топливе.
Благодарности
Авторы выражают благодарность А.А. Ширяеву за помощь в проведении экспериментов рентгеновской дифракции и конструктивные предложения. Эксперименты проводились с использованием оборудования Центра физических методов исследования Института физической химии и электрохимии имени А.Н. Фрумкина Российской академии наук.
Финансирование
Исследование проведено при финансовой поддержке Российского научного фонда в рамках проекта № 24-79-00135. https://rscf.ru/project/24-79-00135/
Конфликт интересов
Авторы заявляют об отсутствии конфликта интересов. Финансирующие организации не принимали участия в разработке схемы исследования, сборе, анализе и интерпретации данных, написании рукописи и принятии решения о публикации результатов.
About the authors
И. Д. Шелякин
ФГБУН Институт физической химии и электрохимии им. А.Н. Фрумкина РАН
Author for correspondence.
Email: i.menshchikov@gmail.com
Russian Federation, Москва
И. Е. Меньщиков
ФГБУН Институт физической химии и электрохимии им. А.Н. Фрумкина РАН
Email: i.menshchikov@gmail.com
Russian Federation, Москва
A. В. Школин
ФГБУН Институт физической химии и электрохимии им. А.Н. Фрумкина РАН
Email: i.menshchikov@gmail.com
Russian Federation, Москва
С. С. Чугаев
ФГБУН Институт физической химии и электрохимии им. А.Н. Фрумкина РАН
Email: i.menshchikov@gmail.com
Russian Federation, Москва
A. Е. Гринченко
ФГБУН Институт физической химии и электрохимии им. А.Н. Фрумкина РАН
Email: i.menshchikov@gmail.com
Russian Federation, Москва
A. В. Шапагин
ФГБУН Институт физической химии и электрохимии им. А.Н. Фрумкина РАН
Email: i.menshchikov@gmail.com
Russian Federation, Москва
Е. В. Хозина
ФГБУН Институт физической химии и электрохимии им. А.Н. Фрумкина РАН
Email: i.menshchikov@gmail.com
Russian Federation, Москва
А. А. Фомкин
ФГБУН Институт физической химии и электрохимии им. А.Н. Фрумкина РАН
Email: i.menshchikov@gmail.com
Russian Federation, Москва
References
- Sustainable Development Goals https://www.un.org/sustainabledevelopment/development-agenda/ Дата обращения: 15 июня 2024 г.
- Opening Remarks at Global Sustainable Transport Forum 2023. Department of Economic and Social Affairs. United Nations. https://www.un.org/en/desa-en/opening-remarks-global-sustainable-transport-forum-2023 Дата обращения: 3 сентября 2024 г.
- Marmiroli B., Venditti M., Dotelli G. et al. // Appl. Energy. 2020. V. 260. P. 114236. https://doi.org/10.1016/j.apenergy.2019.114236
- International Energy Agency. Data and statistics. https://www.iea.org/data-and-statistics/country¼CHINAREG&fuel¼CO2%20emissions&indicator¼CO2%20emissions%20by%20sector. Дата обращения: 3 августа 2024 г.
- Liu F., Mauzerall D.L., Zhao F. et al. // Int. J. Hydrogen Energy.2021. V. l. 46. P. 17982. https://doi.org/10.1016/j.ijhydene.2021.02.198
- Ogden J., Jaffe A.M., Scheitrum D. et al. // Energy Policy. 2018. V. 115. P. 317. https://doi.org/10.1016/j.enpol.2017.12.049
- Abdullah N.N., Anwar G. // IJELSS. 2021. V. 6. P. 479. https://doi.org/10.22161/ijels.61.64
- Аксютин О.Е., Ишков А.Г., Романов К.В., Тетеревлев Р.В. // Газовая промышленность. 2018. № 11. T. 777. URL: https://cyberleninka.ru/article/n/metano-vodorodnaya-energiya-dlya-nizkoemissionnogo-razvitiya
- Bolzonella D., Battista F., Cavinato C. et al. // Biohythane Production From Food Wastes. In: Biomass, Biofuels, Biochemicals, Biohydrogen (2-d Edition). Elsevier. 2019. P. 347-368. https://doi.org/10.1016/B978-0-444-64203-5.00013-7
- Hassan Q., Azzawi I.D.J., Sameen A.Z. et al. // Sustainability. 2023. V. 15. P. 11501. https://doi.org/10.3390/su151511501
- Li F., Mauzerall D.L., Zhao F. et al. // Int. J. Hydrogen Energy. 2021 V. 46. P. 17982. https://doi.org/10.1016/j.ijhydene.2021.02.198
- Chala G.T., Abd Aziz A.R., Hagos F.Y. // Energies. 2018. Vl. 11. P. 2934. https://doi.org/10.3390/en11112934
- Eswara A.K., Misr S.C., Ramesh U.S. // Proceeding of Annual Meeting of Society of Naval Architects & Marine Engineers Society of Naval Architects & Marine Engineers, Washington, USA. November 8. 2013. P. 1–23. https://doi.org/10.5957/SMC-2013-T22
- Цивадзе А.Ю., Аксютин О.Е., Ишков А.Г. и др. // Успехи хим., 2018. Т. 87. № 10. С. 950. https://doi.org/10.1070/RCR4807.
- Ohba T., Vallejos-Burgos F., Kaneko K. Fundamental Science of Gas Storage. In: Kaneko K., Rodríguez-Reinoso F. (eds) Nanoporous Materials for Gas Storage. Green Energy and Technology. Singapore: Springer. 2019. https://doi.org/10.1007/978-981-13-3504-4_3
- Wu Z., Wee V., Ma X. et al. // Adv. Sustainable Syst. 2021. V. 5. P. 2000200. https://doi.org/10.1002/adsu.202000200
- Shkolin A.V., Fomkin A.A., Men’shchikov I.E. et al. // Adsorption. 2019. V. 25. P. 1559. https://doi.org/10.1007/s10450-019-00135-0
- Prajwal B.P., Ayappa G.K. // Adsorption. 2014. V. 20. P. 769. https://doi.org/10.1007/s10450-014-9620-1
- Simon C.M., Kim J., Gomez-Gualdron D.A. et al. // Energy Environ. Sci.. 2015. V. 10. P. 1190. https://doi.org/10.1039/C4EE03515A
- Men'shchikov I.E., Shkolin A.V., Strizhenov E.M. et al. // Nanomaterials. 2020. V. 10. 2243. https://doi.org/10.3390/nano10112243
- Prosniewski M., Rash T., Romanos. J. et al. // Fuel. 2019. V. 244. P. 447. https://doi.org/10.1016/j.fuel.2019.02.022
- Chang K. J. and Talu O. // Appl. Therm. Eng. 1996. Vl. 16. P. 359. https://doi.org/10.1016/1359-4311(95)00017-8
- Mota J.P.B., Saatdjian E., Tondeur D. et al. // Adsorption. 1995. V. 1. P. 17. https://doi.org/10.1007/BF00704143
- Vasiliev L.L., Kanonchik L.E., Tsitovich A.P. // Int. J. Therm. Sci.. 2017. V. 120. P. 252. https://doi.org/10.1016/j.ijthermalsci.2017.06.005
- Feroldi M., Neves A.C., Borba C.E. et al. // J. Clean. Prod. 2018. V. 172. P. 921. https://doi.org/10.1016/j.jclepro.2017.10.247
- Patil K.H., Sahoo S. // J. Nat. Gas Sci. Eng. 2018 V. 52. P. 267. https://doi.org/10.1016/j.jngse.2018.01.008
- Strizhenov E.M., Chugaev. S.S., Men’shchikov I.E. et al. // Nanomaterials. 2021. V. 11. 3274. https://doi.org/10.3390/nano11123274
- Mirzaei S., Shahsavand A., Ahmadpour A. et al. // Appl. Therm. Eng. 2022. V. 206. P. 118067. https://doi.org/10.1016/j.applthermaleng.2022.118067
- Strizhenov E.M., Chugaev S.S., Shelyakin I.D. et al. // Heat Mass Transf. 2022. https://doi.org/10.1007/s00231-022-03272-5
- Nie Z., Lin Y., Jin X. // Front. Mech. Eng. 2016. V. 11. P. 258. https://doi.org/10.1007/s11465-016-0381-2
- Bergna D., Hu T., Prokkola H. et al. // Waste & Biomass Valor. 2020 . V. 11. P. 2837. https://doi.org/10.1007/s12649-019-00584-2
- Aziz Md.A., Shah S.S., Abu Nayem S.M. et al. // J. Energy Storage. 2022. V. 50. P. 104278. https://doi.org/10.1016/j.est.2022.104278
- Men’shchikov I.E., Shkolin A.V., Khozina E.V. et al. // Nanomaterials. 2020. V. 10. P. 1379. https://doi.org/10.3390/nano10071379
- Мухин В.М., Тарасов А.В., Клушин В.Н. Активные угли России. М.: Металлургия, 2000. 352 с.
- Bell I.H., Wronski J., Quoilin S., et al. // Ind. Eng. Chem. Res.. 2014. V. 53. P. 2498.
- https://doi.org/10.1021/ie4033999 https://webbook.nist.gov/cgi/cbook.cgi?ID=C74828&Units=SI&Mask=4#Thermo-Phase. Дата обращения: 12 сентября 2022 г.
- Дубинин М.М., Радушкевич Л.В. // Доклады Академии Наук СССР. 1947. Т. LV. № 4. С. 331.
- Dubinin M.M. // Progr. Surf. Membr. Sci. 1975. V. 9. P. 1. https://doi.org/10.1016/B978-0-12-571809-7.50006-1
- Brunauer S., Emmett P.H., Teller E. // J. Am. Chem. Soc. 1938. V. 60. P. 309. https://doi.org/10.1021/ja01269a023
- Rouquerol J., Llewellyn P., Rouquerol F. // Stud. Surf. Sci. Catal. 2007. V. 160. P. 49. https://doi.org/10.1016/S0167-2991(07)80008-5
- Gregg S.J., Sing K.S.W. Adsorption, surface area, and porosity. London: Academic press (Inc), 1982, 303 p.
- Olivier J.P., Conklin W.B., Szombathely M.V. // Stud. Surf. Sci. Cat. 1994. V. 87. P. 81. https://doi.org/10.1016/S0167-2991(08)63067-0.
- ISO 787-11:1981. General methods of test for pigments and extenders. Part 11: Determination of tamped volume and apparent density after tamping.
- Школин А.В., Фомкин А.А. // Измер. Техника. 2018. Т. 61. С. 395. https://doi.org/10.1007/s11018-018-1440-3
- Школин А.В., Фомкин А.А., Меньщиков И.Е. и др. / Патент № 2732199 // Б.И. № 26, 2020.
- ГОСТ 34100.3-2017/ISO/IEC Guide 98-3:2008. Часть 3. Неопределенность измерения. Руководство по выражению неопределенности измерения. https://files.stroyinf.ru/Data/651/65118.pdf. Дата обращения: 18 июня 2020 г.
- Solovtsova O.V., Men’shchikov I.E., Shkolin A.V. et al. // Adsorpt. Sci. Techn. 2022. V. 2022. Article ID 4855466. https://doi.org/10.1155/2022/4855466
- Men’shchikov I.E., Shkolin A.V., Khozina E.V. et al. // Adsorption. 2023. V. 29. P. 255. https://doi.org/10.1007/s10450-023-00411-0
- Дубинин М.М., Астахов В.А. // Изв. АН. СССР. 1971. Т. 20. С. 5.
- Shkolin A.V., Men'shchikov I.E., Fomkin A.A. // Российские нанотехнологии. 2022. Т. 17. С. 858. https://doi.org/10.1134/S2635167622040231
- Школин А.В., Фомкин А.А., Меньщиков И.Е. и др. / Патент № 2766188 / Б.И. 4. 2022.
- Shkolin A.V., Men’shchikov I.E., Khozina E.V. et al. // Adsorption. 2023. V. 29. P. 237. https://doi.org/10.1007/s10450-022-00370-y
- Бакаев В.А. / Дис. ... д-ра хим. наук: 01.06.1989. М.: МГУ.
- Myers A.L. //AIChE Journal. 2002. V. 48. P. 145. https://doi.org/10.1002/aic.690480115
- Кутателадзе С.С., Боришанский В.М. Справочник по теплопередаче. / Л: Госэнергоиздат, 1959. С.414.
- Wiśniewska M., Nowicki P. // Colloid. Surf. A: Physicochem. Eng. Asp. 2020. V. 585. P. 124179. https://doi.org/10.1016/j.colsurfa.2019.124179
- Sutcu H. // Korean J. Chem. Eng. 2007. V. 24. P. 736. https://doi.org/10.1007/s11814-007-0035-5
- Uraki Y., Tamai Y., Ogawa M. // BioResources. 2009. V. 4. P. 205. https://doi.org/10.15376/biores.4.1.205-213
- Shiryaev A.A., Voloshchuk A.M., Volkov V.V. et al. // J. Phys. Conf. Ser. 2017. V. 848. P. 012009. https://doi.org/10.1088/1742-6596/848/1/012009
- Men’shchikov I., Shiryaev A., Shkolin A. et al. // Korean J. Chem. Eng. 2021 V. 38. P. 276. https://doi.org/10.1007/s11814-020-0683-2
- Shiryaev A.A., Pré P., Pardanaud C. et al. // Adsorption. 2023. V. 29. P. 275. https://doi.org/10.1007/s10450-023-00406-x
- Thommes M., Kaneko K., Neimark A.V. et al. // Pure Appl. Chem. 2015. V. 87. P. 1051. https://doi.org/10.1515/pac-2014-1117
- Меньщиков И.Е., Фомкин А.А., Школин А.В. и др. // Изв. АН. Сер. Хим. 2018. Т. 67. № 10. С. 1814. https://doi.org/10.1007/s11172-018-2294-1
- Школин А.В., Фомкин А.А., Цивадзе А.Ю. и др. // Физикохимия поверхности и защита материалов. 2016. Т. 52. № 6. С. 563.
- Policicchio A., Filosa R., Abate S. et al. // J. Porous. Mater. 2017. V. 24. P. 905. https://doi.org/10.1007/s10934-016-0330-9
- Shkolin A.V., Men’shchikov I.E., Khozina E.V. et al. // J. Chem. Eng. Data. 2022 V. 67. P. 1699. https://doi.org/10.1021/acs.jced.1c00904
- Casco E.M., Martínez-Escandell M., Gadea-Ramos E. // Chem. Mater. 2015. V. 27. P. 959. https://doi.org/10.1021/cm5042524
- Школин А.В., Фомкин А.А., Меньщиков И.Е. // Физикохимия поверхности и защита материалов. 2024. Т. 60. С. 18. https://doi.org/10.1134/S2070205124701417
- Folman M., Yates D.J.C. // Trans. Faraday Soc. 1958. V. 54. P. 429. https://doi.org/10.1039/TF9585400429
- Men’shchikov I.E., Shkolin A.V., Fomkin A.A. et al. // Adsorption. 2021. V. 27. P. 1095. https://doi.org/10.1007/s10450-021-00338-4
- Yakovlev V.Yu., Fomkin A.A., Tvardovski A.V. // J. Coll. Inter. Sci. 2003. V. 268. P. 33. https://doi.org/10.1016/S0021-9797(03)00696-9
- Shkolin A., Men’shchikov I., Khozina E. et al. // Colloids and Interfaces. 2023. V. 7. P. 46. https://doi.org/10.3390/colloids7020046
- Kim K.H., Kim M.H. // Sustainability. 2023. V. 15. P. 11574. https://doi.org/10.3390/su151511574
- Men’shchikov I., Shkolin A., Khozina E. et al. // Nanomaterials. 2021. V. 11. 971. https://doi.org/10.3390/nano11040971
- Пулин А.Л., Фомкин А.А., Синицын В.А. и др. // Изв. АН. Сер. Хим.. 2001. № 1. С.57. https://doi.org/10.1023/A:1009568916792
- Khamforoush M., Moosavi R., Hatami T. // J. Nat. Gas Sci. Eng. 2014. V. 20. P. 121. https://doi.org/10.1016/j.jngse.2014.06.009
Supplementary files

















