Гидрофобные покрытия на основе органоалкоксисиланов
- Авторы: Акулова В.М.1, Соломянский А.Е.1, Мельникова Г.Б.2, Гурина З.С.1, Агабеков В.Е.1
 - 
							Учреждения: 
							
- Институт химии новых материалов Национальной академии наук Беларуси
 - Институт тепло- и массообмена имени А.В. Лыкова Национальной академии наук Беларуси
 
 - Выпуск: Том 60, № 2 (2024)
 - Страницы: 130-135
 - Раздел: ФИЗИКО-ХИМИЧЕСКИЕ ПРОЦЕССЫ НА МЕЖФАЗНЫХ ГРАНИЦАХ
 - URL: https://bakhtiniada.ru/0044-1856/article/view/263474
 - DOI: https://doi.org/10.31857/S0044185624020025
 - EDN: https://elibrary.ru/NRHBYZ
 - ID: 263474
 
Цитировать
Полный текст
Аннотация
Изучены смачиваемость, трибологические и оптические свойства покрытий на основе олигомеров гексадецилтриметоксисилана, гептадекафтортетрагидродецилтриэтоксисилана (ГЕФС), сформированных на подложках из монокристаллического кремния, силикатного стекла, стали марки 12Х17 методом центрифугирования, а также на хлопчатобумажной и льняной тканях – пропиткой. Показано, что значения краевого угла смачивания водой данных покрытий превышает 100°. Установлено, что покрытия на основе олигомеров ГЕФС повышают светопропускание силикатного стекла в диапазоне длин волн от 450 до 700 нм и увеличивают износостойкость поверхностей – кремниевой в 50, стеклянной в 34 и стальной в 18 раз.
Полный текст
ВВЕДЕНИЕ
В настоящее время для защиты от влаги и загрязнений стекол транспортных средств, бетонных сооружений, металлических и полимерных изделий, а также одежды и обуви широко используются гидрофобные покрытия, характеризующиеся значениями краевого угла смачивания (КУС) водой равным и выше 90° [1, 2]. Для формирования таких покрытий на гладких и текстурированных поверхностях применяют различные методы: “dip-coating” (погружение), “spin-coating” (центрифугирование), адсорбции (самоорганизации) кремнийорганических соединений и фторполимеров из их растворов или паров [1–3]. На основе органохлор- и алкоксисиланов с алкил- и/или фторсодержащими заместителями можно создавать гидрофобные слои толщиной не более 10 нм с КУС водой в интервале 90–104° [1, 4–6], которые позволяют улучшить антифрикционные свойства прецизионных узлов трения и микроэлектромеханических систем [7]. Однако применение данных кремнийорганических соединений в качестве материала покрытий затруднено по причине их спонтанного гидролиза в процессе формирования слоев методами самоорганизации из растворов, погружения или центрифугирования, который приводит к уменьшению их стойкости к механическому воздействию и/или КУС водой [7–11]. В частности, показано, что гидрофобность слоев на основе смеси димеров и тримеров гептадекафтортетрагидродецилтриэтоксисилана (ГЕФС) и олигомеров гексадецилтриметоксисилана (ГЕМС) выше, чем у покрытий из ГЕФС и ГЕМС [7, 9, 11]. Цель данной работы — создание гидрофобных покрытий на основе олигомеров ГЕМС (о-ГЕМС) и ГЕФС (о-ГЕФС) на кремниевых, стеклянных, стальных поверхностях, а также хлопчатобумажной и льняной тканях.
Для получения тонких пленок на основе кремнийорганических соединений на твердой поверхности использовали метод центрифугирования, который позволяет оптимизировать скорость и время вращения, ускорение, и тем самым обеспечивает эффективное управление морфологией и толщиной слоев [12].
ЭКСПЕРИМЕНТАЛЬНАЯ ЧАСТЬ
Гидролиз ГЕМС осуществляли в гексане в присутствии соляной кислоты. В 10% раствор ГЕМС добавляли 200 мкл 1 М HCl и диспергировали полученную смесь в ультразвуковой ванне (Sonorex Bandelin, Германия) в течение 10 мин. Затем о-ГЕМС сушили при 160°С в течение 5 мин и растворяли фракцию димеров и тримеров ГЕМС в тетрагидрофуране. Гидролиз ГЕФС проводили в изопропиловом спирте с добавлением 50 мкл 25.0% водного раствора аммиака в 10 мл его 2.0% раствора в изопропаноле. Затем смесь диспергировали в ультразвуковой ванне (Сапфир, Россия) в течение 10 мин. Полученные о-ГЕФС сушили при давлении 10 мм рт. ст. в течение 36 ч и растворяли фракцию димеров и тримеров ГЕФС в гексафторбензоле (степень чистоты ≥99.0%, Sigma-Aldrich). Покрытия из о-ГЕМС и о-ГЕФС формировали на пластинах монокристаллического кремния, стали марки 12Х17 и силикатного стекла прямоугольной формы площадью 1.5 см2 методом центрифугирования [12] из их растворов концентрацией 20 и 25 мг/мл в тетрагидрофуране и гексафторбензоле соответственно на высокоскоростной центрифуге ЦВ 01/1 (НПО “Центр”, Беларусь). Предварительно кремниевые и стеклянные подложки гидрофилизировали в растворе “пираньи” (Н2О2 и Н2SO4 в соотношении 1 : 2.5 по объему) в течение 45 мин при температуре 50.0°С. Стальные пластины несколько раз промывали хлороформом. Скорость вращения подложек варьировали в диапазоне от 600 до 6000 об/мин для получения покрытий о-ГЕМС или о-ГЕФС различной толщины.
Гидрофобизацию лоскутов квадратной формы площадью 2 см2 хлопчатобумажной (х/б) и льняной тканей осуществляли, выдерживая их в соответствующих растворах о-ГЕМС или о-ГЕФС с концентрацией 20 мг/мл в течение 15 минут. Затем полученные образцы тканых материалов сушили при температуре 20°С в течение 30 минут.
Морфологию и шероховатость (Ra) покрытий на основе олигомеров ГЕМС и ГЕФС исследовали методом атомно-силовой микроскопии (АСМ) на приборе Nanoscope IIID (Veeco Instrument, США), используя кантилеверы с константой жесткостью 16 Н/м. Скорость сканирования составляла 3–5 Гц. Толщину слоев о-ГЕМС или о-ГЕФС оценивали, анализируя профиль сечения поверхности через искусственно созданный зондом микроскопа дефект в их структуре [13].
Краевой угол смачивания образцов измеряли методом “неподвижной” капли дистиллированной воды или гексадекана объемом 3 мкл на приборе DSA100E (Kruss, Германия) [13].
Спектры пропускания силикатного стекла до и после формирования на его поверхности покрытий о-ГЕМС или о-ГЕФС измеряли на спектрофотометре Maya2000 Pro (Ocean Optics, США) в диапазоне длин волн от 450 до 700 нм.
Триботехнические испытания образцов проводили на микротрибометре возвратно-поступательного типа при нормальной нагрузке 1.0 Н [13]. В качестве индентора использовали шарик диаметром 3.0 мм из стали марки 95Х18. Линейная скорость скольжения индентора 4.0 мм/с, длина его хода 3.0 мм, в цикле (в прямом и обратном направлениях) – 6 мм. Тестирование образцов прекращали при достижении значений коэффициента трения (kf) ~0.4 для покрытий о-ГЕМС или о-ГЕФС на кремниевых [14] и ~0.5 на стальных [15], стеклянных поверхностях [16].
РЕЗУЛЬТАТЫ И ИХ ОБСУЖДЕНИЕ
Значение КУС ≤ 5.0° гидрофильной кремниевой поверхности увеличивается до 106.8 ± 2.2° и 113.1 ± 1.2° после формирования на ней покрытий, толщиной 65.0 ± 15.0 нм из о-ГЕМС (табл. 1) и 120.0 ± 20.0 нм из о-ГЕФС (рис. 1а). При этом удаление материала данных покрытий из зоны контакта поверхностей и их повреждение в паре трения сталь 95Х18 (сфера) – кремний (плоскость) наблюдается после 57 ± 3 для o-ГЕМС (табл. 1) и 49 ± 5 циклов скольжения для o-ГЕФС (рис. 1б), а kf кремниевой поверхности уменьшается с 0.2 до 0.07. Увеличение толщины покрытий на основе олигомеров данных кремнийорганических соединений сопровождается ростом шероховатости и уменьшением их однородности. Так, значения Ra < 0.5 нм кремниевой поверхности увеличивается с 2.5 нм до 6.6 нм при изменении толщины слоя o-ГЕМС от 65.0 ± 15.0 нм до 230.0 ± 50.0 нм. Значение Ra покрытия о-ГЕФС также возрастает с 1.5 нм до 5.2 нм при увеличении его толщины от 120.0 ± 20.0 нм до 190.0 ± 30.0 нм.
Таблица 1. Толщина, значения КУС водой и трибологические свойства покрытий на основе о-ГЕМС
Подложка  | Толщина покрытия, нм  | КУС,°  | Количество циклов до удаления материала покрытия из зоны контакта поверхностей и их повреждения  | 
Кремниевая  | 0  | ≤ 5  | 1  | 
65.0 ± 15.0  | 106.8 ± 2.2  | 57 ± 3  | |
76.0 ± 20.0  | 104.6 ± 1.3  | 102 ± 15  | |
140.0 ± 20.0  | 105.5 ± 1.9  | 122 ± 21  | |
176.0 ± 38.0  | 100.2 ± 3.5  | 129 ± 15  | |
230.0 ± 50.0  | 100.3 ± 5.8  | 126 ± 54  | |
Стальная  | 0  | 82.0 ± 0.2  | 4  | 
41.0 ± 15.0  | 109.2 ± 1.8  | 41 ± 6  | |
66.0 ± 20.0  | 108.6 ± 1.4  | 53 ± 5  | |
124.0 ± 16.0  | 106.2 ± 2.4  | 87 ± 14  | |
142.0 ± 30.0  | 101.4 ± 1.2  | 116 ± 24  | |
164.0 ± 50.0  | 102.2 ± 4.2  | 93 ± 38  | |
Стеклянная  | 0  | 18.0 ± 1.0  | 2  | 
52.0 ± 10.0  | 107.1 ± 1.7  | 49 ± 4  | |
88.0 ± 23.0  | 105.7 ± 1.1  | 76 ± 8  | |
106.0 ± 29.0  | 104.2 ± 1.4  | 93 ± 11  | |
165.0 ± 15.0  | 102.5 ± 2.2  | 107 ± 14  | |
189.0 ± 22.0  | 103.6 ± 4.8  | 106 ± 22  | 
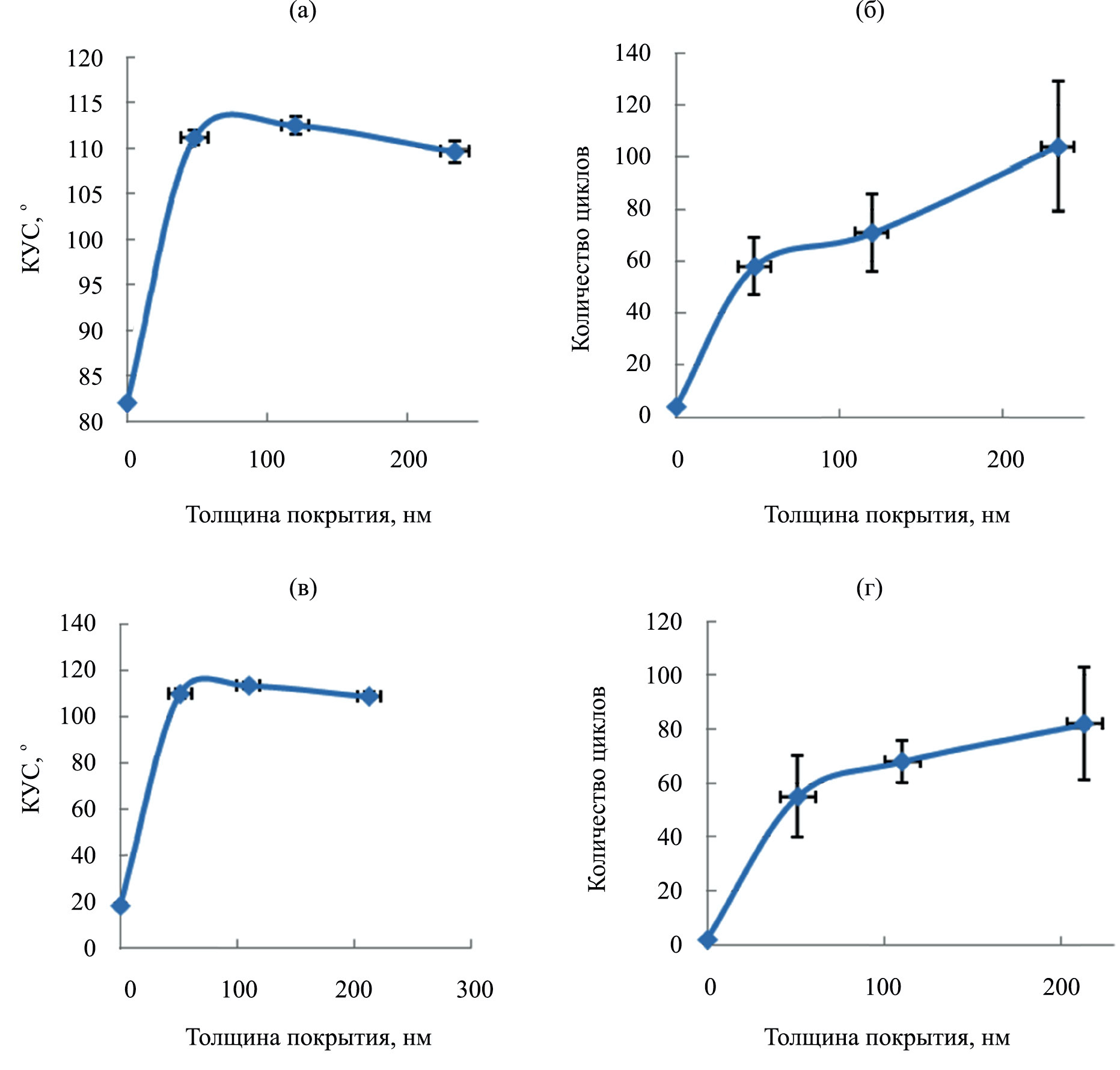
Рис. 1. Зависимость КУС (а) и количества циклов (б) от толщины покрытий на основе о-ГЕФС, сформированных на кремнии до удаления материала покрытия из зоны поверхностей и их повреждения.
Покрытия на основе о-ГЕМС в отличие от слоев из о-ГЕФС содержат в своей структуре агломераты олигомеров ГЕМС (рис. 2а), способствующие уменьшению значений их КУС по сравнению с КУС для о-ГЕФС [11].
Рис. 2. АСМ-изображения покрытий из о-ГЕМС с КУС водой 106.8 ± 2.2° (а) и о-ГЕФС с КУС водой 113.1 ± 1.2° (б), сформированных на кремнии.
Формирование покрытий на основе о-ГЕМС (табл. 1) или о-ГЕФС на стальных и стеклянных подложках (рис. 3) также позволяет придавать им гидрофобные свойства. Наибольшими значениями КУС, 112.5 ± 1.0° и 113.4 ± 1.6°, характеризуются покрытия из о-ГЕФС толщиной 120.0 ± 10.0 нм и 110.0 ± 10.0 нм, полученные на стали и стекле соответственно. Удаление материала данных покрытий из зоны контакта поверхностей и их повреждение в парах трения сталь 95Х18 (сфера) – сталь 12Х17, стекло (плоскость) наблюдается после 71 ± 15 циклов скольжения для o-ГЕФС на стали и 68 ± 8 циклов на стекле (рис. 3), а kf стеклянной и стальной поверхностей уменьшается с 0.2 до 0.08. Значения КУС покрытий из o-ГЕФС на стали толщиной 234.0 ± 10.0 нм и стекле 213.0 ± 10.0 нм составляют 109.6 ± 1.2° и 108.7 ± 1.8° соответственно, что также обусловлено ухудшением их однородности при увеличении толщины.
Рис. 3. Зависимость КУС (а, в) и количества циклов (б, г) от толщины покрытий на основе о-ГЕФС, сформированных на стали 12Х17 (а, б) и силикатном стекле (в, г) до удаления материала покрытия из зоны поверхностей и их повреждения.
Необходимо отметить, что формирование на поверхности силикатного стекла о-ГЕМС не оказывает существенного влияния, а о-ГЕФС увеличивает его светопропускание в диапазоне длин волн от 450 до 700 нм (рис. 4). В частности, покрытие из о-ГЕФС с наибольшим значением КУС водой на силикатном стекле повышает его светопропускание при длине волны 550 нм с 91.2 ± 0.2 % до 94.8 ± 0.1 % (рис. 4, кривая 3).
Рис. 4. Спектры пропускания силикатного стекла до (1) и после формирования на его поверхности покрытий о-ГЕМС (2) и о-ГЕФС (3).
Повышение пропускающей способности достигается благодаря покрытию из о-ГЕФС, которое уменьшает отражение и преломление света при его прохождении через силикатное стекло [17]. Значения КУС гексадеканом гидрофобных покрытий из о-ГЕМС и о-ГЕФС менее 40° и 80° соответственно, что указывает на отсутствие у них олеофобных свойств.
Пропитка изначально гидрофильных льняной и х/б тканей с КУС водой менее 5° о-ГЕМС или о-ГЕФС позволяет придавать им гидрофобные, а в случае с о-ГЕФС – и олеофобные свойства (табл. 2), обусловленные наличием в о-ГЕФС фторсодержащих радикалов [1].
Таблица 2. Значения КУС водой и гексадеканом тканых материалов, обработанных о-ГЕМС и о-ГЕФС
Ткань  | КУС водой,°  | КУС гексадеканом,°  | Количество вещества на материале, мг  | |||
о-ГЕФС  | о-ГЕМС  | о-ГЕФС  | о-ГЕМС  | о-ГЕФС  | о-ГЕМС  | |
х/б  | 136.4 ± 6.5  | 125.3 ± 1.7  | 125.0 ± 2.0  | <5  | 1.8 ± 0.5  | 9.5 ± 1.9  | 
льняная  | 138.6 ± 5.2  | 127.4 ± 5.4  | 124.0 ± 1.5  | <5  | 1.7 ± 0.5  | 17.5 ± 1.8  | 
ЗАКЛЮЧЕНИЕ
Показано, что формирование покрытий на основе o-ГЕМС и о-ГЕФС на подложках из монокристаллического кремния, силикатного стекла, стали марки 12Х17 и хлопчатобумажной, льняной тканях центрифугированием и пропиткой соответственно позволяет придавать им гидрофобные свойства. Значения КУС водой данных покрытий превышает 100°. Покрытия из о-ГЕФС, характеризующиеся КУС водой более 110°, увеличивают износостойкость кремниевой, стеклянной и стальной поверхностей в 50, 34 и 18 раз соответственно. Формирование на поверхности силикатного стекла покрытия о-ГЕФС увеличивает его светопропускание в диапазоне длин волн от 450 до 700 нм. Значения КУС водой и гексадеканом пропитанной о-ГЕФС льняной ткани составляют 138.6 ± 5.2°, 127.4 ± 5.4° соответственно. Разработанные гидрофобные покрытия на основе о-ГЕМС и о-ГЕФС могут быть использованы для увеличения сроков эксплуатации микроэлектромеханических и оптоэлектронных устройств, а также защиты поверхности текстильных, стеклянных и металлических изделий различного функционального назначения от влаги и органических загрязнений.
ФИНАНСИРОВАНИЕ
Работа выполнялась в соответствии с Договором с БРФФИ №Х23В-001.
Об авторах
В. М. Акулова
Институт химии новых материалов Национальной академии наук Беларуси
							Автор, ответственный за переписку.
							Email: myfavoritecheese@mail.ru
				                					                																			                												                	Белоруссия, 							Минск						
А. Е. Соломянский
Институт химии новых материалов Национальной академии наук Беларуси
														Email: myfavoritecheese@mail.ru
				                					                																			                												                	Белоруссия, 							Минск						
Г. Б. Мельникова
Институт тепло- и массообмена имени А.В. Лыкова Национальной академии наук Беларуси
														Email: myfavoritecheese@mail.ru
				                					                																			                												                	Белоруссия, 							Минск						
З. С. Гурина
Институт химии новых материалов Национальной академии наук Беларуси
														Email: myfavoritecheese@mail.ru
				                					                																			                												                	Белоруссия, 							Минск						
В. Е. Агабеков
Институт химии новых материалов Национальной академии наук Беларуси
														Email: myfavoritecheese@mail.ru
				                					                																			                												                	Белоруссия, 							Минск						
Список литературы
- Бойнович Л.Б., Емельяненко А.М. // Успехи химии. 2008. Т. 77. № 7. С. 619–638.
 - Jiang В., Li G.-J., Liu H.-Q. et al. // J. Iron Steel Res. Int. 2018. V. 25. P. 975–983.
 - Khan M.Z., Baheti V., Militky J. // J. Ind. Text. 2020. Vol. 50. № 4. P. 543–565.
 - Yuryevna L., Adikovna A. // IOP Conf. Ser.: Mater. Sci. Eng. 2020. V. 953. P. 1–8.
 - Venkata Jagadeesh R., Lakshminarayanan V. // J. Appl. Electrochem. 2020. V. 50. № 11. P. 1129–1138.
 - Li M., Su B., Zhou B. et al. // Appl. Surf. Sci. 2020. V. 508. P. 1–8.
 - Fan Z., Zhi C., Wu L. et al. // Coatings. 2019. V. 9. № 11. P. 1–10.
 - Kumar A., Gogoi B. // Tribol. Int. 2018. V. 122. P. 114–118.
 - Zhang L., Lin N., Zou J. et al. // Opt. Laser Technol. 2020. V. 127. P. 1–10.
 - Dhotel A., Xu Z., Delbreilh L. et al. // MATEC Web of Conferences. 2013. V. 3.
 - Akamatsu Y., Hamaguchi S. Water-repellent solution and method of forming water-repellent film on substrate by using the solution / P. US6235833. Publ. date: 22.05.2001.
 - Tyona M.D. // Advances in Materials Research. 2013. V. 2. №4. P. 195–208.
 - Akulova V., Salamianski A., Chishankov I., Agabekov V. // Soft Materials. 2022. V. 20. № 2. P. 161–167.
 - Salamianski A.E., Zhavnerko G.K., Agabekov V.E. // Surface and Coating Technology. 2013. V. 227. P. 62–64.
 - Sahoo R.R., Biswas S.K. // Journal of Colloid and Interface Science. 2009. V. 333. № 2. P. 707–718.
 - Zhang P., Xue Q., Du Z. et al. // Wear. 2000. V. 242. № 1–2. P. 147–151.
 - Matin A., Baig U., Akhtar S. et al. // Progress in Organic Coatings. 2019. V. 136. P. 105–192.
 
Дополнительные файлы
				
			
						
						
						
					
						
									






