Эффективный PtNi/унт катализатор для реакции окисления водорода в щелочном электролите
- Авторы: Богдановская В.А.1,2, Вернигор И.Е.1,2, Радина М.В.1, Синицын П.А.3, Андреев В.Н.1,2, Никольская Н.Ф.1
-
Учреждения:
- Институт физической химии и электрохимии им. А.Н. Фрумкина РАН
- Самарский национальный исследовательский университет им. академика С.П. Королева
- Сколковский институт науки и технологий
- Выпуск: Том 59, № 6 (2023)
- Страницы: 646-656
- Раздел: НАНОРАЗМЕРНЫЕ И НАНОСТРУКТУРИРОВАННЫЕ МАТЕРИАЛЫ И ПОКРЫТИЯ
- URL: https://bakhtiniada.ru/0044-1856/article/view/233789
- DOI: https://doi.org/10.31857/S0044185623700808
- EDN: https://elibrary.ru/AFPVYS
- ID: 233789
Цитировать
Полный текст
Аннотация
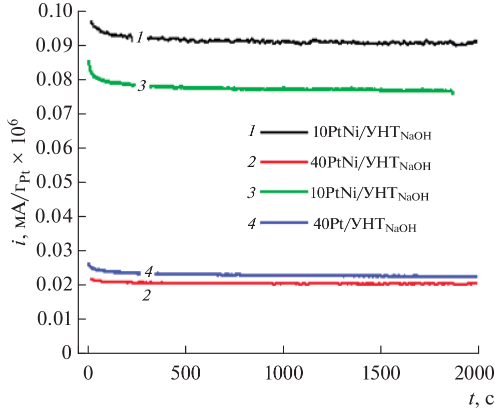
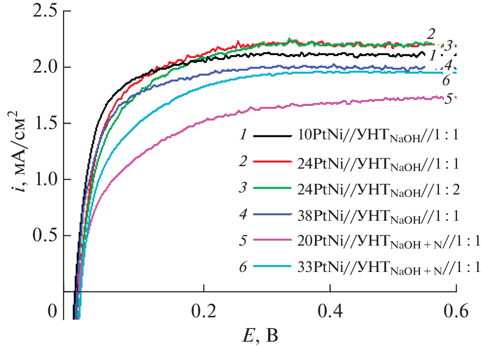
Синтезированы PtNi катализаторы на углеродных нанотрубках (УНТ), подвергнутых предварительной обработке, и исследованы в реакции окисления водорода (РОВ) в щелочном электролите. Проведено сопоставление структурно-морфологических и электрохимических характеристик моноплатинового (Pt/УНТ) и биметаллического (PtNi/УНТ) катализаторов в РОВ при равном содержании платины и одинаковых УНТ. Установлено, что катализаторы, синтезированные на функционализованных в щелочи нанотрубках (УНТNaOH) значительно превосходят по стабильности и активности в РОВ PtNi катализаторы, синтезированным на УНТ, допированных азотом и моноплатиновый катализатор. Наибольшую активность в РОВ проявляет катализатор PtNi/УНТNaOH с массовым содержанием платины 10%, при отношении Pt : Ni равном 1 : 1. Основными параметрами, обеспечивающими высокие характеристики биметаллической системы являются: наличие на УНТNaOH активных центров для закрепления металлической фазы, содержание платины на поверхности катализатора, соотношение металлов.
Об авторах
В. А. Богдановская
Институт физической химии и электрохимии им. А.Н. Фрумкина РАН; Самарский национальный исследовательский университет им. академика С.П. Королева
Email: bogd@elchem.ac.ru
Россия, 119071, Москва, Ленинский проспект, 31, корп. 4; Россия, 443086 , Самара, ул. Московское шоссе, 34
И. Е. Вернигор
Институт физической химии и электрохимии им. А.Н. Фрумкина РАН; Самарский национальный исследовательский университет им. академика С.П. Королева
Email: bogd@elchem.ac.ru
Россия, 119071, Москва, Ленинский проспект, 31, корп. 4; Россия, 443086 , Самара, ул. Московское шоссе, 34
М. В. Радина
Институт физической химии и электрохимии им. А.Н. Фрумкина РАН
Email: bogd@elchem.ac.ru
Россия, 119071, Москва, Ленинский проспект, 31, корп. 4
П. А. Синицын
Сколковский институт науки и технологий
Email: bogd@elchem.ac.ru
Россия, 121205, Москва, Большой бул., 30, стр. 1
В. Н. Андреев
Институт физической химии и электрохимии им. А.Н. Фрумкина РАН; Самарский национальный исследовательский университет им. академика С.П. Королева
Email: bogd@elchem.ac.ru
Россия, 119071, Москва, Ленинский проспект, 31, корп. 4; Россия, 443086 , Самара, ул. Московское шоссе, 34
Н. Ф. Никольская
Институт физической химии и электрохимии им. А.Н. Фрумкина РАН
Автор, ответственный за переписку.
Email: bogd@elchem.ac.ru
Россия, 119071, Москва, Ленинский проспект, 31, корп. 4
Список литературы
- Varcoe J.R., Atanassov P., Dekel D.R. et al. // Energy Environ. Sci. 2014. V. 7. P. 3135.
- Firouzjaie H.A., Mustain W.E. // ACS Catal. 2020. V. 10. P. 225
- Wang H., Wang R., Sui S. et al. // Automot. Innov. 2021. V. 4. P. 144.
- Talukder N., Wang Y., Nunna B.B. et al. // Catalysts. 2022. V. 12. P. 791.
- Shao Y., Dodelet J.-P., Wu G. et al. // Adv. Mater. 2019. V. 31. № 1807615.
- Hu C., Dai L. // Adv. Mater. 2019. V. 31. № 1804672.
- Zhang X., Zhang X., Zhao S. et al. // Electrochimica Acta. 2021. V. 370. № 137712.
- Vernigor I., Bogdanovskaya V., Radina M. et al. // Catalysts. 2023. V. 13. P. 161.
- Rheinlander P.J., Herranz J., Durst J. et al. // J. Electrochem. Soc. 2014. V. 161 P. 1448.
- Qiu Y., Xie X., Li W. et al. // Chinese J. Catalysis. 2021. V. 42. I. 12. P. 2094.
- Sheng W.C., Gasteiger H.A., Shao-Horn Y. // J. Electrochemical Society. 2010 V. 157. P. 1529.
- Durst J., Simon C., Hasche F., Gasteiger H. A. // J. Electrochemical Society. 2015. V. 162. P. 190.
- Hu J., Kuttiyiel K.A., Sasaki K. et al. // J. Electrochemical Society. 2018. V. 165. I. 15. P. 3355.
- Campos‑Roldán C.A., Alonso‑Vante N. // Electrochemical Energy Reviews. 2019. V. 2. № 2. P. 312.
- Cong Y., Yi B., Song Y. // Nano Energy. 2018. V. 44. P. 288.
- Wang Y., Wang G., Li G. et al. // Energy Environ. Sci. 2015. V. 8. P. 177.
- Li J., Ghoshal S., Bates M.K. et al. // Angew Chem Int. Ed. Engl. 2017 V. 56. I. 49. P. 15594.
- Lu S., Zhuang Z. // J. Am. Chem. Soc. 2017. V. 139. P. 5156.
- Sheng W., Bivens A.P., Myint M. et al. // Energy Environ. Sci. 2014. V. 7. P. 1719.
- Bakos I., Paszternák A., Zitoun D. // Electrochimica Acta. 2015. V. 176. P. 1074.
- Davydova E., Zaffran J., Dhaka K. et al. // Catalysts. 2018. V. 8. № 10. P. 454.
- Montserrat-Sisó G., Wickman B. // Electrochimica Acta. 2022. V. 420. P. 140425.
- Zhou Z., Liu Y., Zhang J. et al. // Electrochemistry Communications. 2020. V. 121. P. 106871.
- Богдановская В.А., Кузов А.В., Радина М.В. и др. // Электрохимия. 2020. Т. 56. С. 1083.
- Volfkovich Y.M., Sakars A.V., Volinsky A.A. // Int. J. Nanotechnol. 2005. V. 2. P. 292.
- Hussein L. // RSC Adv. 2016. V. 6. P. 13088.
- Bogdanovskaya V., Vernigor I., Radina M. et al. // Catalysts. 2021. V. 11. P. 1354.
- Bogdanovskaya V., Vernigor I., Radina M. et al. // Catalysts. 2023. V. 13. P. 161.
- Казаринов И.А., Волынский В.В., Клюев В.В. и др. // Электрохимическая энергетика. 2017. № 4. С. 173.
- Вольфкович Ю.М., Михалин А.А., Рычагов А.Ю. и др. // Электрохимия. 2020. Т. 56. С. 963.
Дополнительные файлы










