Термодинамика сорбции органических соединений сорбентами на основе супрамолекулярного жидкого кристалла ГПОФАБ и производных β-циклодекстрина в условиях газовой хроматографии
- Авторы: Кураева Ю.Г.1, Тугарева Д.А.1, Онучак Л.А.1, Капралова Т.С.1
-
Учреждения:
- Самарский национальный исследовательский университет имени академика С.П. Королева
- Выпуск: Том 59, № 6 (2023)
- Страницы: 593-601
- Раздел: МЕТОДЫ ИЗУЧЕНИЯ ФИЗИКО-ХИМИЧЕСКИХ СИСТЕМ
- URL: https://bakhtiniada.ru/0044-1856/article/view/233776
- DOI: https://doi.org/10.31857/S0044185623700742
- EDN: https://elibrary.ru/GXVWRA
- ID: 233776
Цитировать
Полный текст
Аннотация
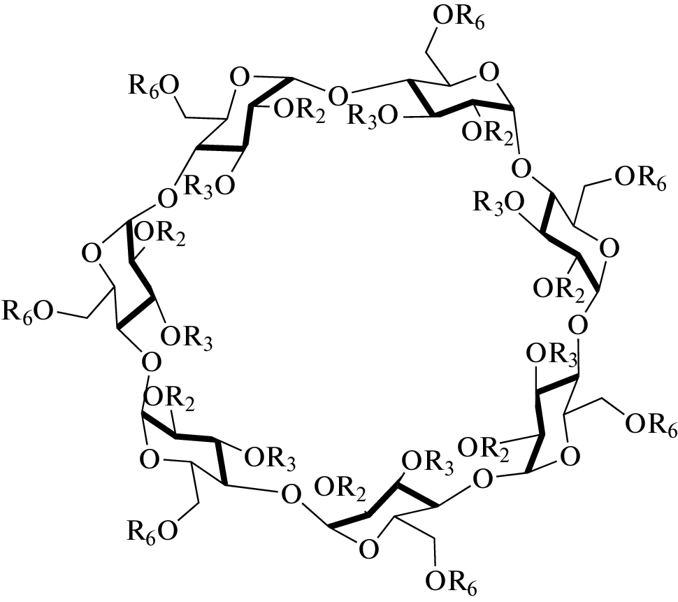
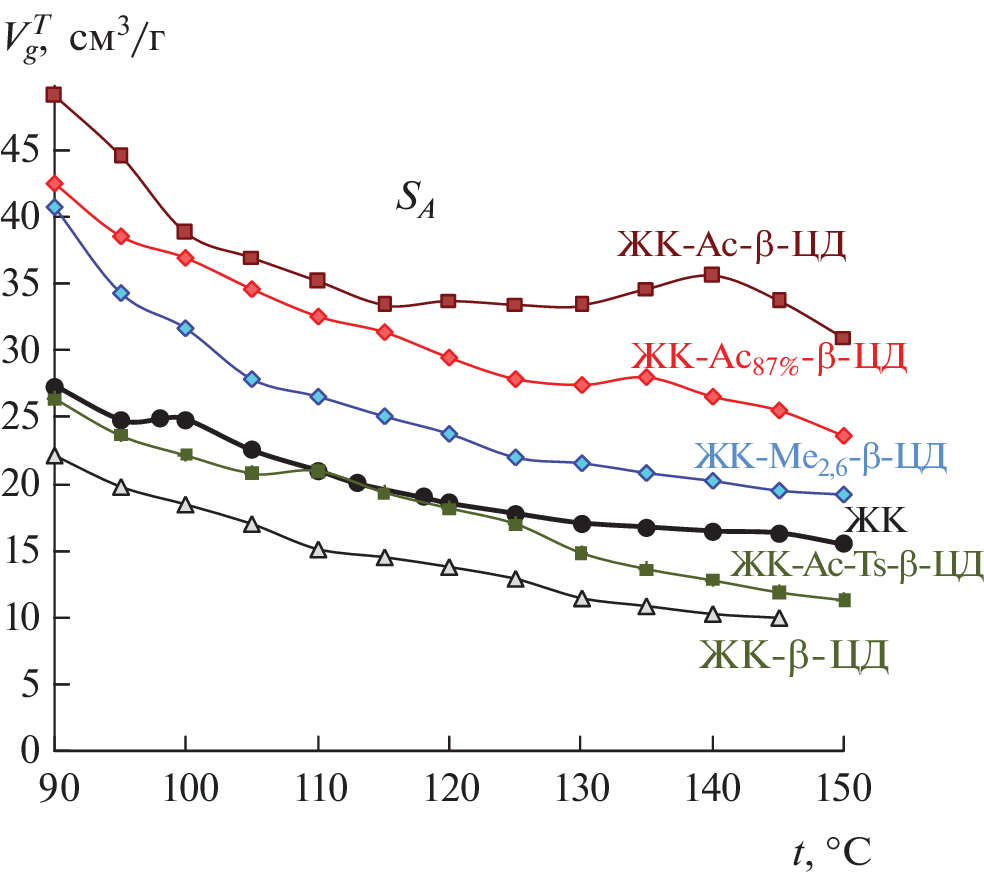
Методом газовой хроматографии изучено влияние природы заместителей в молекуле β-циклодекстрина (ЦД) на сорбционные свойства и возможность комплексообразования с макроциклом 26 органических соединений (углеводородов и спиртов) в бинарных сорбентах на основе смектико-нематического супрамолекулярного жидкого кристалла (ЖК) 4-(3-гидроксипропилокси)-4'-формилазобензола (ГПОФАБ) и четырех производных β-ЦД. Установлено, что природа заместителей в молекуле β-ЦД существенным образом влияет на проявление сольватационных взаимодействий между ЖК и макроциклической добавкой и, как следствие, на мезоморфные, сорбционные и селективные свойства исследованных композиционных сорбентов.
Об авторах
Ю. Г. Кураева
Самарский национальный исследовательский университет имени академика С.П. Королева
Email: kuraeva81@mail.ru
Россия, Самара
Д. А. Тугарева
Самарский национальный исследовательский университет имени академика С.П. Королева
Email: kuraeva81@mail.ru
Россия, Самара
Л. А. Онучак
Самарский национальный исследовательский университет имени академика С.П. Королева
Email: kuraeva81@mail.ru
Россия, Самара
Т. С. Капралова
Самарский национальный исследовательский университет имени академика С.П. Королева
Автор, ответственный за переписку.
Email: kuraeva81@mail.ru
Россия, Самара
Список литературы
- Grajek H., Witkiewicz Z., Purchała M., Drzewin’ski W. // Chromatographia. 2016. V. 79. P. 1217–1245.
- Ocak H., Mutlu-Yanic S., Cakar F., Bilgin-Eran B., Guzeller D., Karaman F., Cankurtaran O. // J. Molecular Liquids. 2016. V. 223. P. 861–867.
- Vaňkátová P., Kubíčková A., Kalíková K. // J. Chromatography A. 2022. V. 1673. P. 463074.
- Кувшинова С.А., Кувшинов Г.А., Койфман О.И. // Журн. аналит. химии. 2017. Т. 72. № 12. С. 1084–1092.
- Кувшинова С.А., Литов К.М., Кувшинов Г.В., Новиков И.В., Александрийский В.В., Бурмистров В.А., Койфман О.И. // Журн. общ. химии. 2016. Т. 86. № 7. С. 1156–1163.
- Кувшинов Г.В., Литов К.М., Кувшинова С.А., Койфман О.И. // Жидк. крист. и их практич. использ. 2017. Т. 17. № 2. С. 42–50.
- Онучак Л.А., Уколова Д.А., Бурматнова Т.С., Кураева Ю.Г., Кувшинова С.А., Бурмистров В.А., Степанова Р.Ф. // Журн. физ. химии. 2015. Т. 89. № 1. С. 121–128.
- Тугарёва Д.А., Онучак Л.А., Капралова Т.С., Кураева Ю.Г., Кувшинова С.А., Бурмистров В.А. // Жидк. крист. и их практич. использ. 2015. Т. 15. № 1. С. 81–90.
- Онучак Л.А., Тугарёва Д.А., Капралова Т.С., Кураева Ю.Г., Кувшинова С.А., Бурмистров В.А. // Физикохимия поверхности и защита материалов. 2015. Т. 51. № 6. С. 587–594.
- Тугарёва Д.А., Кураева Ю.Г., Онучак Л.А., Капралова Т.С., Кувшинова С.А., Бурмистров В.А. // Жидк. крист. и их практич. использ. 2016. Т. 16. № 2. С. 52–61.
- Бурмистров В.А., Кареев В.Ю., Корженевский А.Б., Койфман О.И. // Изв. вузов. Химия и хим. технология. 1986. Т. 29. № 4. С. 34–36.
- Кувшинова С.А., Завьялов А.В., Койфман О.И., Александрийский В.В., Бурмистров В.А. // Журн. орг. химии. 2004. Т. 40. № 8. С. 1161–1164.
- Кувшинова С.А., Бурмистров В.А., Фокин Д.С., Блохина С.В., Койфман О.И. // Журн. аналит. химии. 2009. Т. 64. № 5. С. 521–524.
- Кудряшов С.Ю., Арутюнов Ю.И., Онучак Л.А. // Журн. физ. химии. 2007. Т. 81. № 1. С. 107–112.
- Онучак Л.А., Кудряшов С.Ю., Арутюнов Ю.И., Даванков В.A. // Журн. физ. химии. 2006. Т. 80. № 8. С. 1493–1498.
Дополнительные файлы












