Synthesis and Study of Physicochemical Properties of Mesoporous Carbon Sorbent Modified with 3-Phenylpropane Acid
- 作者: Sedanova A.V.1, Pyanova L.G.1, Delyagina M.S.1, Kornienko N.V.1, Leontyeva N.N.1, Nesov S.N.2, Babenko A.V.1
 - 
							隶属关系: 
							
- Center for New Chemical Technologies, Boreskov Institute of Catalysis, Siberian Branch, Russian Academy of Sciences
 - Omsk State Technical University
 
 - 期: 卷 59, 编号 5 (2023)
 - 页面: 472-484
 - 栏目: ФИЗИКО-ХИМИЧЕСКИЕ ПРОЦЕССЫ НА МЕЖФАЗНЫХ ГРАНИЦАХ
 - URL: https://bakhtiniada.ru/0044-1856/article/view/139761
 - DOI: https://doi.org/10.31857/S0044185623700572
 - EDN: https://elibrary.ru/PROWOI
 - ID: 139761
 
如何引用文章
全文:
详细
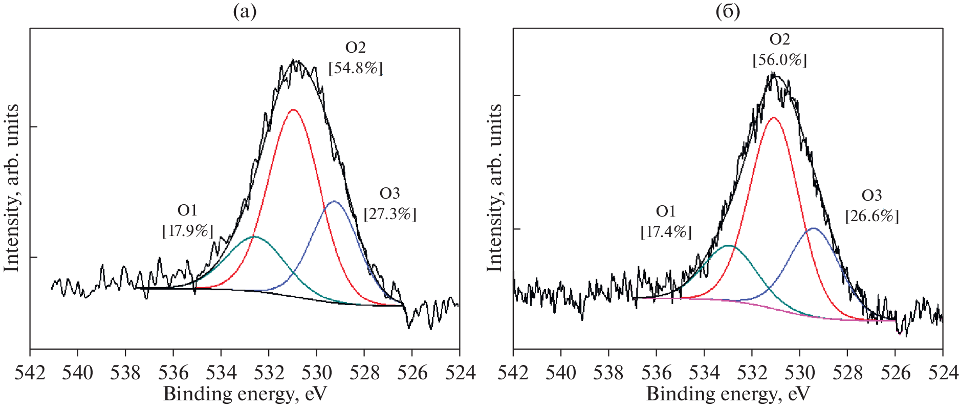
The adsorption of 3-phenylpropanoic acid on a mesoporous carbon sorbent was studied. The optimal ratio and equilibrium time in the sorbent–phenylpropanoic acid solution system were determined. A method for modifying a carbon sorbent with 3-phenylpropanoic acid has been developed. The possibility of migration (desorption) of the modifier into solutions simulating the environment of the stomach and intestines was investigated. The set of physicochemical research methods—low-temperature nitrogen adsorption, IR, NMR, X-ray photoelectron and Raman spectroscopy, spectrophotometry, the titrimetric method of H.P. Boehm, CHNOS elemental analysis—were used to study the properties of a carbon sorbent before and after modification, as well as after desorption of the deposited 3-phenylpropanoic acid. The synthesized modified samples are promising for use as enterosorbents for treating gastrointestinal diseases.
作者简介
A. Sedanova
Center for New Chemical Technologies, Boreskov Institute of Catalysis, Siberian Branch, Russian Academy of Sciences
														Email: medugli@ihcp.ru
				                					                																			                												                								644040, Omsk–40, Russia						
L. Pyanova
Center for New Chemical Technologies, Boreskov Institute of Catalysis, Siberian Branch, Russian Academy of Sciences
														Email: medugli@ihcp.ru
				                					                																			                												                								644040, Omsk–40, Russia						
M. Delyagina
Center for New Chemical Technologies, Boreskov Institute of Catalysis, Siberian Branch, Russian Academy of Sciences
														Email: medugli@ihcp.ru
				                					                																			                												                								644040, Omsk–40, Russia						
N. Kornienko
Center for New Chemical Technologies, Boreskov Institute of Catalysis, Siberian Branch, Russian Academy of Sciences
														Email: medugli@ihcp.ru
				                					                																			                												                								644040, Omsk–40, Russia						
N. Leontyeva
Center for New Chemical Technologies, Boreskov Institute of Catalysis, Siberian Branch, Russian Academy of Sciences
														Email: medugli@ihcp.ru
				                					                																			                												                								644040, Omsk–40, Russia						
S. Nesov
Omsk State Technical University
														Email: medugli@ihcp.ru
				                					                																			                												                								ul. Mira, 11, 644050, Omsk, Russia						
A. Babenko
Center for New Chemical Technologies, Boreskov Institute of Catalysis, Siberian Branch, Russian Academy of Sciences
							编辑信件的主要联系方式.
							Email: medugli@ihcp.ru
				                					                																			                												                								644040, Omsk–40, Russia						
参考
- Koh A., Vadder F. De, Kovatcheva-Datchary P., Bäckhed F. // Cell. 2016. V. 165. P. 1332–1345.
 - Kumar N., Goel N. // Biotechnol. Rep. 2019. V. 24. P. 00370–00380.
 - Beloborodova N.V., Moroz V.V., Osipov A.A. et al. // Biochemistry (Moscow). 2015. V. 80. P. 374–378.
 - Beloborodova N.V. // General Reanimatology. 2019. V. 15. № 6. P. 62–79.
 - Martínez-Oca P., Robles-Vera I., Sánchez-Roncero A. et al. // J. Nutr. Biochem. 2020. V. 81. P. 108383–108399.
 - Kirby T.O., Ochoa-Reparaz J., Roullet J-B., Gibson K.M. // Mol. Genet. Metab. 2021. V. 132. № 1. P. 1–10.
 - Pautova A.K., Sobolev P.D., Revelsky A.I. // Clin. Mass. Spectrom. 2019. V. 14. P. 46–53.
 - National Center for Biotechnology Information. “PubChem Compound Summary for CID 107, 3-Phenylpropionic acid” PubChem, https://pubchem.ncbi.nlm.nih.gov/compound/3-Phenylpropionic-acid. Accessed 11 January, 2023.
 - Cueva C., Moreno-Arribas M.V., Martín-Álvarez P.J. et al. // Res. Microbiol. 2010. V. 161. P. 372–382.
 - Lee I., Han M., Kim D., Yun B. // Bioorg. Med. Chem. Lett. 2014. V. 24. P. 3503–3505.
 - Gisbert-Garzarán M., Manzano M., Vallet-Regí M. // Bioeng. 2017. V. 4. P. 3–30.
 - Devnarain N., Osman N., Fasiku V.O. et al. // Rev. Nanomed. Nanobiotechnol. 2021. V. 13. P. 1664–1702.
 - Deirram N., Zhang C., Kermaniyan S.S. et al. // Macromol. Rapid Commun. 2019. V. 40. P. 1800917–1800940.
 - Dong P., Rakesh K.P., Manukumar H.M. et al. // Bioorg. Chem. 2019. 85. P. 325–336.
 - Miriyala N., Ouyang D., Perrie Y. et al. // Eur. J. Pharm. Biopharm. 2017. V. 115. P. 197–205.
 - Yadavalli T., Ames J., Agelidis A. et al. // Sci. Adv. 2019. V. 5. P. 1–12.
 - Mehra N.K., Palakurthi S. // Drug Discov. Today. 2016. V. 21. P. 585–597.
 - Falank C., Tasset A. W., Farrell M. et al. // Nanomedicine. 2019. V.20. P. 102025–102037.
 - Zhua S. // Aquac. 2019. V. 512. P. 734377–734386.
 - Muthoosamy K., Bai R.G., Manickam S. // Curr. Drug Deliv. 2014. V. 11. P. 701–718.
 - Campbell E., Hasan Md.T., Pho C. // Sci. Rep. 2019. V. 9. P. 416–425.
 - Kumar M., Raza K. // Pharm. Nanotechnol. 2017. V. 5. P. 169–179.
 - Grebinyk A., Prylutska S., Grebinyk S. // Nanoscale Res. Lett. 2019. V. 14. P. 61–71.
 - Thambiliyagodage C., Mirihana S., Gunathilaka H. // Biomed. J. Sci. Tech. Res. 2019. V. 22. P. 16905–16907.
 - Zhao Q., Lin Y., Han N. et al. // Drug Deliv. 2017. V. 24. P. 94–107.
 - Maiti D., Tong X., Mou X., Yang K. // Front. Pharmacol. 2019. V. 9. P. 1–16.
 - Guedidi H., Reinert L., Soneda Y. et al. // Arab. J. Chem. 2017. V. 10. P. 3584–3594.
 - P’yanova L.G., Likholobov V.A., Sedanova A.V., Drozdetskaya M.S. // Russ. J. Gen. Chem. 2020. V.90. № 3. P. 550–558.
 - Likholobov V.A., P’yanova L.G., Danilenko A.M. et al. // J. Fluor. Chem. 2019. V. 227. P. 109372–109383.
 - Sedanova A.V., P’yanova L.G., Delyagina M.S. et al. // Chem. for Sust. Develop. 2022. V. 30. P. 543–552.
 - Vezentsev A.I., Thuy D.M., Goldovskaya-Peristaya L.F., Glukhareva N.A. // Indones. J. Chem. 2018. V. 18. P. 733–741.
 - Alaqarbeh M.M. // RHAZES: Green and Applied Chemistry. 2021. V. 13. P. 43–51.
 - Giles C.H., MacEwan C.H., Nakhwa S.N., Smith D. // J. Chem. Soc. 1960. P. 3973–3993.
 - Popov A.Yu., Blinnikova Z.K., Tsyurupa M.P., Davankov V.A. // Sorbtsionnye I Khromatograficheskie Protsessy. 2017. V. 17. № 2. P. 183–190.
 - Eleftheriadis G.K., Filippousi M., Tsachouridou V. et al. // Int. J. Pharm. 2016. V. 515. P. 262–270.
 - Xu C., Shi X., Ji A. et al. // PLoS ONE. 2015. V. 15. P. 1–15.
 - Chen X., Wang X., Fang D. // Fuller. Nanotub. Car. N. 2020. V. 28. P. 1048–1058.
 - Yamada Y., Sato S. // Carbon. 2015. V. 269. P. 181–189.
 - Kovtun A., Jones D., Dell’Elce S. et al. // Carbon. 2019. V. 143. P. 268–275.
 - Bobenko N.G., Bolotov V.V., Egorushkin V.E. et al. // Carbon. 2019. V. 153. P. 40–51.
 - Sotoma S., Akagi K., Hosokawa S. et al. // RSC Adv. 2015. V. 5. P. 13818–13827.
 - Zhang L., Tu L., Liang Y. et al. // RSC Adv. 2018. V. 8. P. 42280–42291.
 - Ramenskaia G.V., Shokhin I.E., Savchenko A.Iu., Volkova E.A. // Biomed Khim. 2011. V. 57. № 5. P. 482–489.
 
补充文件
				
			
						
						
						
						
					
				













