On the Formation of Spectrally Selective Thermal Oxide Coatings on the Surface of Chromium Steel for Use in Solar-Energy Devices
- 作者: Kotenev V.A.1
 - 
							隶属关系: 
							
- Frumkin Institute of Physical Chemistry and Electrochemistry, Russian Academy of Sciences
 
 - 期: 卷 59, 编号 4 (2023)
 - 页面: 387-396
 - 栏目: НАНОРАЗМЕРНЫЕ И НАНОСТРУКТУРИРОВАННЫЕ МАТЕРИАЛЫ И ПОКРЫТИЯ
 - URL: https://bakhtiniada.ru/0044-1856/article/view/139720
 - DOI: https://doi.org/10.31857/S0044185623700468
 - EDN: https://elibrary.ru/VZELVO
 - ID: 139720
 
如何引用文章
全文:
详细
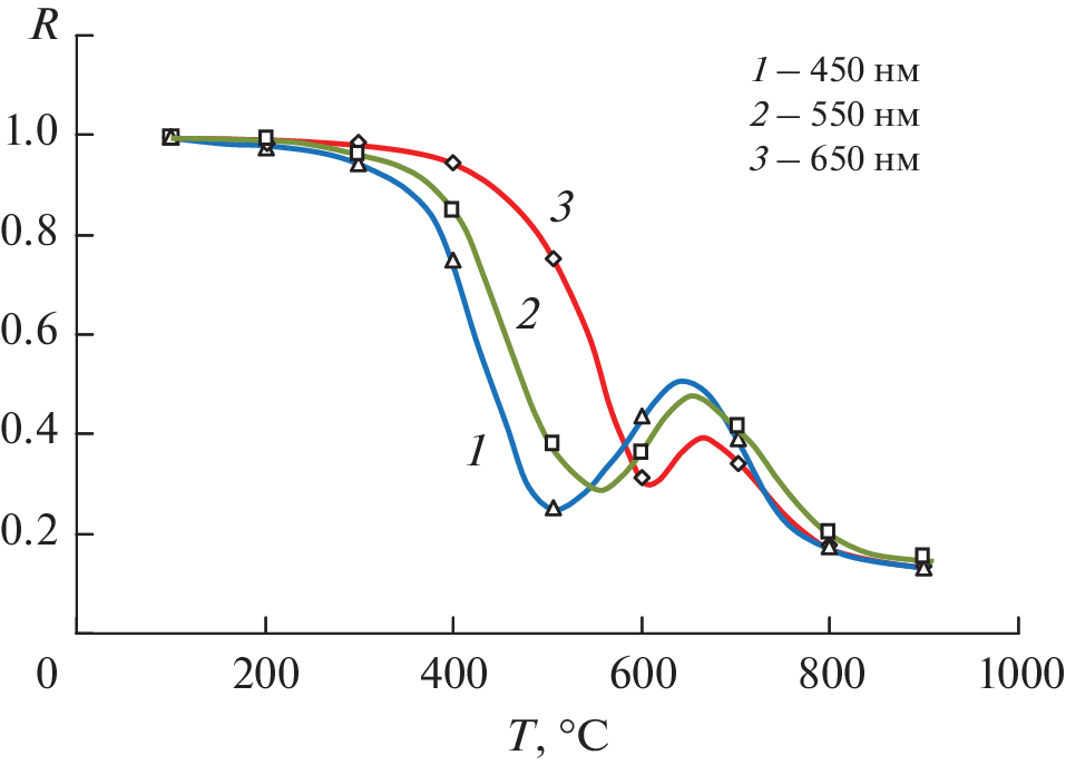
The formation process of spectrally selective coating–absorbers of optical radiation with a high absorption coefficient obtained by thermal oxidation of X18H10T high-chromium steel for 1 h in an air atmosphere at temperatures of 100–900°C has been studied. The composition of the films and their thickness were controlled using diffuse reflection Fourier transform IR spectroscopy and specular reflection spectral reflectometry. It is shown that thick oxide layers (up to 1400 A) with high absorption in a wide range of wavelengths of solar radiation are obtained by thermal oxidation of steel plates at 800–900°C. Unfortunately, thick porous coatings obtained by air oxidation of steel at high temperatures have low mechanical strength, and porous coatings can crack and crumble. Thinner oxide layers (400–800 A) with a low content of chromium oxides, formed during the oxidation of steel at 500–600°С, make it possible to obtain spectrally selective absorption sufficient for the operation of the corresponding optical radiation converters in the visible range. Such layers are much stronger, more compact, have a high optical quality and a multilayer and/or gradient structure, make it possible to form one- and two-layer interference coatings of the required thickness and composition, have high absorption and a pronounced photoelectric response in the spectral regions of visible solar radiation.
作者简介
V. Kotenev
Frumkin Institute of Physical Chemistry and Electrochemistry, Russian Academy of Sciences
							编辑信件的主要联系方式.
							Email: mmvp@bk.ru
				                					                																			                												                								119071, Moscow, Russia						
参考
- Kalogirou S.A. // Progress in Energy and Combustion Science. 2004. V. 30. № 3. P. 231–295.
 - Evangelisti Luca, De Lieto Vollaro Roberto, Asdrubali Francesco // Renewable and Sustainable Energy Reviews. 2019. V. 114. P. 109318.
 - Ghobadi B., Kowsary F., Veysi F. // Prot. Met. Phys. Chem. Surf. 2022. V. 58. P. 486–500.
 - Kennedy C.E. Review of mid-tohigh-temperature solar selective absorber materials. United States: National Renewable Energy Laboratory; 2002 NREL/TP-520-31267, July.
 - Boriskina S.V., Ghasemi H., Chen G. // Materials Today. 2013. V. 16. № 10. P. 375–386.
 - Iakobson O.D., Gribkova O.L., Tameev A.R. // Prot. Met. Phys. Chem. Surf. 2021. V. 57. P. 753–759.
 - Demirbilek N., Yakuphanoğlu F., Kaya M. // Prot. Met. Phys. Chem. Surf. 2021. V. 57. P. 488–499.
 - Medina-Almazán A.L., López-García N., Marín-Almazo M. et al. // Prot. Met. Phys. Chem. Surf. 2021. V. 57. P. 723–734.
 - López-Marino S. et al. // Sol. Energy Mater. Sol. Cells. 2014. V. 130. P. 347–353.
 - Zhorin V.A., Kiselev M.R., Vysotsky V.V. et al. // Prot. Met. Phys. Chem. Surf. 2021. V. 57. P. 52–58.
 - Kumar D., Singh A., Shinde V. et al. // Prot. Met. Phys. Chem. Surf. 2022. V. 58. P. 999–1010.
 - Zahra S.T., Syed W.A., Rafiq N. et al. // Prot. Met. Phys. Chem. Surf. 2021. V. 57. P. 321–328.
 - Roos A., Ribbing C.G., Carlsson B. // Solar Energy Materials. 1989. V. 18. № 5. P. 233–240.
 - Davison R.M., Ekerot S., Watanabe H. // J. Mol. Tech. 1978. V. 3. P. 2.
 - Edwards D.K., Gier J.T., Nelson K.E., Roddick R.D. // Solar Energy. 1962. V. 6. P. I.
 - Sharma V.C., Hutchins M.G. // Solar Energy. 1979. V. 23. P. 89.
 - Valkonen E., Karlsson B. // Solar Energy Materials. 1982. V. 7. P. 43–50.
 - Котенев В.А., Зимина Т.Ю. // Защита металлов. 2002. Т. 38(6). С. 640–644.
 - Мровец С., Вербер Т. Современные жаростойкие материалы. Справочник. М.: Металлургия, 1986. 360 с.
 - Yen S.K., Tsai Y.C. // J. Electrochem. Soc. 1996. V. 143. № 8. P. 2493.
 - Kotenev V.A. // Prot. Met. Phys. Chem. Surf. 2021. V. 57. P. 1150–1158.
 - Kotenev V.A. // Prot. Met. Phys. Chem. Surf. 2021. V. 57. P. 1097–1104.
 - Tyurin D.N., Kotenev V.A. // Measurement Techniques. 2022. V. 65. P. 608–613.
 - Беннет Х.Е., Беннет Дж.М. Прецизионные измерения в оптике тонких пленок – в сб.: Физика тонких пленок. Под ред. Хасса Г., Туна Р.Э. М.: Мир, 1970. Т. 4. С. 7.
 - Прикладная инфракрасная спектроскопия – Под ред. Кендалла Д. М.: Мир, 1970. 376 с.
 - Azzam R.M.A., Bashara N.M. Ellipsometry and Polarized Light. North-Holland. Amsterdam. 1977.
 - Azzam R.M.A., Kemp R.H., Jr. // Surf. Sci. 1983. V. 135. № 1. P. 261–275.
 - Kotenev V.A. // Ellipsometric tomography. Proc. SPIE. 1992. V. 1843. P .259.
 - Abeles F. // Ann. de Physique. 1950. V. 5. P. 596, 706.
 - Борн М., Вольф Э. Основы оптики. М.: Наука. 1973. С. 66. (M. Born, E. Wolf. Principles of optics. Oxford: Pergamon Press. 1968.)
 - Котенев В.А. // Микроэлектроника. 2002. Т. 31(6). С. 466–478.
 - Poling G.W. // J. Electrochem Soc. 1969. V. 116. № 7. P. 958.
 - Юрченко Э.Н., Кустова Г.Н., Бацанов С.С. Колебательные спектры неорганических соединений. Изд-во Наука. Сиб. Отд., Новосибирск, 1981, 145 с.
 - Ottesen D.R. // J. Electrochem. Soc. Solid State Science and Technology. 1985. V. 132. № 9. P. 2250.
 - The Sadtler Standard Spectra. Sadtler Res. La, US A, 1969.
 - Dvoraic V., Teitknecht W. // Helv. Chim. Acta. 1969. V. 52. № 2. P. 575.
 - Mertens P.P. // National Association of Corrosion Engineers. 1978. V. 34. № 10. P. 359.
 - Tanaka T. // Jap. J. Applied Physics. 1979. V. 18. № 6. P. 1043.
 - Idczak E., Oleszkiewicz E. // Thin Solid Films. 1981. V. 77. № 4. P. 301.
 - Винчелл А.Н., Винчелл Г.В. // Оптические свойства искуственных минералов. М.: Мир. 1967. С. 98
 - Шумская Н.И. Определитель рудных минералов по спектральным кривым отражения. Л.: Недра. 1985.
 - Окисление металлов. Под ред. Бенара Ж. М.: Металлургия. 1968. Т. 2. 448 с. (Oxydation des Metaux. Sous la direction de Benard J. Paris: Gauthier-Villars. 1962. V. 2).
 - Whittle P.D., Wood G.C. // J. Electrochem. Soc. 1968. V. 115. № 2. P. 133–142.
 - Wallworth G.R. // Rep. Prog. Phys. 1976. V. 39. P. 401–485.
 
补充文件
				
			
						
						
						
						
					
				









