Сорбционные свойства свежеосажденного гидроксида железа(III) в отношении ионов никеля. Часть 2. Структура и состав осадков гидроксида железа(III)
- Авторы: Линников О.Д.1, Тютюнник А.П.1, Голобородский Б.Ю.2, Гермов А.Ю.2, Кузнецова Ю.В.1, Бакланова И.В.1, Михалев К.Н.2, Захарова Г.С.1, Родина И.В.1, Фаттахова З.А.1
-
Учреждения:
- ФГБУН Институт химии твердого тела УрО РАН (ИХТТ УрО РАН)
- ФГБУН Институт физики металлов им. М.Н. Михеева УрО РАН (ИФМ УрО РАН)
- Выпуск: Том 59, № 1 (2023)
- Страницы: 28-35
- Раздел: ФИЗИКО-ХИМИЧЕСКИЕ ПРОЦЕССЫ НА МЕЖФАЗНЫХ ГРАНИЦАХ
- URL: https://bakhtiniada.ru/0044-1856/article/view/139700
- DOI: https://doi.org/10.31857/S0044185622060110
- EDN: https://elibrary.ru/BVRRSP
- ID: 139700
Цитировать
Полный текст
Аннотация
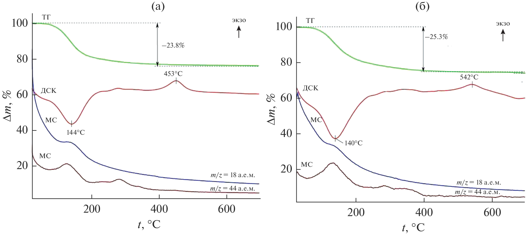
Проведен сравнительный анализ состава и структуры свежеосажденных осадков гидроксида железа(III), полученных из раствора сульфата натрия (400 мг/л) при рН 7 и 8 до и после сорбции на них ионов никеля. Методами ИК-, КР- и мессбауэровской спектроскопии, а также рентгенофазового и термического анализов показано, что осадки, полученные из раствора хлорида железа(III) представляют собой двухлинейчатый ферригидрит с брутто-формулой Fe2O3⋅3H2O. Установлено, что сорбция на этих осадках ионов никеля не сопровождается хемосорбцией, т.е. образованием смешанных соединений между железом и никелем. Не происходит также их легирование ионами никеля. Найдено, что дзета-потенциал частиц осадков ферригидрита при рН < 5.4 имеет положительное значение, а при рН > 5.4 становится отрицательным. Точка нулевого заряда частиц осадков соответствует рН 5.4.
Об авторах
О. Д. Линников
ФГБУН Институт химии твердого тела УрО РАН (ИХТТ УрО РАН)
Email: linnikov@mail.ru
Россия, 620990, Екатеринбург, ул. Первомайская, 91
А. П. Тютюнник
ФГБУН Институт химии твердого тела УрО РАН (ИХТТ УрО РАН)
Email: linnikov@mail.ru
Россия, 620990, Екатеринбург, ул. Первомайская, 91
Б. Ю. Голобородский
ФГБУН Институт физики металлов им. М.Н. Михеева УрО РАН (ИФМ УрО РАН)
Email: linnikov@mail.ru
Россия, 620108, Екатеринбург, ул. Софьи Ковалевской, 18
А. Ю. Гермов
ФГБУН Институт физики металлов им. М.Н. Михеева УрО РАН (ИФМ УрО РАН)
Email: linnikov@mail.ru
Россия, 620108, Екатеринбург, ул. Софьи Ковалевской, 18
Ю. В. Кузнецова
ФГБУН Институт химии твердого тела УрО РАН (ИХТТ УрО РАН)
Email: linnikov@mail.ru
Россия, 620990, Екатеринбург, ул. Первомайская, 91
И. В. Бакланова
ФГБУН Институт химии твердого тела УрО РАН (ИХТТ УрО РАН)
Email: linnikov@mail.ru
Россия, 620990, Екатеринбург, ул. Первомайская, 91
К. Н. Михалев
ФГБУН Институт физики металлов им. М.Н. Михеева УрО РАН (ИФМ УрО РАН)
Email: linnikov@mail.ru
Россия, 620108, Екатеринбург, ул. Софьи Ковалевской, 18
Г. С. Захарова
ФГБУН Институт химии твердого тела УрО РАН (ИХТТ УрО РАН)
Email: linnikov@mail.ru
Россия, 620990, Екатеринбург, ул. Первомайская, 91
И. В. Родина
ФГБУН Институт химии твердого тела УрО РАН (ИХТТ УрО РАН)
Email: linnikov@mail.ru
Россия, 620990, Екатеринбург, ул. Первомайская, 91
З. А. Фаттахова
ФГБУН Институт химии твердого тела УрО РАН (ИХТТ УрО РАН)
Автор, ответственный за переписку.
Email: linnikov@mail.ru
Россия, 620990, Екатеринбург, ул. Первомайская, 91
Список литературы
- Бабенков Е.Д. Очистка воды коагулянтами. М.: Наука, 1977. 356 с.
- Егоров Ю.В. Статистика сорбции микрокомпонентов оксигидратами. М.: Атомиздат. 1975. 200 с.
- Печенюк С.И. // Успехи химии. 1992. Т. 61. В. 4. С. 711–733.
- Yang R., Tao J., Huang Q., Tie B., Lei M., Yang Y., Du H. // J. Soil and Sediments. 2019. V. 19. P. 1319–1327. https://doi.org/10.1007/s11368-018-2140-y
- Liu J., Zhu R., Ma L., Fu H., Lin X., Parker S.C., Molinari M. // Geoderma. 2021. V. 383. P. 114799. https://doi.org/10.1016/j.geoderma.2020.114799
- Мелихов И.В., Комаров В.Ф., Назирмадов Б. // Журн. физической химии. 1986. Т. 60. № 7. С. 1653–1657.
- Чалый В.П. Гидроокиси металлов. Киев: Наукова думка, 1972. 158 с.
- Клещев Д.Г., Шейкман А.И., Плетнев Р.Н. Влияние среды на фазовые и химические превращения в дисперсных системах. Свердловск. УрО АН СССР. 1990. 246 с.
- Jambor J.L., Dutrizac J.E. // Chem. Rev. 1998. V. 98. № 7. P. 2549–2585.
- Печенюк С.И., Рогачев Д.Л., Касиков А.Г., Попова Р.А., Залкинд О.А., Кузьмич Л.Ф. // Журн. неорганической химии. 1985. Т. 30. № 2. С. 311–316.
- Cornell R.M., Giovanoli R., Schneider W. // J. Chem. Technol. Biotechnol. 1989. V. 46. № 2. P. 115–134.
- Чухров Ф.В., Звягин Б.Б., Горшков А.И., Пермилова Л.П., Балашова В.В. // Известия Академии наук СССР. Серия геологическая. 1973. № 4. С. 23–33.
- Masina C.J., Neethling J.H., Oliver E.J., Ferg E., Manzini S., Lodya L., Mohlala P., Ngobeni M.W. // Thermochimica Acta. 2015. V. 599. P. 73–83. https://doi.org/10.1016/j.tca.2014.11.018
- Drits V.A., Sakharov B.A., Salyn A.L., Manceau A. // Clay Miner. 1993. V. 28. P. 185–207.
- Линников О.Д., Родина И.В. // Физикохимия поверхности и защита материалов. 2022. Т.58. N 6. С. 574–582.
- Линников О.Д. // Физикохимия поверхности и защита материалов. 2021. Т. 57. № 2. С. 115–140. https://doi.org/10.31857/S0044185621020078
- Столяр С.В., Ярославцев Р.Н., Исхаков Р.С., Баюков О.А., Балаев Д.А., Дубровский А.А., Красиков А.А., Ладыгина В.П., Воротынов А.М., Волочаев М.Н. // Физика твердого тела. 2017. Т. 59. В. 3. С. 538–545.
- Hanesch M. // Geophysical Journal International. 2009. V. 177. P. 941–948. https://doi.org/10.1111/j.1365-246X.2009.04122.x
- de Faria D.L., Venâncio Silva S., and de Oliveira M.T. // Journal of raman spectroscopy. 1997. V. 28. P. 873–878.
- Villalobos M., Antelo J. // Re. Int. Contam. Ambie. 2011. V. 27. № 2. P. 139–151.
Дополнительные файлы










