Increasing the Adsorption Activity of Natural Aluminosilicate by Modification with Hydrochloric Acid and Organosilicon Thiosemicarbazide
- Authors: Filatova E.G.1, Chugunov A.D.1, Pozhidaev Y.N.1, Oborina E.N.2, Ushakov I.A.2, Adamovich S.N.2
-
Affiliations:
- Irkutsk National Research Technical University, 664074, Irkutsk, Russia
- Favorsky Irkutsk Institute of Chemistry, Siberian Branch, Russian Academy of Sciences, 664033, Irkutsk, Russia
- Issue: Vol 59, No 1 (2023)
- Pages: 10-16
- Section: ФИЗИКО-ХИМИЧЕСКИЕ ПРОЦЕССЫ НА МЕЖФАЗНЫХ ГРАНИЦАХ
- URL: https://bakhtiniada.ru/0044-1856/article/view/139694
- DOI: https://doi.org/10.31857/S0044185622700097
- EDN: https://elibrary.ru/CIXLKY
- ID: 139694
Cite item
Full Text
Abstract
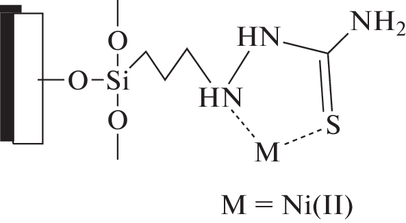
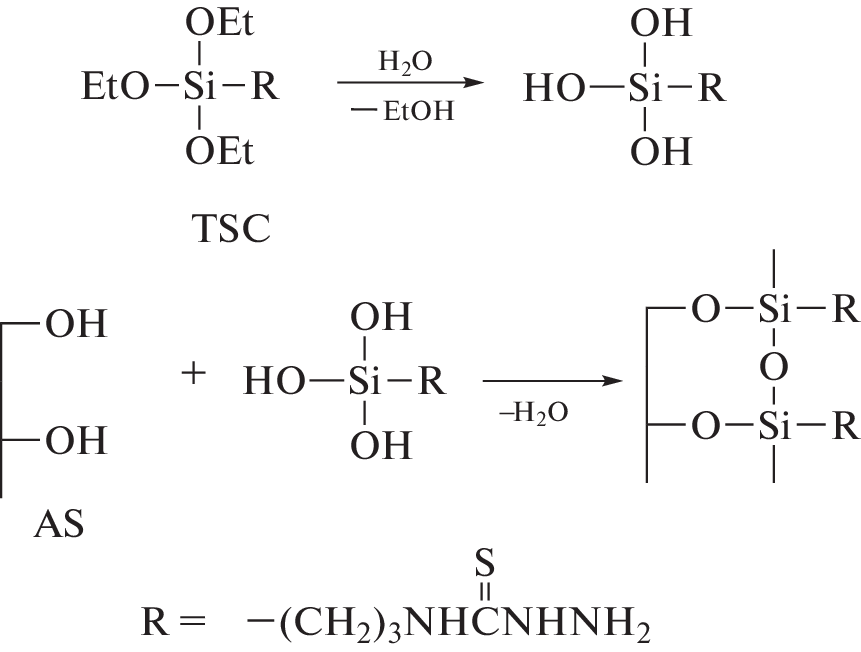
The adsorption of nickel(II) ions by natural aluminosilicate modified with hydrochloric acid followed by immobilization of 1-(3-triethoxysilylpropyl)thiosemicarbazide (TSC) has been studied. The AS–HCl–TSC Series of adsorbents was obtained by treating AS–HCl with solutions TSC with a concentration of 0.5, 1.0, 1.8, 3.5, 4.5, 5.8 wt %. The adsorption capacity of the obtained samples was studied in relation to nickel(II) ions. The highest adsorption of nickel(II) ions, 165.7 mg/g, corresponds to the sample treated with a solution containing 1% TSC. A subsequent increase in the concentration of the modifier leads to a decrease in the amount of adsorption. It can be assumed that with an increase in the concentration of the modifier, the support surface is covered with a denser TSC layer. In this case, the internal volume of the carrier does not participate in exchange processes, which, in turn, contributes to a decrease in the adsorption value with an increase in the concentration of the modifier. The adsorption equilibrium corresponding to the constancy of the composition of the concentrations of metal ions in the adsorbate–aluminosilicate AS–HCl–TSC system was 90 min. For the AS–HCl–TSC adsorbents obtained, the adsorption kinetics of nickel(II) ions was studied. Kinetic equations of pseudofirst and pseudosecond orders are obtained. The values of the determination coefficients (0.98–0.99) indicate that the adsorption of nickel(II) ions by the AS–HCl–TSC adsorbent can be described by a pseudo-second-order equation. At concentration 1% TSC modifier, the initial adsorption rate of nickel(II) ions was 0.121 mmol/(g min). In this case, the value of the adsorption-rate constant is 0.082 g/(mmol min). For AS, AS–HCl, AS–TSC, and AS–HCl–TSC samples, the adsorption capacity was 5.9 mg/g (0.10 mmol/g), 11.6 mg/g (0.20 mmol/g), 16.6 mg/g (0.28 mmol/g), and 165.7 mg/g (2.8 mmol/g), respectively.
About the authors
E. G. Filatova
Irkutsk National Research Technical University, 664074, Irkutsk, Russia
Email: efila@list.ru
Россия, 664074, Иркутск, ул. Лермонтова, 83
A. D. Chugunov
Irkutsk National Research Technical University, 664074, Irkutsk, Russia
Email: efila@list.ru
Россия, 664074, Иркутск, ул. Лермонтова, 83
Yu. N. Pozhidaev
Irkutsk National Research Technical University, 664074, Irkutsk, Russia
Email: efila@list.ru
Россия, 664074, Иркутск, ул. Лермонтова, 83
E. N. Oborina
Favorsky Irkutsk Institute of Chemistry, Siberian Branch, Russian Academy of Sciences, 664033, Irkutsk, Russia
Email: efila@list.ru
Россия, 664033, Иркутск, ул. Фаворского, 1
I. A. Ushakov
Favorsky Irkutsk Institute of Chemistry, Siberian Branch, Russian Academy of Sciences, 664033, Irkutsk, Russia
Email: efila@list.ru
Россия, 664033, Иркутск, ул. Фаворского, 1
S. N. Adamovich
Favorsky Irkutsk Institute of Chemistry, Siberian Branch, Russian Academy of Sciences, 664033, Irkutsk, Russia
Author for correspondence.
Email: efila@list.ru
Россия, 664033, Иркутск, ул. Фаворского, 1
References
- Wang S., Peng Y. // Chemical Engineering Journal. 2010. V. 156. № 1. P. 11–24.
- Irannajad M., Kamran Haghighi H. // Environmental Processes. 2020. V. 8. № 1. P. 1–29.
- Malamis S., Katsou E. // J. hazardous materials. 2013. V. 252. P. 428–461.
- Bacakova L., Vandrovcova M., Kopova I., Jirka I. // Biomaterials Science. 2018. V. 6. P. 974–989.
- Jiang N., Shang R., Heijman S.G.J., Rietveld L.K. // Water Research. 2018. V. 144. P. 145–161.
- Ghasemi Z., Sourinejad I., Kazemian H., Rohani S. // Reviews in Aquaculture. 2018. V. 10. № 1. P. 75–95.
- Reeve P.J., Fallowfield H.J. // J. Environmental Management. 2018. V. 205. P. 253–261.
- Corda N., Srinivas Kini M. // Separation Science and Technology. 2020. V. 55. № 15. P. 2679–2698.
- Yuna Z. // Environmental Engineering Science. 2016. V. 33. № 7. P. 443–454.
- Prabhu P.P., Prabhu B.A. // International Conference on Research in Mechanical Engineering Sciences. 2018. V. 144. https://doi.org/10.1051/matecconf/201814402021
- Vengris T., Binkiene R., Sveikauskaite A. // Applied Clay Science. 2001. V. 18. № 3–4. P. 183–190.
- Wahono S.K., Stalin J., Addai-Mensah J., Skinner W., Vinu A., Vasilev K. // Microporous and Mesoporous Materials. 2020. V. 294. P. 109871.
- Binabaj M., Nowee S.M., Ramezanian N. // International J. Environmental Science and Technology. 2017. V. 15. № 7. P. 1509–1520.
- Wamba A.G.N., Kofa G.P., Koungou S.N., Thue P.S., Lima E.C., Dos Reis G.S., Kayem J.G. // J. Environmental Chemical Engineering. 2018. V. 6. № 2. P. 3192–3203.
- Филатова Е.Г., Помазкина О.И., Пожидаев Ю.Н. // Физикохимия поверхности и защита материалов. 2017. Т. 53. № 6. С. 596–601.
- Филатова Е.Г., Пожидаев Ю.Н., Помазкина О.И. // Физикохимия поверхности и защита материалов. 2016. Т. 52. № 3. С. 285–289.
- Adamovich S.N., Filatova E.G., Pozhidaev Yu.N., Ushakov I.A., AlChugunov A.D., Oborinaa E.N., Rozentsveig I.B., Verpoort F. // J. Taiwan Institute of Chemical Engineers. 2021. V. 129. P. 396–409.
- Филатова Е.Г., Пожидаев Ю.Н., Помазкина О.И. // Физикохимия поверхности и защита материалов. 2020. Т. 56. № 5. С. 479–484.
- Брек Д. Цеолитовые молекулярные сита. М.: Мир, 1976. 782 с.
- Власова Н.Н., Оборина Е.Н., Белоусова Л.И., Ларина Л.И. // Физикохимия поверхности и защита материалов. 2018. Т. 54. № 1. С. 78–84.
- Хальченко И.Г., Шапкин Н.П., Свистунова И.В., Токарь Э.А. // Бутлеровские сообщения. 2015. Т. 41. № 1. С. 74–82.
- Лурье Ю.Ю., Рыбникова А.И. Химический анализ производственных сточных вод. М.: Химия, 1974. 336 с.
- Марченко. З. Фотометрическое определение элементов. М.: Мир, 1971. 502 с.
- Филатова Е.Г., Помазкина О.И., Пожидаев Ю.Н. // Физикохимия поверхности и защита материалов. 2017. Т. 53. № 6. С. 596–601.
- Kantiranis N., Sikalidis K., Godelitsas A., Squires C., Papastergios G., Filippidis A. // J. Environ. Manag. 2011. V. 92. P. 1569–1576.
- Филатова Е.Г., Пожидаев Ю.Н., Помазкина О.И. // Физикохимия поверхности и защита материалов. 2016. Т. 52. № 3. С. 285–289.
- Помазкина О.И., Филатова Е.Г., Пожидаев Ю.Н. // Физикохимия поверхности и защита материалов. 2014. Т. 50. № 3. С. 262–267.
- Shirzadi H., Nezamzadeh-Ejhieh A. // J. Molecular Liquids. 2017. V. 230. P. 221–229.
- Anari-Anaraki M., Nezamzadeh-Ejhieh A. // J. Colloid and Interface Science. 2015. V. 440. P. 272–281.
Supplementary files








