Biocidal and Corrosion Properties of Composite Electrochemical Coatings Based on Tin–Nickel Alloy
- Authors: Pyanko A.V.1, Alisienok O.A.1, Pospelov A.V.1, Chernyavskaya E.F.1, Chernik A.A.1
-
Affiliations:
- Belarusian State Technological University, 220006, Minsk, Belarus
- Issue: Vol 59, No 2 (2023)
- Pages: 221-228
- Section: ФИЗИКО-ХИМИЧЕСКИЕ ПРОБЛЕМЫ ЗАЩИТЫ МАТЕРИАЛОВ
- URL: https://bakhtiniada.ru/0044-1856/article/view/134351
- DOI: https://doi.org/10.31857/S0044185623700274
- EDN: https://elibrary.ru/SZQBWJ
- ID: 134351
Cite item
Full Text
Abstract
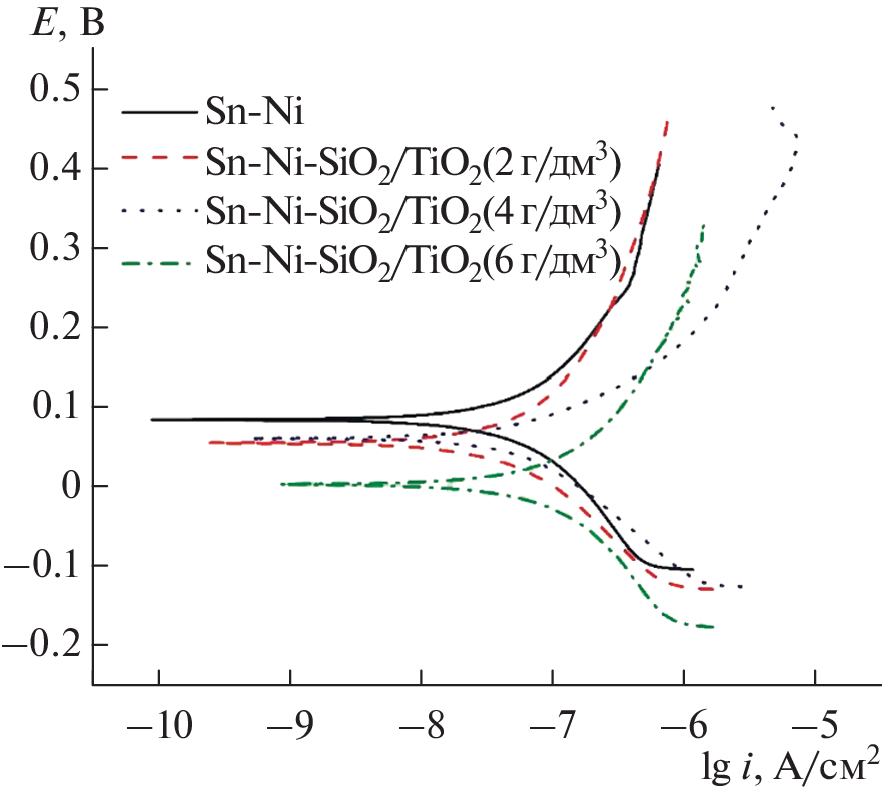
Composite electrochemical coatings based on a tin–nickel alloy with a composite of the “SiO2 core–TiO2 shell” type have been obtained. Corrosion properties of coatings were studied in 3% sodium chloride solution. Biocidal properties of coatings with respect to Escherichia coli ATCC 8739 and Staphylococcus aureus ATCC 6538 strains were studied. It was found that, to impart biocidal properties to the surface, the minimum concentration of composite in the electrolyte should be 4 g/L.
About the authors
A. V. Pyanko
Belarusian State Technological University, 220006, Minsk, Belarus
Email: hanna.pianka@mail.ru
Беларусь, 220006, Минск, ул. Свердлова, 13а
O. A. Alisienok
Belarusian State Technological University, 220006, Minsk, Belarus
Email: hanna.pianka@mail.ru
Беларусь, 220006, Минск, ул. Свердлова, 13а
A. V. Pospelov
Belarusian State Technological University, 220006, Minsk, Belarus
Email: hanna.pianka@mail.ru
Беларусь, 220006, Минск, ул. Свердлова, 13а
E. F. Chernyavskaya
Belarusian State Technological University, 220006, Minsk, Belarus
Email: hanna.pianka@mail.ru
Беларусь, 220006, Минск, ул. Свердлова, 13а
A. A. Chernik
Belarusian State Technological University, 220006, Minsk, Belarus
Author for correspondence.
Email: hanna.pianka@mail.ru
Беларусь, 220006, Минск, ул. Свердлова, 13а
References
- Fujishima A., Rao T.N., Tryk D.A. // J. Photochem. Photobiol., C. 2000. V. 1. № 1. P. 1.
- Moma J., Baloyi J. Photocatalysts – applications and attributes modified titanium dioxide for photocatalytic applications // London: IntechOpen, 2019. P. 156.
- Kharitonov D.S., Kasach A.A., Sergievich D.S. et al. // Ultrason. Sonochem. 2021. V. 75. P. 105593.
- Kasach A.A., Kharitonov D.S., Wrzesińska A. et al. // Prot. Met. Phys. Chem. Surf. 2020. V. 56. P. 385.
- Vlasa A., Varvara S., Pop A. et al. // J. Appl. Electrochem. 2010. V. 40. № 8. P. 1519.
- Camargoa M.K., Tudelab I., Schmidta U. et al. // Electrochim. Acta. 2016. V. 198. P. 287.
- Katamipour A., Farzam M., Danaee I. et al. // Surf. Coat. Technol. 2014. V. 254. P. 358.
- Mozhgan S., Mahdi M., Seyed M.E. // Colloids Surf. A. 2019. V. 573. P. 196.
- Abdel Hamid Z., Refai M., El-kilani R.M. et al. // J. Mater. Sci. 2021. V. 56. № 25. P. 14096.
- Thiemig D., Bund A. // Surf. Coat. Technol. 2008. V. 202. P. 2976.
- Huang S., Hu Y., Pan W. // Surf. Coat. Technol. 2011. V. 205. P. 3872.
- Rosolymou E., Spanou S., Zanella C. et al. // Coatings. 2020. V. 10. P. 775.
- Pyanko A.V., Sergievich D.S., Chernik A.A. et al. // Prot. Met. Phys. Chem. Surf. 2021. V. 57. № 1. P. 88.
- Kuznetsov B.V., Vorobyova T.N., Glibin V.P. // Met. Finish. 2013. V. 111. P. 38.
- Vorobyova T.N., Kudaka A.A. // Trans. Inst. Met. Finish. 2022. V. 100. № 1. P. 36.
- Шеханов Р.Ф. // Изв. вузов. Химия и хим. технология. 2017. Т. 60. № 10. С. 75.
- Subramanian B., Mohan S., Jayakrishnan S. // J. Appl. Electrochem. 2007. V. 37. P. 219.
- Jiménez H., Gil L., Staia M.H. et al. // Surf. Coat. Technol. 2008. V. 202. P. 2072.
- Murashkevich A.N., Lavitskaya A.S., Alisienok O.A. et al. // Inorg. Chem. 2009. V. 45. № 10. P. 1146.
- Пянко А.В., Алисиенок О.А., Кубрак П.Б. и др. // Электрохимия. 2022. Т. 58. № 5. С. 234.
Supplementary files










