Taste responses of carp fishes (Cyprinidae) to carboxylic acids. 1. Taste preferences
- Authors: Kasumyan А.O.1, Mikhailova E.S.1
-
Affiliations:
- Lomonosov Moscow State University
- Issue: Vol 65, No 2 (2025)
- Pages: 227-240
- Section: Articles
- URL: https://bakhtiniada.ru/0042-8752/article/view/294686
- DOI: https://doi.org/10.31857/S0042875225020096
- EDN: https://elibrary.ru/CWCAXG
- ID: 294686
Cite item
Abstract
The palatability of carboxylic and some other organic acids (10− 1 M) for dace Leuciscus leuciscus, roach Rutilus rutilus, and common carp Cyprinus carpio was assessed. The conclusion about species specificity of taste preferences in fishes was confirmed. Four out of 17 carboxylic acids stimulate consumption of pellets in dace, of which formic acid has the strongest effect. A significant decrease in consumption is caused by ten acids. For roach, no palatable carboxylic acids were found; most of them (13 out of 15) have a repulsive taste. For common carp, four acids have attractive taste, one (malonic acid) has repulsive taste, and the remaining 11 acids have no effect on pellet consumption. The stimulating effect of the acids persists up to concentrations of 10−4 and 10−3 M. Among the carboxylic acids, there is not one with the same taste properties for the studied fish. No significant similarity was found between dace, roach, common carp, and other fish species in terms of palatability of carboxylic acids. A direct dependence of pellet consumption on pH of carboxylic acid solutions was observed in roach and dace, while it was absent in common carp. The dependence of the palatability of carboxylic acids on the size of their molecule is weakly expressed. Structural transformations of the acid molecule do not always lead to shifts in taste properties, and in different species, they may not coincide or be opposite. Ascorbic acid (vitamin C) has a repulsive taste for roach, indifferent for dace, and attractive for common carp, which confirms the lack of relationship between physiological needs in essential micronutrients and their palatability, shown earlier on the example of amino acids.
Full Text
Карбоновые кислоты и их производные участвуют в основных метаболических процессах животных и растений и широко представлены, в том числе, в объектах питания рыб (Sterry et al., 1985; Daldorph, Thomas, 1991; Liu et al., 2018; Nelson, Cox, 2021). Однако эти вещества редко используют в качестве раздражителей для изучения вкусовой системы, несмотря на то, что их эффективность для вкусовых рецепторов рыб, хоть и на небольшом числе примеров, установлена в электрофизиологических экспериментах. Показано, что капроновая, масляная, пропионовая и некоторые другие карбоновые кислоты вызывают значимые ответы во вкусовых нервах у молоди атлантического лосося Salmo salar при стимуляции вкусовых почек на нёбе (Sutterlin, Sutterlin, 1970). Для внутриротовых вкусовых рецепторов японского угря Anguilla japonica эффективны все шесть использованных карбоновых кислот (Yoshii et al., 1979), для вкусовых рецепторов карпа Cyprinus carpio — большинство из 14 кислот (Marui, Caprio, 1992).
Сведения о вкусовых свойствах карбоновых кислот, определяемые с помощью поведенческих тестов, столь же немногочисленны. Известно, что для линя Tinca tinca и мраморного элеотриса Oxyeleotris marmorata привлекательным вкусом обладают все карбоновые кислоты, использованные для экспериментов, — соответственно 17 и 12 (Касумян, Прокопова, 2001; Lim et al., 2017). Для девятииглой колюшки Pungitius pungitius все 17 использованных карбоновых кислот имеют отталкивающий вкус, а для горчака Rhodeus sericeus (= Rhodeus sericeus amarus) среди тех же кислот 12 обладают отталкивающим вкусом, а оставшиеся пять, безразличным (Михайлова, Касумян, 2018; Касумян, Исаева, 2023). Контрастно различающиеся вкусовые свойства карбоновых кислот и ограниченное число исследованных видов не позволяют понять, справедливы ли в отношении этой группы веществ сформулированные на примере аминокислот выводы о видовой специфичности вкусовых предпочтений (Касумян, 1997; Kasumyan, Døving, 2003; Morais, 2017). По этой же причине отсутствует возможность выяснить, определяются ли вкусовые свойства карбоновых кислот таксономическим положением, образом жизни и питанием рыб и насколько универсальной может быть связь между вкусовой привлекательностью карбоновых кислот и их молекулярной массой, уровнем рН водных растворов и особенностями строения молекулы.
Цель настоящей работы — сравнить вкусовую привлекательность карбоновых кислот для нескольких ранее не исследованных видов карповых рыб (Cyprinidae sensu lato — по: Tan, Armbruster, 2018), различающихся питанием и другими особенностями биологии, а также оценить связь между вкусовыми свойствами карбоновых кислот и некоторыми их физико-химическими характеристиками.
Материал и методика
Опыты выполнены на плотве Rutilus rutilus (средняя абсолютная длина 7.0 см, средняя масса 4.8 г, 16 экз.), ельце Leuciscus leuciscus (12.5 см, 11.5 г, 11 экз.) и карпе (13.2 см, 24.8 г, 16 экз.). Молодь плотвы отловлена в р. Воря (приток р. Клязьма, г. Красноармейск, Московская обл.), елец — в небольшом притоке р. Москва (вблизи от г. Тучково, Московская обл.), карп получен в Филиале по пресноводному рыбному хозяйству Всероссийского научно-исследовательского института рыбного хозяйства и океанографии (г. Дмитров, Московская обл.). После доставки в лабораторию рыб разных видов до начала опытов содержали раздельно в общих 200-литровых аквариумах не менее 20 сут при температуре воды 19–23°С и ежедневном кормлении живыми или свежезамороженными личинками Chironomidae.
За 2–5 сут до начала опытов рыб рассаживали по индивидуальным аквариумам объёмом 10 л с непрозрачными боковыми и задней стенками. Грунт в аквариумах отсутствовал, изменения освещённости соответствовали естественному суточному ритму. Для аэрации использовали микрокомпрессоры. Частичную замену воды в аквариумах проводили еженедельно. Рыб кормили живыми или свежезамороженными личинками Chironomidae до насыщения в конце каждого дня.
Для обучения рыб схватывать подаваемый корм использовали личинок Chironomidae, а затем агар-агаровые гранулы, содержащие водный экстракт личинок (75 г/л). Гранулы вносили поштучно через отверстие в крышке аквариума. Для опытов использовали гранулы, в составе которых присутствовала одна из карбоновых кислот либо аскорбиновая или борная кислота. Все тестируемые вещества в гранулах присутствовали в концентрации 10−1 М. Вместе с тестируемым веществом гранулы содержали пищевой красный краситель (Ponceau 4R, 5 мкM). Гранулы, содержащие только краситель, использовали в качестве контроля. Все гранулы имели цилиндрическую форму; диаметр 1.35 мм (плотва), 1.50 мм (елец, карп) и длину 4 мм. Гранулы вырезали из агар-агарового геля непосредственно перед каждым опытом.
Для приготовления геля суспензию агар-агара (“Reanal”, Венгрия, 2%) подогревали на водяной бане до полного растворения. В горячий раствор агар-агара (60–70°С) вносили раствор тестируемого вещества или экстракта личинок Chironomidae и раствор красителя, перемешивали и выливали в чашку Петри. Гель с химическими веществами хранили при температуре 4°С не более 2 нед., с экстрактом Chironomidae — не более 3 сут.
В опыте в аквариум вносили одну агар-агаровую гранулу и регистрировали её заглатывание или отказ от потребления после схватывания рыбой. О проглатывании гранулы судили по завершению характерных движений челюстями и восстановлению у рыбы обычного ритма дыхательных движений жаберными крышками. Об окончательном отказе от потребления судили по потере интереса и уходу рыбы от отвергнутой гранулы или ориентации рыбы в другую, часто противоположную от гранулы, сторону. Длительность опыта не превышала 1–2 мин. Если рыба не схватывала гранулу в течение 1 мин, гранулу из аквариума удаляли, а опыт не засчитывали. Опыты, в которых рыбы разрушали, но не заглатывали гранулу, или заглатывали менее половины разрушенной гранулы, относили к таким, в которых потребления не происходило. Подачу контрольных гранул и гранул с тестируемыми веществами чередовали с подачей гранул, содержащих экстракт личинок Chironomidae. Гранулы всех типов подавали одной и той же особи в случайной последовательности с интервалом 10–15 мин.
Общее число выполненных опытов на ельце — 2200, на плотве — 1316, на карпе — 3095. Статистическую оценку результатов проводили с применением критерия χ2, U-критерия Манна–Уитни и рангового коэффициента корреляции Спирмена (rs). Вычисляли также индекс вкусовой привлекательности по формуле: Indpal = (R – C)/ /(R + C) × 100, где R — потребление гранул с веществом, %; C — потребление контрольных гранул, %.
Результаты
У ельца потребление гранул стимулируют четыре карбоновые кислоты из 17, из них муравьиная кислота оказывает наиболее сильное действие и повышает потребление в 1.5 раза по сравнению с контролем. Достоверное снижение потребления вызывают 10 кислот, остальные три карбоновые кислоты (уксусная, масляная и α-кетоглутаровая), а также аскорбиновая кислота, не относящаяся к карбоновым кислотам, влияния на потребление гранул не оказывают (табл. 1).
Таблица 1. Вкусовые ответы (M ± m) ельца Leuciscus leuciscus, плотвы Rutilus rutilus и карпа Cyprinus carpio на гранулы с карбоновыми кислотами и другими веществами
Раздражитель | Елец | Плотва | Карп | |||||
Потребление гранул, % | ИВП | Потребление гранул, % | ИВП | Число опытов | Потребление гранул, % | ИВП | Число опытов | |
Карбоновые кислоты | ||||||||
Адипиновая кислота | 34.5 ± 4.6*** | −25.5 | 31.5 ± 5.5** | −26.7 | 73 | 42.4 ± 3.9* | 15.2 | 157 |
Валериановая кислота | 70.9 ± 4.4** | 9.9 | 28.2 ± 5.1** | −31.7 | 78 | |||
Винная кислота | 40.9 ± 4.7*** | −17.4 | 33.8 ± 5.5* | −23.4 | 74 | 48.1 ± 4.0** | 21.3 | 158 |
Гликолевая кислота | 44.5 ± 4.8* | −13.3 | 16.4 ± 4.4*** | −53.7 | 73 | |||
Глутаровая кислота | 33.5 ± 3.8 | 3.6 | 157 | |||||
Капроновая кислота | 72.7 ± 4.3*** | 11.2 | 23.6 ± 5.0*** | −39.5 | 72 | |||
α–Кетоглутаровая кислота | 52.7 ± 4.8 | −4.9 | 25.3 ± 5.1*** | −36.5 | 75 | 41.1 ± 3.9 | 13.7 | 157 |
Лимонная кислота | 32.7 ± 4.5*** | −28.0 | 30.7 ± 5.4** | −27.9 | 75 | 70.3 ± 3.6*** | 38.5 | 157 |
Малеиновая кислота | 43.6 ± 4.8* | −14.3 | 26.7 ± 5.1** | −34.2 | 75 | 27.2 ± 3.6 | −6.9 | 158 |
Малоновая кислота | 33.6 ± 4.5*** | −26.7 | 19.4 ± 4.7*** | −47.4 | 72 | 21.0 ± 3.3* | −19.5 | 156 |
Масляная кислота | 69.1 ± 4.4 | 8.7 | 35.0 ± 3.7 | 5.7 | 160 | |||
Муравьиная кислота | 86.4 ± 3.3*** | 19.6 | 57.3 ± 5.7 | 2.6 | 75 | 31.3 ± 3.7 | 0.3 | 150 |
Пропионовая кислота | 70.9 ± 4.4** | 9.9 | 36.3 ± 3.8 | 7.6 | 160 | |||
Уксусная кислота | 66.3 ± 4.5 | 6.6 | 37.8 ± 5.7 | −18.0 | 74 | 31.3 ± 3.7 | 0.3 | 150 |
Фумаровая кислота | 41.8 ± 4.7*** | −16.3 | 27.0 ± 5.2** | −33.7 | 74 | 22.8 ± 3.3 | −15.6 | 157 |
Щавелевая кислота | 45.5 ± 4.8* | −12.2 | 29.3 ± 5.3** | −30.0 | 75 | 29.9 ± 3.7 | −2.1 | 156 |
Янтарная кислота | 41.8 ± 4.7*** | −16.3 | 22.5 ± 5.0*** | −41.5 | 71 | 28.6 ± 3.6 | −4.4 | 157 |
Яблочная кислота | 36.4 ± 4.6*** | −23.0 | 23.3 ± 5.0*** | −40.0 | 73 | 36.3 ± 3.9 | 7.6 | 156 |
Другие вещества | ||||||||
Аскорбиновая кислота | 53.6 ± 4.8 | −4.0 | 23.3 ± 4.9*** | −40.0 | 74 | 57.3 ± 3.9*** | 29.5 | 156 |
Борная кислота | 56.6 ± 5.7 | 2.0 | 76 | 36.9 ± 3.8 | 8.4 | 160 | ||
Экстракт Chironomidae | 92.4 ± 1.6*** | 49.5 | 277 | |||||
Контроль | 58.1 ± 3.3 | 54.4 ± 6.7 | 57 | 31.2 ± 3.7 | 156 | |||
Примечание. M ± m — среднее значение и его ошибка, ИВП — индекс вкусовой привлекательности; концентрация экстракта Chironomidae –75 г/л; число контрольных опытов с ельцом — 220, с каждой кислотой — 110; отличия от контроля достоверны при р: * < 0.05, ** < 0.01, *** < 0.001. Здесь и в табл. 3: концентрации кислот — 10−1 М.
У плотвы большинство карбоновых кислот — 13 из 15 — вызывают достоверное снижение потребления гранул. Наиболее сильным отталкивающим вкусом обладают малоновая и гликолевая кислоты, снижающие потребление гранул соответственно в 2.8 и 3.3 раза по сравнению с контролем. Отталкивающим вкусом обладает также аскорбиновая кислота. Муравьиная и уксусная кислоты, а также борная кислота, не принадлежащая к группе карбоновых кислот, влияния на потребление гранулы не оказывают (табл. 1).
Для карпа привлекательными по вкусу являются лимонная, винная и адипиновая кислоты, вызывающие достоверное повышение потребления. Такой же эффект производит аскорбиновая кислота, уступающая по стимулирующему действию лишь лимонной. Противоположным действием обладает малоновая кислота. Остальные 11 карбоновых кислот и борная кислота влияния на потребление гранул не оказывают (табл. 1). В дополнительной серии опытов на карпе установлено, что стимулирующее действие лимонной и аскорбиновой кислот при уменьшении их содержания в гранулах сохраняется до концентрации соответственно 10−4 и 10−3 М (рис. 1).
Рис. 1. Потребление карпом Cyprinus carpio агар-агаровых гранул, содержащих низкие концентрации лимонной и аскорбиновой кислот; отличие от контроля значимо при p: * < 0.05, *** < 0.001. (⏉) — ошибка среднего значения.
Обсуждение
Исследование, выполненное на ельце, плотве и карпе, увеличило число видов, для которых оценена вкусовая привлекательность широкого набора карбоновых кислот, почти вдвое — с четырёх видов (линь, мраморный элеотрис, девятииглая колюшка, горчак) (Касумян, Прокопова, 2001; Lim et al., 2017; Михайлова, Касумян, 2018; Касумян, Исаева, 2023) до семи. Об отношении ко вкусу карбоновых кислот известно и для некоторых других рыб, но эти сведения касаются лишь отдельных веществ данного класса. Для молоди атлантического лосося из шести подвергшихся тестированию кислот привлекательными по вкусу были капроновая кислота и, возможно, валериановая (Sutterlin, Sutterlin, 1970). Для тиляпии Coptodon zillii таким вкусом обладает лимонная кислота, а вкус яблочной кислоты, другой из двух использованных, безразличен (Adams et al., 1988). Лимонная, молочная и метацетоновая кислоты стимулируют схватывания пищи у нильской тиляпии Oreochromis niloticus (Xie et al., 2003). Лимонная кислота обладает сильным вкусом для многих рыб, усиливая потребление пищи у одних из них и вызывая обратную по знаку реакцию у других (Kasumyan, Døving, 2003).
Межвидовые сравнения. Большое число карбоновых кислот, использованных для исследований разных видов рыб, даёт возможность проводить корректные межвидовые сравнения вкусовой привлекательности и другие виды анализа. Общая характеристика вкусовых спектров исследованных рыб показывает, что отношение ко вкусу карбоновых кислот у рыб разных видов различается, это позволяет легко выделить среди них две группы. Более крупную группу образуют рыбы, для которых многие или все карбоновые кислоты обладают отталкивающим вкусом — плотва, елец, девятииглая колюшка, горчак (Михайлова, Касумян, 2018; Касумян, Исаева, 2023). Другая группа объединяет рыб, для которых все кислоты имеют привлекательный вкус, и их присутствие в пище стимулирует потребление — линь и мраморный элеотрис (Касумян, Прокопова, 2001; Lim et al., 2017). Для карпа большинство кислот оказались безразличными по вкусу (табл. 2). Вполне вероятно, что по мере дальнейшего расширения списка исследованных рыб изменится не только соотношение этих групп по численности, но и будут выявлены виды с промежуточным положением, как это наблюдается при сравнении аминокислотных спектров (Касумян, 2016).
Таблица 2. Число карбоновых кислот с разными вкусовыми свойствами для рыб
Вид | Кислоты | Общее число кислот | |||||||||||
монокарбоновые | дикарбоновые | трикарбоновые | все | ||||||||||
“+” | “+/−” | “−” | “+” | “+/−” | “−” | “+” | “+/−” | “−” | “+” | “+/−” | “−” | ||
Елец Leuciscus leuciscus | 4 | 2 | 1 | 0 | 1 | 8 | 0 | 0 | 1 | 4 | 3 | 10 | 17 |
Плотва Rutilus rutilus | 0 | 2 | 3 | 0 | 0 | 9 | 0 | 0 | 1 | 0 | 2 | 13 | 15 |
Карп Cyprinus carpio | 0 | 4 | 0 | 2 | 7 | 1 | 1 | 0 | 0 | 3 | 11 | 1 | 15 |
Горчак Rhodeus sericeus1 | 0 | 5 | 2 | 0 | 0 | 9 | 0 | 0 | 1 | 0 | 5 | 12 | 17 |
Линь Tinca tinca2 | 6 | 1 | 0 | 9 | 0 | 0 | 1 | 0 | 0 | 16 | 1 | 0 | 17 |
Девятииглая колюшка Pungitius pungitius3 | 0 | 0 | 7 | 0 | 0 | 9 | 0 | 0 | 1 | 0 | 0 | 17 | 17 |
Мраморный элеотрис Oxyeleotris marmorata4 | 4 | 0 | 0 | 7 | 0 | 0 | 1 | 0 | 0 | 12 | 0 | 0 | 12 |
Суммарное число случаев | 14 | 14 | 13 | 18 | 8 | 36 | 3 | 0 | 4 | 35 | 22 | 53 | |
Примечание. Вкусовые свойства (вкус): “+” — привлекательный, “+/−” — безразличный, “−” — отталкивающий. Кислоты монокарбоновые: валериановая, гликолевая, капроновая, масляная, муравьиная, пропионовая, уксусная; дикарбоновые: адипиновая, винная, глутаровая, α-кетоглутаровая, малеиновая, малоновая, фумаровая, щавелевая, яблочная, янтарная; трикарбоновая — лимонная. Здесь и в табл. 3: по: 1 Касумян, Исаева, 2023; 2 Kасумян, Прокопова, 2001; 3 Михайлова, Касумян, 2018; 4 Lim et al., 2017.
Среди карбоновых кислот нет ни одной с одинаковыми свойствами для исследованных нами рыб, но много примеров, когда одни и те же кислоты вызывают противоположные по знаку ответы, например, адипиновая, винная, гликолевая, малоновая, лимонная и другие. Необходимо отметить хорошую воспроизводимость этих оценок — вкусовые ответы карпа на лимонную кислоту в настоящей работе и в ранее выполненном исследовании (Касумян, Морси, 1996) полностью совпадают. Несмотря на относительно небольшое общее число исследованных видов — семь, данные сравнительного анализа подтверждают справедливость сформулированного ранее на примере аминокислот вывода о видовой специфичности вкусовых предпочтений рыб (Касумян, 1997; Kasumyan, Døving, 2003; Morais, 2017). Как и в случае с аминокислотами, вкусовые спектры карбоновых кислот у разных видов рыб не обнаруживают значимого сходства (табл. 3).
Таблица 3. Значения рангового коэффициента корреляции Спирмена вкусовой привлекательности карбоновых и некоторых других органических кислот между разными видами рыб
Вид | 2 | 3 | 4 | 5 | 6 | 7 |
1. Елец Leuciscus leuciscus | 0.08 | 0.02 | 0.37 | −0.25 | −0.22 | 0.33 |
2. Плотва Rutilus rutilus | 0.27 | 0.39 | −0.37 | 0.26 | 0.22 | |
3. Карп Cyprinus carpio | 0.08 | 0.01 | 0.14 | −0.52 | ||
4. Горчак Rhodeus sericeus1 | −0.89*** | 0.10 | −0.36 | |||
5. Линь Tinca tinca2 | 0.09 | 0.32 | ||||
6. Девятииглая колюшка Pungitius pungitius3 | −0.03 | |||||
7. Мраморный элеотрис Oxyeleotris marmorata4 |
Примечание. Для всех видов, за исключением карпа и мраморного элеотриса, коэффициенты корреляции рассчитаны по вкусовым ответам на 17 типов гранул (контрольные и содержащие адипиновую, валериановую, винную, гликолевую, α-кетоглутаровую, капроновую, лимонную, малеиновую, малоновую, муравьиную, уксусную, фумаровую, щавелевую, яблочную, янтарную и аскорбиновую кислоты). Для карпа коэффициент корреляции с плотвой рассчитан по вкусовым ответам на 15 типов гранул (без гранул с валериановой, гликолевой и капроновой кислотами, но с гранулами, содержащими борную кислоту); с ельцом, горчаком, линём и девятииглой колюшкой — по вкусовым ответам на 16 типов гранул (без гранул с валериановой, гликолевой и капроновой кислотами, но с гранулами, содержащими, пропионовую и масляную кислоты). Для мраморного элеотриса коэффициенты корреляции с ельцом, горчаком, линём и девятииглой колюшкой рассчитаны по вкусовым ответам на 13 типов гранул (с адипиновой, винной, гликолевой, лимонной, малеиновой, муравьиной, пропионовой, уксусной, фумаровой, щавелевой, яблочной, янтарной и аскорбиновой кислотами); с плотвой и карпом — по 12 типам гранул (из указанных выше 13, без гранул, содержащих соответственно пропионовую и гликолевую кислоты); *** связь достоверна при p < 0.001.
Среди 21 возможного варианта попарного сравнения видов достоверная корреляция обнаружена только между линём и горчаком — −0.89 (p < 0.001). Отрицательная корреляция означает, что в ранжированных по вкусовой привлекательности рядах карбоновых кислот их последовательность у линя и горчака обратная. У этих рыб не коррелируют вкусовые предпочтения аминокислот (Касумян, Исаева, 2023). Различие вкусовых спектров у линя и горчака вряд ли носит адаптивный характер, поскольку в водоёмах эти рыбы предпочитают разные биотопы, различаются образом жизни, и поэтому не могут рассматриваться в качестве конкурентов за пищу (Giles et al., 1990; Lammens, Hoogenboezem, 1991; Froese, Pauly, 2025). Отсутствует сходство вкусовых предпочтений к карбоновым кислотам и к аминокислотам также у плотвы и ельца и у линя и карпа — у рыб, ареалы и экологические ниши которых в значительной мере совпадают (Lammens, Hoogenboezem, 1991; Froese, Pauly, 2025). Вполне вероятно, что несовпадение вкусовых свойств этих веществ, наиболее распространённых в живых организмах, в том числе в различных объектах питания рыб (Daldorph, Thomas, 1991; Liu et al., 2018; Nelson, Cox, 2021), направлено на снижение пищевой конкуренции между экологически близкими рыбами при симпатрии.
Пороги. При изучении любых вкусовых раздражителей важным является определение их пороговых концентраций. Лимонная кислота — наиболее привлекательная по вкусу для карпа — сохраняет своё стимулирующее действие вплоть до концентрации 10−4 М. В ранее выполненных опытах пороговая концентрация лимонной кислоты для карпа составила 5 × 10−3 М, т.е. была в 50 раз выше, что, по-видимому, вызвано существенными различиями размеров гранул, использованных для тестирования, а также размеров опытных рыб (Касумян, Морси, 1996). Стимулирующее действие аскорбиновой кислоты, уступающей по эффективности лимонной кислоте, теряется после снижения концентрации ниже 10−3 М (рис. 1).
Сходные результаты для лимонной и аскорбиновой кислот получены для мраморного элеотриса — при концентрации 10−1 М; обе кислоты равны по действию, но при концентрации 10−3 М лимонная кислота намного эффективнее стимулирует потребление гранул, чем аскорбиновая. Важно и то, что при концентрации 10−1 М все 13 органических кислот для мраморного элеотриса одинаково эффективны и различия между кислотами проявляются только при снижении концентрации (Lim et al., 2017). У ельца и плотвы и, в меньшей степени, у карпа разнообразие реакций на кислоты проявляется уже при концентрации 10−1 М (табл. 1), что указывает на разную зависимость доза–эффект у рыб. В целом полученные результаты свидетельствуют о том, что уровень вкусовой чувствительности рыб к карбоновым кислотам соответствует тому, что было установлено с применением таких же методов для аминокислот, в том числе для карповых рыб (Kasumyan, Døving, 2003; Касумян, Исаева, 2023).
Вкус и рН растворов. Зависимость интенсивности вкуса кислот от величины рН их водных растворов давно привлекает внимание исследователей. Органические и неорганические кислоты и их производные относятся к традиционно используемым веществам для таких работ. У плотвы, ельца и исследованного ранее горчака наблюдается прямая зависимость потребления гранул от pH растворов содержащихся в них карбоновых кислот (Касумян, Исаева, 2023). У карпа и девятииглой колюшки эта зависимость отсутствует, у линя она обратная — с повышением pH растворов потребление гранул снижается (рис. 2) (Касумян, Прокопова, 2001; Михайлова, Касумян, 2018). У всех рыб, кроме линя и горчака, коэффициент детерминации линейной регрессионной аппроксимации небольшой или, как у карпа и девятииглой колюшки, близкий к нулю, что указывает на слабую связь между рассматриваемыми переменными, либо её отсутствие. Достоверная, но противоположная по характеру корреляционная связь между потреблением гранул и величиной рН карбоновых кислот наблюдается лишь у горчака (rs = 0.81, p < 0.001) и линя (rs = −0.84, p < 0.001), что подтверждают результаты регрессионного анализа. Полученные данные указывают на то, что зависимость вкусовой привлекательности от рН карбоновых кислот, если она проявляется, выражена у рыб разным образом, что, несомненно, обусловлено видовыми различиями вкусовых предпочтений. Такой же вывод получен при анализе связи между рН растворов аминокислот и их вкусовой привлекательностью для рыб (Касумян, 2016).
Рис. 2. Зависимость потребления рыбами агар-агаровых гранул от величины pH содержащихся в них карбоновых кислот (10−1 М): а – плотва Rutilus rutilus (у = 11.31x − 0.23, R2 = 0.41), б — елец Leuciscus leuciscus (у = 21.08x − 5.86, R2 = 0.51), в – горчак Rhodeus sericeus (у = 24.67x − 50.26, R2 = 0.68), г — карп Cyprinus carpio (у = −1.59x + 40.00, R2 = 0.01), д — линь Tinca tinca (у = −54.46x + 193.87, R2 = 0.79), е — девятииглая колюшка Pungitius pungitius (у = −0.57x + 2.79, R2 = 0.04). Источники информации по горчаку, линю и девятииглой колюшке здесь и на рис. 3–6 соответственно: Касумян, Исаева, 2023; Касумян, Прокопова, 2001; Михайлова, Касумян, 2018.
У человека связь между рН растворов кислот и интенсивностью вызываемого ими кислого вкуса хорошо проявляется при использовании полностью диссоциируемых в воде неорганических кислот, например, соляной кислоты. Вкус же неорганических кислот определяется не только образующимися при диссоциации ионами Н+, но и протонированными недиссоциированными молекулами кислоты. Поэтому при одном и том же значении рН растворы органических кислот ощущаются более кислыми, чем растворы неорганических (Ganzevles, Kroeze, 1987; Da Conceicao Neta et al., 2007; Frank et al., 2022). Поскольку одна и та же карбоновая кислота может иметь противоположные вкусовые свойства для разных рыб, представляется очевидным, что вкусовые ощущения, вызываемые органическими кислотами, в частности карбоновыми, определяются не только способностью к диссоциации и протонированию, но и другими особенностями, в том числе строением молекулы кислоты и тех рецепторных белков, которые обеспечивают чувствительность животных к кислотам (Tu et al., 2018).
Нельзя также исключать и того, что сенсорной основой ответа рыб на гранулы с кислотами может быть не только вкусовая система, но и общее химическое чувство, рецепторы которого — одиночные хемосенсорные клетки и хемочувствительные свободные нервные окончания — присутствуют в ротовой полости рыб вместе со вкусовыми почками (Whitear, 1992). Как предполагают, при таком бимодальном участии в рецепции кислот вкусовая система обеспечивает усиление позитивных ответов в диапазоне относительно низких концентраций. Но после достижения кислотой определённой концентрации, в формировании ответа начинает доминировать вклад общего химического чувства, а характер ответа меняется на негативный (защитный), усиливающийся по мере дальнейшего повышения концентрации. Полагают, что у разных животных точка перегиба (bliss point) инвертированной U-образной зависимости соответствует разным концентрациям кислот (Roper, 2014; Frank et al., 2022).
Вкус, строение и размер молекулы. Поиск связи между строением молекулы и хемосенсорной эффективностью веществ, обонятельной или вкусовой, по-прежнему остаётся актуальной проблемой в изучении хеморецепции. Большинство исследований выполняют с применением аминокислот и их производных (Hara, 2006). Перенесение, удаление или появление функциональных групп, или двойных связей и другие модификации молекулы обычно сопровождаются изменениями вкусовых свойств аминокислот для рыб (Caprio, 1975; Marui et al., 1983; Kasumyan, Mouromtsev, 2020). Полученные нами данные по вкусовой привлекательности карбоновых кислот, структурное разнообразие которых не менее велико, чем у аминокислот, подтверждают эти выводы.
Так, нейтральный вкус уксусной кислоты при появлении в молекуле гидроксильной группы (−ОН) и образовании гликолевой кислоты меняется на отталкивающий у ельца, плотвы и горчака и на привлекательный у линя. Но янтарная кислота у ельца, плотвы, горчака и девятииглой колюшки близка по вкусовой привлекательности к яблочной и винной кислотам, имеющим соответственно одну и две гидроксильные группы. Однако для карпа и линя эти изменения в молекуле оказываются существенными, и появление гидроксильных групп значительно усиливает вкусовую привлекательность. Сходная вкусовая привлекательность у глутаровой и у α-кетоглутаровой кислот, у последней один из атомов водорода замещён на кетогруппу (=О). Замена в молекуле янтарной кислоты одной из одинарных связей между атомами углерода на двойную не изменяет вкусовых свойств малеиновой кислоты — она сохраняет отталкивающий вкус для ельца, плотвы, карпа, горчака и девятииглой колюшки. Но для линя такие же преобразования молекулы резко повышают вкусовую привлекательность — непредельная малеиновая кислота более чем в три раза привлекательнее по вкусу, чем предельная янтарная. Вкусовые свойства малеиновой и фумаровой кислот, представляющих собой цис- и транс-изомеры бутендиовой кислоты, сходные для большинства исследованных рыб, за исключением линя, для которого эти стереоизомеры различаются ещё сильнее, чем янтарная и малеиновая кислоты (рис. 3).
Рис. 3. Потребление рыбами агар-агаровых гранул, содержащих карбоновые кислоты (10−1 М), различающиеся структурой молекулы: а – уксусная (◼) и гликолевая (◼); б — глутаровая (◼) и α-кетоглутаровая (◼); в – янтарная (◼), яблочная (▧) и винная (◼); г — янтарная (◼), малеиновая (▨) и фумаровая (◼). Различия достоверны при p: * < 0.05, ** < 0.01, *** < 0.001.
Таким образом, структурные преобразования молекул далеко не всегда приводят к сдвигам их вкусовых свойств, причём, если эти изменения происходят, то у разных видов они могут не совпадать или быть противоположными по характеру. Аналогичные результаты получены при сравнении вкусовой привлекательности изомеров аминокислот (Левина, Касумян, 2024). Следует подчеркнуть, что сдвиги вкусовой привлекательности в ответ на структурные преобразования кислот совпадают у плотвы, ельца и горчака, у которых зависимость потребления гранул от рН карбоновых кислот проявляется сходным образом. У линя изменения вкусовой привлекательности в ответ на те же структурные преобразования кислот и зависимость от рН носят противоположный характер (рис. 2). Объективна ли взаимосвязь между рассматриваемыми признаками или случайна, станет понятнее при пополнении имеющихся данных исследованиями новых видов рыб.
Интерес представляет сравнение вкусовых свойств карбоновых кислот, различающихся основностью — числом карбоксильных групп в молекуле. Согласно электрофизиологическим экспериментам, монокарбоновые кислоты в среднем менее сильные раздражители для вкусовых рецепторов карпа, чем дикарбоновые, а последние уступают по эффективности трикарбоновым кислотам (Marui, Caprio, 1992). Наши результаты по карпу в некоторой мере соответствуют этому выводу: все четыре монокарбоновые кислоты обладают для карпа безразличным вкусом, среди 10 дикарбоновых кислот имеются две привлекательные, такой же вкус имеет единственная трикарбоновая кислота — лимонная. Однако есть и обратные примеры (елец, плотва, горчак) (табл. 2). У человека интенсивность кислого вкуса, вызываемого раствором кислот, снижается с увеличением в их молекуле числа карбоксильных групп (CoSeteng et al., 1989).
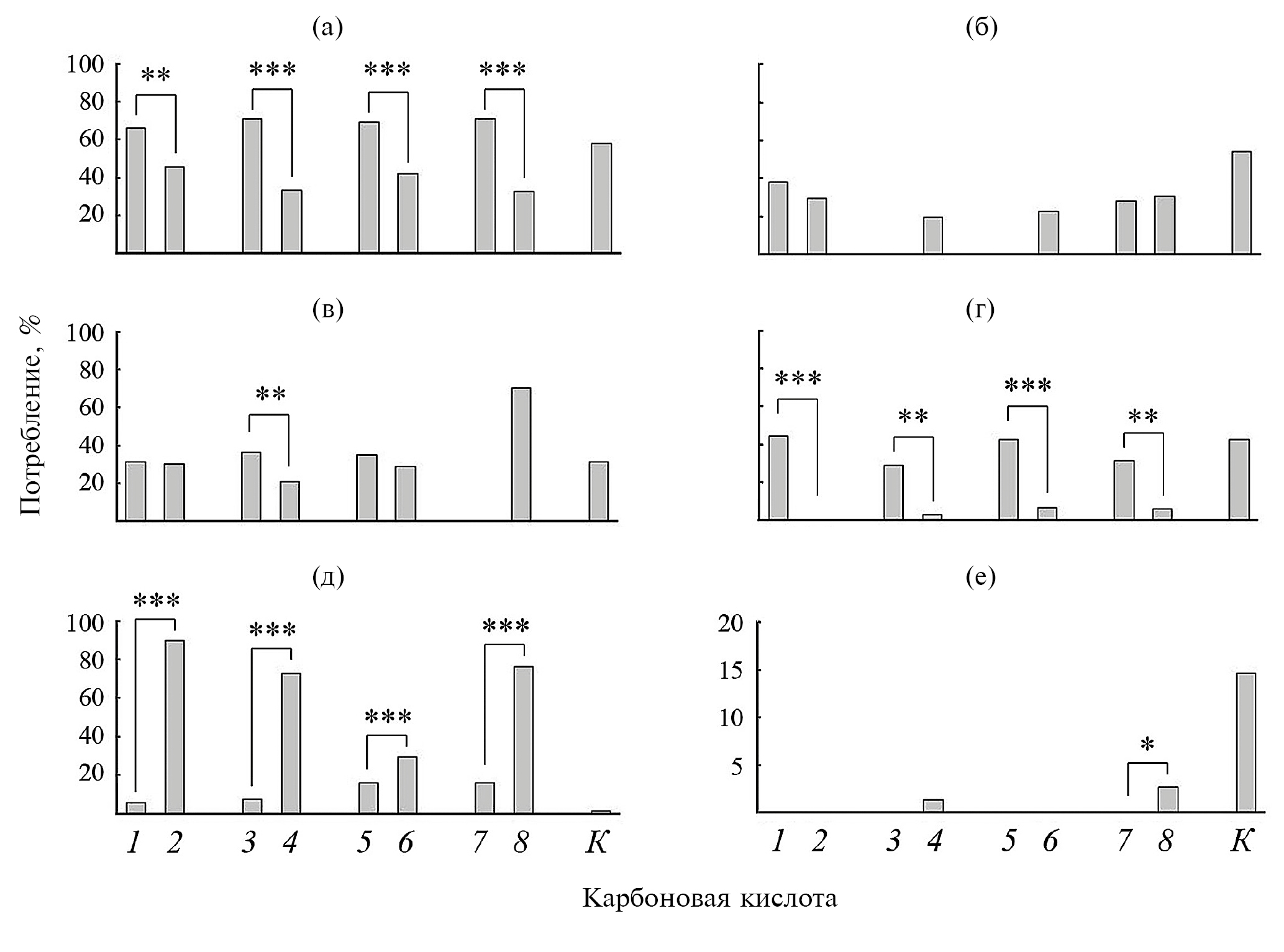
Более строгим является использование для анализа данных по моно-, ди- и трикарбоновым кислотам с равной длиной углеродной цепи и не имеющим дополнительных функциональных групп или двойных связей. При сравнении таких монокарбоновых кислот, уксусной (С=2), пропионовой (С=3) и масляной (С=4), с соответствующими им по строению дикарбоновыми кислотами, щавелевой (С=2), малоновой (С=3) и янтарной (С=4), видно, что у ельца и горчака последние значительно уступают монокарбоновым кислотам по вкусовой привлекательности. У карпа достоверные различия между потреблением гранул с моно- и дикарбоновыми кислотами выявлены только в одном случае, и тоже в сторону снижения. У линя увеличение основности кислот во всех случаях сопряжено со значительным усилением их вкусовой привлекательности, у девятииглой колюшки это наблюдается только при сравнении монокарбоновой валериановой и трикарбоновой лимонной кислот (обе С=5). Для плотвы различия не выявлены (рис. 4).
Рис. 4. Потребление рыбами агар-агаровых гранул, содержащих моно-, ди- и трикарбоновые кислоты (10−1 М) с разным числом атомов углерода (С) в углеродной цепи: а – елец Leuciscus leuciscus, б — плотва Rutilus rutilus, в – карп Cyprinus carpio, г — горчак Rhodeus sericeus, д — линь Tinca tinca, е — девятииглая колюшка Pungitius pungitius. Кислоты: монокарбоновые: 1 — уксусная (С2), 3 — пропионовая (С3), 5 — масляная (С4), 7 — валериановая (С5); дикарбоновые: 2 — щавелевая (С2), 4 — малоновая (С3), 6 — янтарная (С4); трикарбоновые: 8 — лимонная (С5); К – контроль; различия достоверны при p: * < 0.05, ** < 0.01, *** < 0.001.
Зависимость вкусовой привлекательности карбоновых кислот от размера молекулы у одних рыб слабая и различается по характеру (елец, горчак, карп, линь), у других видов она отсутствует (плотва, девятииглая колюшка) (рис. 5). Это подтверждает и корреляционный анализ, не выявивший достоверную связь у плотвы, девятииглой колюшки и карпа (p > 0.05). Таким образом, сравнение не позволяет прийти к заключению о существовании общего правила или тенденции, характеризующих связь между вкусовыми свойствами карбоновых кислот и их структурой, основностью или размером молекулы.
Рис. 5. Зависимость потребления рыбами агар-агаровых гранул от молекулярной массы содержащихся в них карбоновых кислот (10−1 М): а – елец Leuciscus leuciscus (у = −0.32x + 85.37, R2 = 0.52), б — плотва Rutilus rutilus (у = −0.09x + 39.11, R2 = 0.12), в – карп Cyprinus carpio (у = 0.21x + 11.48, R2 = 0.47), г — горчак Rhodeus sericeus (у = −0.31x + 49.75, R2 = 0.49), д — линь Tinca tinca (у = 0.50x − 7.63, R2 = 0.31), е — девятииглая колюшка Pungitius pungitius (у = 0.004x + 0.80, R2 = 0.01).
Аскорбиновая кислота, или витамин С, является важным регулятором метаболических процессов в организме рыб и других животных (Dabrowski, 2000). У костистых рыб (Teleostei) в отличие от более древних представителей Actinopterygii (Cladistia, Chondrostei, Amiiformes), а также от Myxini, Petromyzontida, Chondrichthyes и Dipnoi способность синтезировать аскорбиновую кислоту утеряна (Drouin et al., 2011). Потребности в витамине С большие, а дефицит этого незаменимого для рыб вещества в потребляемой пище приводит к различным физиологическим нарушениям и морфологическим отклонениям — потере аппетита и снижению темпа роста, анемии и геморрагическим проявлениям, функциональным и морфологическим патологиям внутренних органов, снижению устойчивости к заболеваниям и другим (Nutrient requirements …, 2011; Mai et al., 2022).
У карпа, плотвы и других рыб, испытывающих дефицит витамина С, развиваются деформации позвоночника (сколиоз, лордоз) (Dabrowski et al., 1988, 1989), однако важное значение витамина С в поддержании функционального состояния и здоровья не согласуется со вкусовыми свойствами аскорбиновой кислоты для рыб. У плотвы включение аскорбиновой кислоты в гранулы снижает их потребление более чем в два раза, у горчака — почти в четыре раза, девятииглая колюшка отказывается от таких гранул полностью, для ельца она индифферентна (Михайлова, Касумян, 2018; Касумян, Исаева, 2023). У мраморного элеотриса аскорбиновая кислота по вкусовой привлекательности уступает восьми из 13 испытанных кислот (Lim et al., 2017). И лишь для карпа и линя вкус аскорбиновой кислоты оказался высоко привлекательным (рис. 6).
Рис. 6. Потребление ельцом Leuciscus leuciscus, плотвой Rutilus rutilus, карпом Cyprinus carpio, горчаком Rhodeus sericeus, линём Tinca tinca и девятииглой колюшкой Pungitius pungitius агар-агаровых гранул, содержащих аскорбиновую кислоту (10−1 М) (◼), и контрольных гранул (◼); ***отличие от контроля значимо при p < 0.001.
Эти данные указывают на то, что между физиологическими потребностями в таком важном микронутриенте как витамин С и его вкусовой привлекательностью очевидная связь не прослеживается. По-видимому, вкусовая привлекательность для рыб аскорбиновой кислоты и других веществ определяется не физиологической ценностью или ролью в метаболических процессах, а прежде всего, прямо или опосредованно, пищей, к потреблению которой рыбы эволюционно адаптированы, как это предполагается в отношении приматов и некоторых других животных (Laska et al., 2008, 2009; Breslin, 2013). Отсутствие связи между физиологической потребностью и вкусовыми свойствами веществ подтверждает и то, что число привлекательных и непривлекательных по вкусу аминокислот среди заменимых и незаменимых примерно равно (Касумян, 2016; Levina et al., 2021).
Заключение
Широкое распространение среди живых организмов и структурное многообразие карбоновых кислот позволяет считать их наряду с аминокислотами наиболее подходящими веществами для исследования хеморецепции у рыб и других животных. Наше исследование демонстрирует большое разнообразие вкусовых предпочтений, проявляемых рыбами разных видов к карбоновым кислотам. Несмотря на то, что число исследованных рыб невелико, полученные сведения соответствуют представлению о специфичности вкусовых спектров у рыб, сформулированному ранее на основе более многочисленных данных по вкусовым свойствам аминокислот. Получены новые подтверждения отсутствия прямой связи между физиологическими потребностями в веществах и их вкусовой привлекательностью для рыб (Kasumyan, 2024). Данные по карбоновым кислотам, безусловно, важны для верификации этих и других базовых положений о вкусовой рецепции.
Считается, что чувствительность к веществам, вызывающим у человека ощущение кислого вкуса, является эволюционно наиболее древней по сравнению с восприятием веществ, вызывающих другие вкусовые ощущения (Frank et al., 2022). Белковые рецепторы, обеспечивающие реагирование на кислоты, имелись, как полагают, уже у самых ранних предковых форм позвоночных животных (Tu et al., 2018). Примеры потери животными рецепции кислого вкуса в ходе эволюции в отличие от способности реагировать на другие типы вкусовых веществ (сахара, умами) неизвестны (Li et al., 2005; Zhao et al., 2010; Jiang et al., 2012; Zhu et al., 2014). Сведения об отношении рыб ко вкусу карбоновых и других органических кислот важны для выяснения эволюционных путей и закономерностей формирования рецепции кислого вкуса у животных в целом (Frank et al., 2022). Результаты настоящей работы показывают, что из-за внутривидового разнообразия вкусовых ответов на эти вещества, построение эволюционных схем возникновения и развития восприимчивости позвоночных животных к кислому вкусу на основании данных по отдельным (избранным, модельным) кислотам с несомненной вероятностью приведёт к ошибочным утверждениям.
По количеству видов, для которых уже известна вкусовая привлекательность карбоновых кислот, рыбы опережают многие группы позвоночных животных (Kasumyan, Døving, 2003). Однако число исследованных рыб всё ещё остаётся недостаточным для понимания не только эволюционных преобразований чувствительности к кислотам, но и многих других аспектов рецепции этих веществ, прежде всего, взаимосвязей между их вкусовой привлекательностью и питанием рыб, особенностями пищеварения и метаболизма.
Благодарности
Авторы искренне благодарны Е.А. Марусову и А.А. Кажлаеву (МГУ) за помощь в отлове и содержании рыб, Т.В. Тиньковой (МГУ) за участие в проведении опытов, П.И. Кириллову (ИПЭЭ РАН) за внимательное и конструктивное редактирование текста и иллюстраций.
Финансирование работы
Исследование выполнено за счёт гранта Российского научного фонда № 24-24-00009.
Соблюдение этических стандартов
Авторы подтверждают, что все эксперименты проведены в соответствии с действующими принципами и правилами обращения с животными и не причиняли вред рыбам, участвовавшим в исследованиях. Используемый в настоящем исследовании метод одобрен Комиссией по биоэтике МГУ (заявка № 170-ж на экспертизу исследования рассмотрена и одобрена Комиссией по биоэтике МГУ 15.02.2024 г., заседание № 159-д-з).
Конфликт интересов
Авторы данной работы заявляют, что у них нет конфликта интересов.
About the authors
А. O. Kasumyan
Lomonosov Moscow State University
Author for correspondence.
Email: alex_kasumyan@mail.ru
Russian Federation, Moscow
E. S. Mikhailova
Lomonosov Moscow State University
Email: alex_kasumyan@mail.ru
Russian Federation, Moscow
References
- Касумян A.O. 1997. Вкусовая рецепция и пищевое поведение рыб // Вопр. ихтиологии. Т. 37. № 1. С. 78–93.
- Касумян A.O. 2016. Вкусовая привлекательность и физико-химические и биологические свойства свободных аминокислот (на примере рыб) // Журн. эволюц. биохимии и физиологии. Т. 52. № 4. С. 245–254.
- Касумян А.О., Исаева О.М. 2023. Вкусовые предпочтения карповых рыб (Cyprinidae). Сравнительное исследование // Вопр. ихтиологии. Т. 63. № 1. С. 81–109. https://doi.org/10.31857/S0042875223010071
- Касумян А.О., Морси А.М.Х. 1996. Вкусовая чувствительность карпа к свободным аминокислотам и классическим вкусовым веществам // Там же. Т. 36. Вып. 3. С. 386–399.
- Касумян А.О., Прокопова О.М. 2001. Вкусовые предпочтения и динамика вкусового поведенческого ответа у линя Tinca tinca (Cyprinidae) // Там же. Т. 41. № 5. С. 670–685.
- Левина А.Д., Касумян А.О. 2024. Вкусовая привлекательность изомеров аминокислот для цихлидовых рыб (Cichlidae) // Там же. Т. 64. № 1. С. 94–106. https://doi.org/10.31857/S0042875224010095
- Михайлова Е.С., Касумян А.О. 2018. Вкусовые свойства карбоновых кислот для девятииглой колюшки Pungitius pungitius // Там же. Т. 58. № 4. С. 496–502. https://doi.org/10.1134/S0042875218040124
- Adams M.A., Johnsen P.B., Zhou H.-Q. 1988. Chemical enhancement of feeding for the herbivorous fish Tilapia zillii // Aquaculture. V. 72. № 1–2. P. 95–107. https://doi.org/10.1016/0044-8486(88)90150-0
- Breslin P.A.S. 2013. An evolutionary perspective on food and human taste // Curr. Biol. V. 23. № 9. P. R409–R418. https://doi.org/10.1016/j.cub.2013.04.010
- Caprio J. 1975. High sensitivity of catfish taste receptors to amino acids // Comp. Biochem. Physiol. Pt. A. Physiol. V. 52. № 1. P. 247–251. https://doi.org/10.1016/s0300-9629(75)80160-5
- CoSeteng M.Y., McLellan M.R., Downing D.L. 1989. Influence of titratable acidity and pH on intensity of sourness of citric, malic, tartaric, lactic and acetic acid solutions on the overall acceptability of imitation apple juice // Can. Inst. Food Sci. Technol. J. V. 22. № 1. P. 46–51. https://doi.org/10.1016/S0315-5463(89)70300-X
- Da Conceicao Neta E.R., Johanningsmeier S.D., Drake M.A., McFeeters R.F. 2007. A chemical basis for sour taste perception of acid solutions and fresh-pack dill pickles // J. Food. Sci. V. 72. № 6. P. S352–S359. https://doi.org/10.1111/j.1750-3841.2007.00400.x
- Dabrowski K. 2000. Ascorbic acid in aquatic organisms: status and perspectives. Boca Raton: CRC Press, 280 p. https://doi.org/10.1201/9781420036312
- Dabrowski K., Hinterleitner S., Sturmbauer C. et al. 1988. Do carp larvae require vitamin C? // Aquaculture. V. 72. № 3–4. P. 295–306. https://doi.org/10.1016/0044-8486(88)90218-9
- Dabrowski K., Segner H., Dallinger R. et al. 1989. Rearing of cyprinid fish larvae: the vitamin C–minerals interrelationship and nutrition-related histology of the liver and intestine of roach (Rutilus rutilus L.) // J. Anim. Physiol. Anim. Nutr. № 62. № 1–5. P. 188–202. https://doi.org/10.1111/j.1439-0396.1989.tb00834.x
- Daldorph P.W.G., Thomas J.D. 1991. Snail cadavers as sources of short-chain carboxylic acids to scavenging freshwater invertebrates // Hydrobiologia. V. 209. № 2. P. 133–140. https://doi.org/10.1007/bf00006925
- Drouin G., Godin J.-R., Pagé B. 2011. The genetics of vitamin C loss in vertebrates // Curr. Genomics. V. 12. № 5. P. 371–378. https://doi.org/10.2174/138920211796429736
- Frank H.E.R., Amato K., Trautwein M. et al. 2022. The evolution of sour taste // Proc. R. Soc. B. V. 289. № 1968. Article 20211918. https://doi.org/10.1098/rspb.2021.1918
- Froese R., Pauly D. (eds.). 2025. FishBase. World Wide Web electronic publication (www.fishbase.org. Version 02/2025).
- Ganzevles P.G.J., Kroeze J.H.A. 1987. The sour taste of acids. The hydrogen ion and the undissociated acid as sour agents // Chem. Senses. V. 12. № 4. P. 563–576. https://doi.org/10.1093/CHEMSE/12.4.563
- Giles N., Street M., Wright R.M. 1990. Diet composition and prey preference of tench, Tinca tinca (L.), common bream, Abramis brama (L.), perch, Perca fluviatilis L. and roach, Rutilus rutilus (L.), in two contrasting gravel pit lakes: potential trophic overlap with wildfowl // J. Fish Biol. V. 37. № 6. P. 945–957. https://doi.org/10.1111/j.1095-8649.1990.tb03598.x
- Hara T.J. 2006. Gustation // Fish physiology: Sensory systems neuroscience. San Diego; London: Acad. Press. P. 45–96. https://doi.org/10.1016/S1546-5098(06)25002-7
- Jiang P., Josue J., Li X. et al. 2012. Major taste loss in carnivorous mammals // PNAS. V. 109. № 13. P. 4956–4961. https://doi.org/10.1073/pnas.1118360109
- Kasumyan A. 2024. The taste system in fish // Encyclopedia of fish physiology (Second edition). Amsterdam et al.: Acad. Press. P. 106–123. https://doi.org/10.1016/B978-0-323-90801-6.00118-X
- Kasumyan A., Døving K.B. 2003. Taste preferences in fish // Fish Fish. V. 4. № 4. Р. 289–347. https://doi.org/10.1046/j.1467-2979.2003.00121.x
- Kasumyan A.O., Mouromtsev G.E. 2020. The teleost fish, blue gourami Trichopodus trichopterus, distinguishes the taste of chemically similar substances // Sci. Rep. V. 10. Article 7487. https://doi.org/10.1038/s41598-020-64556-6
- Lammens E.H.R.R., Hoogenboezem W. 1991. Diets and feeding behavior // Cyprinid fishes. Dordrecht: Springer. P. 353–376. https://doi.org/10.1007/978-94-011-3092-9_12
- Laska M., Persson Suorra J., Rivas Bautista R.M., Hernandez Salazar L.T. 2008. Taste difference thresholds for monosodium glutamate and sodium chloride in pigtail macaques (Macaca nemestrina) and spider monkeys (Ateles geoffroyi) // Am. J. Primatol. V. 70. № 9. P. 839–847. https://doi.org/10.1002/ajp.20558
- Laska M., Rivas Bautista R.M., Hernandez Salazar L.T. 2009. Gustatory responsiveness to six bitter tastants in three species of nonhuman primates // J. Chem. Ecol. V. 35. № 5. P. 560–571. https://doi.org/10.1007/s10886-009-9630-8
- Levina A.D., Mikhailova E.S., Kasumyan A.O. 2021. Taste preferences and feeding behavior in the facultative herbivore fish, Nile tilapia Oreochromis niloticus // J. Fish Biol. V. 98. № 1. P. 1385–1400. https://doi.org/10.1111/jfb.14675
- Li X., Li W., Wang H. et al. 2005. Pseudogenization of a sweet-receptor gene accounts for cats’ indifference toward sugar // PLoS Genet. V. 1. № 1. Article e3. https://doi.org/10.1371/journal.pgen.0010003
- Lim L.-S., Lai S.-K.J., Yong A.S.-K. et al. 2017. Feeding response of marble goby (Oxyeleotris marmorata) to organic acids, amino acids, sugars and some classical taste substances // Appl. Anim. Behav. Sci. V. 196. P. 113–118. https://doi.org/10.1016/j.applanim.2017.06.014
- Liu C., Meng F., Tang X. et al. 2018. Comparison of nonvolatile taste active compounds of wild and cultured mud crab Scylla paramamosain // Fish. Sci. V. 84. № 5. P. 897–907. https://doi.org/10.1007/s12562-018-1227-0
- Mai K., Waagbø R., Zhou X.Q. et al. 2022. Vitamins // Fish nutrition (Four edition). London: Acad. Press. P. 57–179. https://doi.org/10.1016/B978-0-12-819587-1.00014-8
- Marui T., Caprio J. 1992. Teleost gustation // Fish chemoreception. Dordrecht: Springer. P. 171–198. https://doi.org/10.1007/978-94-011-2332-7_9
- Marui T., Harada S., Kasahara Y. 1983. Gustatory specificity for amino acids in the facial taste system of the carp, Cyprinus carpio L // J. Comp. Physiol. V. 153. № 3. P. 299–308. https://doi.org/10.1007/BF00612584
- Morais S. 2017. The physiology of taste in fish: potential implications for feeding stimulation and gut chemical sensing // Rev. Fish. Sci. Aquac. V. 25. № 2. P. 133–149. https://doi.org/10.1080/23308249.2016.1249279
- Nelson D.L., Cox M.M. 2021. Lehninger Principles of biochemistry. N.Y.: W.H. Freeman and Сo., 4381 p.
- Nutrient requirements of fish and shrimp. 2011. Washington: Natl. Acad. Press, 376 p. https://doi.org/10.17226/13039
- Roper S.D. 2014. TRPs in taste and chemesthesis // Mammalian transient receptor potential (TRP) cation channels. Cham: Springer. P. 827–871. https://doi.org/10.1007/978-3-319-05161-1_5
- Sterry P.R., Thomas J.D., Patience R.L. 1985. Changes in the concentrations of short-chain carboxylic acids and gases during decomposition of the aquatic macrophytes Lemna paucicostata and Ceratophyllum demersum // Freshw. Biol. V. 15. № 2. P. 139–153. https://doi.org/10.1111/j.1365-2427.1985.tb00188.x
- Sutterlin A.M., Sutterlin N. 1970. Taste responses in Atlantic salmon (Salmo salar) parr // J. Fish. Res. Board Can. V. 27. № 11. P. 1927–1942. https://doi.org/10.1139/f70-218
- Tan M., Armbruster J.W. 2018. Phylogenetic classification of extant genera of fishes of the order Cypriniformes (Teleostei: Ostariophysi) // Zootaxa. V. 4476. № 1. P. 6–39. https://doi.org/10.11646/zootaxa.4476.1.4
- Tu Y.-H., Cooper A.J., Teng B. et al. 2018. An evolutionarily conserved gene family encodes proton-selective ion channels // Science. V. 359. № 6379. P. 1047– 1050. https://doi.org/10.1126/science.aao3264
- Whitear M. 1992. Solitary chemosensory cells // Fish chemoreception. Dordrecht: Springer. P. 103–125. https://doi.org/10.1007/978-94-011-2332-7_6
- Xie S., Zhang L., Wang D. 2003. Effects of several organic acids on the feeding behavior of Tilapia nilotica // J. Appl. Ichthyol. V. 19. № 4. P. 255–257. https://doi.org/10.1046/j.1439-0426.2003.00451.x
- Yoshii K., Kamo N., Kurihara K., Kobatake Y. 1979. Gustatory responses of eel palatine receptors to amino acids and carboxylic acids // J. Gen. Physiol. V. 74. № 3. P. 301–317. https://doi.org/10.1085/jgp.74.3.301
- Zhao H., Yang J.-R., Xu H., Zhang J. 2010. Pseudogenization of the umami taste receptor gene Tas1r1 in the giant panda coincided with its dietary switch to bamboo // Mol. Biol. Evol. V. 27. № 12. P. 2669–2673. https://doi.org/10.1093/molbev/msq153
- Zhu K., Zhou X., Xu S. et al. 2014. The loss of taste genes in cetaceans // BMC Evol. Biol. V. 14. Article 218. https://doi.org/10.1186/s12862-014-0218-8
Supplementary files








