Distribution, size composition and feeding of the barred snailfish Crystallias matsushimae (Liparidae) in the Russian zone of the Sea of Japan
- Authors: Solomatov S.F.1, Pushchina О.I.2, Aseeva N.L.2
-
Affiliations:
- Zhirmunsky National Scientific Center of Marine Biology, Far Eastern Branch, Russian Academy of Sciences
- Russian Federal Research Institute of Fisheries and Oceanography
- Issue: Vol 64, No 4 (2024)
- Pages: 401-411
- Section: Articles
- URL: https://bakhtiniada.ru/0042-8752/article/view/271800
- DOI: https://doi.org/10.31857/S0042875224040039
- EDN: https://elibrary.ru/EYFJCE
- ID: 271800
Cite item
Full Text
Abstract
The results of studying the bathymetric and spatial distribution of the barred snailfish Crystallias matsushimae are presented according to bottom trawl surveys in the Russian waters of the Sea of Japan. The species does not form dense aggregations, although it is not as rare as was previously thought: in bottom trawl catches on the continental slope, the frequency of its occurrence is about 30%. The main areas of the species aggregations are the western part of the Peter the Great Gulf and the deep-water section of the Tatar Strait between the mainland and Sakhalin Island. Despite the relatively wide range of water temperature and depths at which the snailfish was found in catches, the species prefers rather narrow thermal and bathymetric ranges: 0.6–1.5°C and 200–500 m. Mysids, amphipods and decapods dominate in the diet.
Full Text
Кристаллиновый липарис Crystallias matsushimae Jordan et Snyder 1902 является обычным представителем семейства липаровых (Liparidae) и единственным представителем рода Crystallias, встречающимся в Японском море. Иногда род Crystallias Jordan et Snyder, 1902 относят к младшему синониму рода Crystallichthys Jordan et Gilbert, 1898 (Chernova et al., 2004), однако, по современным представлениям, он является валидным (Парин и др., 2014; Fricke et al., 2023).
Вид широко распространён в Японском море, вокруг Японского архипелага и Курильских о-вов, в южной части Охотского моря (Сон Ён Хо, 1986; Питрук, 1990; Борец, 1997, 2000; Федоров, Парин, 1998; Федоров, 2000; Новиков и др., 2002; Nakabo, 2002; Kim et al., 2005; Соколовский и др., 2007, 2011). Некоторые авторы указывают поимку вида в южной части Берингова моря, что существенно расширяет границы его обитания (Линдберг, Красюкова, 1987; Парин и др., 2014). Сведений о биологии кристаллинового липариса немного и они фрагментарны как для Японского моря, так и для остальной части ареала.
От других представителей семейства вид отличается наличием на теле удлинённых вертикальных полос и большими усиками на нижней челюсти и рыле. Характерные вытянутые кольцеобразные пятна отчётливо прослеживаются даже у мелкоразмерных (длиной от 17.8 мм) рыб (Matsuzaki et al., 2022), чего в Японском море не отмечается у других липаровых. Благодаря сравнительно лёгкой в отношении липаровых рыб видовой идентификации мы имели возможность использовать большой массив данных по биологии этого вида, не опасаясь путаницы с другими видами семейства.
Цель работы – изучить батиметрическое и пространственное распределение кристаллинового липариса в северо-западной части Японского моря, оценить влияние температуры придонного слоя воды на особенности его распределения, выяснить размерный состав, рацион питания и дать количественные оценки вида.
МАТЕРИАЛ И МЕТОДИКА
Материалом послужили данные донных траловых съёмок на шельфе и материковом склоне северной части Японского моря в рейсах научно-исследовательских судов ТИНРО в 1978–2018 гг. Акватория была подразделена на четыре района: зал. Петра Великого (ЗПВ) – от р. Туманная до м. Поворотный, Северное Приморье (СП) – от м. Поворотный до м. Золотой, воды у материкового побережья Татарского пролива (ТП) – от м. Золотой до прол. Невельского и Западный Сахалин (ЗС) – у островного побережья Татарского пролива от прол. Невельского до м. Крильон (рис. 1). Обследованы глубины 20–750 м (в зал. Петра Великого – от 2 м). При анализе сезонного распределения проводили деление на гидрологические сезоны по классификации Зуенко (1994): зимний период включает январь и февраль, весенний – март и апрель, летний – июнь–сентябрь, осенний – ноябрь и декабрь. Май является переходным месяцем между весенним и летним сезонами, октябрь – между летним и осенним. Май мы отнесли к весеннему сезону, октябрь – к осеннему.
Рис. 1. Карта-схема района работ в Японском море в 1978–2018 гг.: (•) – траловые станции, ЗПВ – зал. Петра Великого, СП – Северное Приморье, ТП – Татарский пролив, ЗС – Западный Сахалин.
Для работ использовали суда различного класса и разные типы тралов с мелкоячейной вставкой (10 мм) в кутце. Преимущественно использовали донный трал ДТ/ТВ 27.1. Для сравнимости результатов все уловы пересчитали на час траления (кг/ч траления). Для построения карт пространственного распределения уловы осредняли по квадратам со стороной 10 географических минут. Биомассу рыб определяли площадным методом (Аксютина, 1968) с коэффициентом уловистости 0.5 (Гаврилов и др., 1988). Всего в работе использованы данные 50 съёмок (ЗПВ – 23, СП – 13, ТП – 12, ЗС – 2). Общее число обработанных траловых станций составило 14839 (табл. 1), из них кристаллиновый липарис был отмечен в 1643. У рыб из уловов измеряли общую длину тела (TL). Промерено 1256 экз., из них со взвешиванием 610 экз.
Таблица 1. Общее число тралений, выполненных в российских водах Японского моря в разные сезоны 1978–2018 гг., и частота встречаемости (ЧВ) кристаллинового липариса Crystallias matsushimae по глубинам
Глубины, м | Весна | Лето | Осень | Зима | Всего | ЧВ,٪ |
1–5 | 3 | 80 | 23 | 0 | 106 | 0 |
6–20 | 76 | 1193 | 211 | 2 | 1482 | 0 |
21–50 | 715 | 2030 | 361 | 52 | 3158 | 0.2 |
51–100 | 1086 | 1823 | 419 | 189 | 3517 | 4.2 |
101–200 | 1103 | 665 | 316 | 257 | 2341 | 12.1 |
201–300 | 818 | 328 | 275 | 166 | 1587 | 29.6 |
301–400 | 614 | 167 | 164 | 121 | 1066 | 32.6 |
401–500 | 468 | 103 | 130 | 104 | 805 | 30.7 |
501–700 | 329 | 124 | 218 | 18 | 689 | 20.3 |
701–1000 | 69 | 1 | 18 | 0 | 88 | 4.5 |
Итого | 5281 | 6514 | 2135 | 909 | 14839 |
Материал по питанию липариса (76 желудков) собран в водах Северного Приморья (на глубинах 60–450 м) в апреле–мае. Пробы обрабатывали в соответствии с Методическим пособием (1974). Величину суточного рациона рыб оценивали методом Новиковой (1949) в модификации Чучукало и Напазакова (1999) путём определения продолжительности переваривания исходной (восстановленной) массы пищевых объектов в зависимости от температуры придонного слоя воды. Среднее значение рациона и соотношение в нём пищевых компонентов вычислены с учётом биомасс исследованных размерных групп и их вклада в общее потребление.
РЕЗУЛЬТАТЫ
Батиметрическое распределение. Глубины обитания кристаллинового липариса располагались в сравнительно широком диапазоне – 30–749 м. Предпочитаемыми глубинами для него являлись 201–500 м – верхний отдел материкового склона (рис. 2). Летом и осенью его скопления были приурочены к границе шельфовой зоны с глубинами 201–300 м, в зимне-весенний период отмечены на бо́льших глубинах – 401–500 м. Кристаллиновый липарис является типичным представителем мезобентального биотопа.
Рис. 2. Распределение уловов кристаллинового липариса Crystallias matsushimae в российских водах Японского моря по глубинам в разные сезоны 1978–2018 гг.: (▨) – весна, (▦) – лето, (▧) – осень, (▩) – зима.
По частоте встречаемости кристаллиновый липарис относится к обычным видам на материковом и островном склонах, на глубинах 201–500 м он встречался примерно в трети уловов (табл. 1). В меньшей степени он отмечался на глубинах 501–700 м (20.3%) и в пределах шельфовой зоны.
Пространственное распределение. Кристаллиновый липарис встречался во всех обследованных районах российской зоны Японского моря. Он не образовывал концентрированных скоплений, максимальный улов составил 66 кг/ч траления.
На зимний период приходилось наименьшее число тралений, поэтому картина распределения в это время года не охватывает значительную часть исследуемой акватории (рис. 3а). Вид встречался во всей акватории Северного Приморья, но высокие уловы отмечались в западной части зал. Петра Великого. Татарский пролив как с материковой, так и с островной стороны не был охвачен тралениями зимой.
Рис. 3. Распределение уловов кристаллинового липариса Crystallias matsushimae в российских водах Японского моря в разные сезоны 1978–2018 гг.: а – зима, б – весна, в – лето, г – осень.
Весной кристаллиновый липарис избегал шельфовых зон (рис. 3б). В зал. Петра Великого он держался вдоль материкового склона, образуя скопления в западной части залива в координатах 42°20′ с. ш. 131°20′ в. д. – в районе так называемых Гамовских свалов. В Северном Приморье, где шельфовая зона не развита, этот вид встречался в уловах практически от самой береговой черты. Распределение носило довольно равномерный характер. При продвижении на север, с расширением шельфа, заметно смещение уловов на глубины в сторону свала глубин между материком и Сахалином. В мелководной части Татарского пролива, севернее 50° с. ш., кристаллиновый липарис весной не встречался. Вдоль островного побережья Сахалина вид был немногочислен и также избегал шельфовых зон.
Летом кристаллиновый липарис выходил на шельфовые участки (рис. 3в). Особенно это хорошо прослеживалось в зал. Петра Великого, где он попадал в уловы в открытой части и даже заходил в заливы второго порядка (Уссурийский зал.). В верхней части Татарского пролива (севернее 50° с. ш.) также неоднократно присутствовал в уловах донного трала. Однако в целом продолжал держаться предпочтительно на материковом склоне, не образуя больших скоплений.
Осенью кристаллиновый липарис образовывал скопления с повышенными концентрациями вдоль материкового склона зал. Петра Великого и глубоководной части Татарского пролива между материком и Сахалином (рис. 3г). В Северном Приморье относительно высокие уловы вида отмечались также в узкой полосе вдоль материкового склона. При этом в северной, мелководной, части Татарского пролива всё ещё продолжали фиксироваться поимки в тех же местах, что и в летний период.
В целом в течение года в распределении кристаллинового липариса в северной части Японского моря есть определённые закономерности. В зал. Петра Великого вид редко заходит в заливы второго порядка, предпочитая держаться у внешней кромки шельфа. Здесь он образует довольно плотные скопления в западной и восточной частях залива, где находятся участки дна с крутым свалом глубин. В Северном Приморье, как правило, не выделяли участки скоплений, уловы были рассредоточены по всему району. По мере продвижения на север и с расширением шельфа поимки вида смещались к центральной части Татарского пролива, где и отмечали максимальные концентрации. Вдоль сахалинского побережья кристаллиновый липарис встречался эпизодически, отсутствуя на участках с широким шельфом, а его повышенные концентрации отмечали лишь на свале глубин с островной стороны.
Зависимость распределения от температуры придонного слоя воды. Кристаллиновый липарис является стенотермным видом. Отдельные его поимки были зафиксированы при температуре воды от –0.8°C в феврале на шельфе зал. Петра Великого до 5.4°C в водах Северного Приморья. Однако в основном он держался в узком диапазоне температур, более 80% его поимок находилось в границах одного градуса – от 0.6 до 1.5°C (рис. 4).
Рис. 4. Распределение кристаллинового липариса Crystallias matsushimae в российских водах Японского моря в 1978–2018 гг. в зависимости от температуры придонного слоя воды.
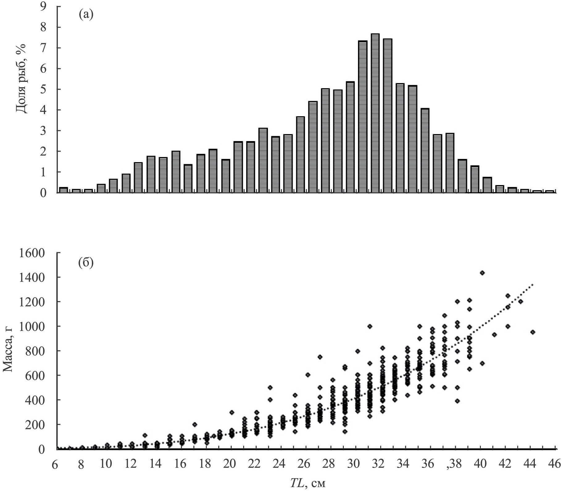
Размерный состав. В уловах донного трала встречались особи кристаллинового липариса TL 6–45 см. Модальную группу составляли рыбы TL 30–32 см (рис. 5а). Зависимость длина–масса у этого вида из вод Японского моря описывалась уравнением: W = 0.0141TL3.0292 (R² = 0.937), где W – масса рыбы, г; TL – общая длина, см (рис. 5б).
Рис. 5. Размерный состав (а) и зависимость массы тела от общей длины (TL) (б) кристаллинового липариса Crystallias matsushimae из траловых уловов в северо-западной части Японского моря в 1978–2018 гг.
Многолетняя динамика биомассы. Средняя биомасса кристаллинового липариса в разных районах с начала 2000-х гг. находилась примерно на одинаковом уровне – 350–450 т. Максимальные оценки запасов в Северном Приморье и у Западного Сахалина превышали 800 т, а в 2014 г. вдоль материкового побережья Татарского пролива достигали 1033 т (рис. 6). В зал. Петра Великого и среднее, и максимальное значения оценки запасов были гораздо ниже – соответственно 108 и 426 т. С начала 2000-х гг. наблюдалось увеличение биомассы кристаллинового липариса в северной части Японского моря, в зал. Петра Великого пик приходился на 2010–2012 гг., в остальных районах – на 2013–2016 гг.
Рис. 6. Многолетняя динамика биомассы кристаллинового липариса Crystallias matsushimae в разных районах северо-западной части Японского моря по данным донных траловых съёмок: (▤) – зал. Петра Великого, (▨) – Северное Приморье, (◧) – Татарский пролив, (■) – Западный Сахалин.
Питание. По нашим данным, кристаллиновый липарис является нектобентофагом, формирующим свой рацион в основном за счёт двух групп кормовых организмов – амфипод (Amphipoda) и мизид (Mysida) (в сумме 85.6%) (табл. 2).
Таблица 2. Состав пищи кристаллинового липариса Crystallias matsushimae разного размера в водах Северного Приморья (апрель–май), % массы
Компонент пищи и другие показатели | Размерная группа, см | В среднем | ||
11–20 | 21–30 | 31–40 | ||
Polychaeta | 29.2 | 1.9 | 1.4 | 2.4 |
Polynoidae gen. spp. | 29.2 | 0.9 | 1.4 | 1.8 |
Polychaeta varia | 1.0 | 0.6 | ||
Isopoda | 2.9 | 1.2 | + | 0.8 |
Amphipoda | 64.6 | 47.3 | 20.1 | 36.0 |
Rhachotropis aculeata | 1.2 | 9.2 | 4.6 | |
Rh. oculata | 5.8 | 20.9 | 3.2 | 12.8 |
Stegocephalus inflatus | 2.1 | 0.9 | ||
Metopa majuscula | 0.2 | 1.1 | 0.8 | |
Syrrhoe crenulata | 4.6 | 0.2 | 0.1 | 0.3 |
Syrrhoe sp. | 44.2 | 23.3 | 2.2 | 14.8 |
Caprella sp. | 10.0 | 0.9 | 0.5 | 0.9 |
Amphipoda varia | 0.6 | 1.7 | 0.9 | |
Mysida | 3.3 | 45.4 | 57.6 | 49.6 |
Inusitatomysis insolita | 37.9 | 47.4 | 41.0 | |
Pseudomma sp. | 3.3 | 6.6 | 10.2 | 8.1 |
Mysida varia | 0.9 | 0.5 | ||
Euphausiacea | 0.6 | 2.6 | 1.4 | |
Decapoda | 2.5 | 14.0 | 7.4 | |
Spirontocaris arcuata | 1.8 | 0.8 | ||
S. brevidigitata | 0.3 | 2.1 | 1.0 | |
S. phippsii | 0.2 | 1.9 | 0.9 | |
Mesocrangon intermedia | 1.5 | 5.5 | 3.2 | |
Pagurus sp. | 2.7 | 1.2 | ||
Decapoda varia | 0.5 | 0.3 | ||
Pisces | 1.1 | 3.7 | 2.2 | |
Прочие | + | 0.6 | 0.2 | |
Средний суточный рацион, % массы тела | 2.5 | 2.0 | 1.4 | 1.7 |
Число желудков, шт. | 5 | 48 | 23 | 76 |
Доля пустых желудков, % | 2.1 | 17.4 | 6.6 | |
Примечание. “+” – доля компонента < ٠.١٪.
Среди второстепенных компонентов его пищи наиболее существенную долю занимали десятиногие раки (Decapoda) и многощетинковые черви (Polychaeta). Молодь липариса TL 11–20 см отдавала предпочтение донным беспозвоночным: амфиподам (преимущественно рода Syrrhoe) и полихетам семейства Polynoidae. По мере роста липариса роль бентоса (особенно полихет) в питании заметно снижалась, но возрастала роль нектобентоса, главным образом, мизид Inusitatomysis insolita и декапод (в основном креветок рода Spirontocaris и шримса Mesocrangon intermedia).
Кроме того, в пище особей TL 21–40 см в небольшом количестве встречались эвфаузииды рода Thysanoessa, а также молодь рогатковых (Cottidae) и бельдюговых (Zoarcidae) рыб.
Наряду с размерно-возрастной, у кристаллинового липариса хорошо выражена батиметрическая изменчивость питания. На шельфе в его рационе доминировали мизиды (58.8% массы), но вследствие значительного роста потребления амфипод по мере увеличения глубины доля мизид, как и доля второстепенных компонентов, сокращалась, в результате чего на материковом склоне амфиподы и мизиды приобретали практически равное значение (соответственно 48.4 и 44.2%) (рис. 7). Выявленные различия, вероятно, связаны с батиметрическими изменениями структуры кормовой базы липариса, однако из-за слабой изученности этого вопроса судить об этом более определённо не представляется возможным.
Рис. 7. Состав пищи (% массы) кристаллинового липариса Crystallias matsushimae на шельфе (а) и материковом склоне (б) Северного Приморья в апреле–мае: 1 – Polychaeta, 2 – Amphipoda, 3 – Mysida, 4 – Decapoda, 5 – Pisces, 6 – прочие.
По нашим расчётам, средняя величина суточного рациона особей кристаллинового липариса TL 11–40 см в весенний период составляла 1.7% массы тела и по мере роста снижалась с 2.5 до 1.4% (табл. 2). Интенсивность питания этого вида на материковом склоне (2.1%) выше, чем на шельфе (1.2%).
ОБСУЖДЕНИЕ
Ряд авторов (Соколовский и др., 2011; Парин и др., 2014) относят кристаллинового липариса к редким видам. По всей видимости, это связано с тем, что в расчёт брались результаты работ на малых глубинах. По материалам нашего исследования, этот вид на глубинах до 51 м встречался лишь в 0.2% уловов, а в диапазоне 51–100 м – в 4.2%. Но если рассматривать рыб мезобентального биотопа, то здесь кристаллиновый липарис является обычным видом, встречаясь практически в каждом третьем улове донного трала.
Для кристаллинового липариса, по нашим данным, характерен оседлый образ жизни – он не совершает продолжительных миграций ни в широтном, ни в батиметрическом направлении. Несмотря на широкий диапазон глубин, на которых были зафиксированы его поимки, в основном он предпочитал верхний отдел материкового склона (201–500 м). По всей видимости, для него характерно откочёвывание в зимний период на бо́льшие глубины. Для зимнего и весеннего периодов отмечены его значительные концентрации в диапазоне 401–500 м, а также высокие уловы на глубинах 501–700 м. Савин (2014) для Южных Курил причисляет кристаллинового липариса к массовым видам в диапазоне 300–400 м в весенний период. Вероятно, отличающиеся гидрологические условия и обилие глубоководных видов рыб (в первую очередь, отсутствующих в Японском море макрурусов) приводят к тому, что здесь для кристаллинового липариса характерен более узкий вертикальный диапазон обитания, а зимует он на меньших глубинах, чем в япономорской зоне.
В летний и осенний периоды кристаллиновый липарис предпочитает глубины 201–300 м. В это время он рассредоточен и не образует плотных скоплений, в осенний период его концентрации повышаются, так что именно осенью отмечены наиболее высокие уловы этого вида в течение года (рис. 3).
Для кристаллинового липариса характерны крупная икра (диаметром 4–5 мм) и отсутствие пелагической стадии у личинок, что также приводит к сужению зоны расселения (Tohkairin et al., 2015). Эти авторы выдвигают предположение о том, что такой оседлый образ жизни при отсутствии географических барьеров привёл к возникновению в Японском море двух морф кристаллинового липариса – жёлтой и красной. Российская зона Японского моря входит в сегмент, где обитает только красная морфа; в экспедициях, в которых принимали участие авторы настоящей работы, не отмечено ни одной поимки особей жёлтой морфы.
В Северном Приморье поимки кристаллинового липариса зарегистрированы вблизи береговой линии в отличие от других районов северной части моря. По всей видимости, здесь причина такая же, как и для некоторых других видов, обитающих преимущественно на материковом склоне, например, японской лисички Percis japonica (Pallas, 1769) (Соломатов, Антоненко, 2023). Отсутствие широкой шельфовой зоны в этой части Японского моря позволяет не совершать протяжённые миграции, чтобы выйти на минимальные глубины обитания.
В уловах донного трала преобладали взрослые особи кристаллинового липариса, модальной размерной группы 30–32 см. Связано это может быть с разными причинами. Во-первых, с селективностью донного трала: рыбы малых размеров элементарно не улавливаются и проходят через ячею крыльев трала. Во-вторых, благодаря своей присоске, которая у мелких особей относительно более крупная (Линдберг, Красюкова, 1987), липаровые могут закрепляться на грунте и не улавливаться тралом (Панченко, Пущина, 2022).
По характеру питания большинство исследованных видов липаровых рыб относят к бенто- или нектобентофагам (Токранов, 2000; Чучукало, 2006; Токранов, Орлов, 2014). Имея относительно большинства рыб мезобентального биотопа сравнительно невысокий средний суточный рацион и биомассу, кристаллиновый липарис занимает незначительную долю в выедании различных гидробионтов на материковом склоне Японского моря. По составу пищевого рациона среди массовых и обычных видов рыб шельфа и материкового склона Северного Приморья кристаллиновый липарис имеет наибольшее сходство с охотским липарисом Liparis ochotensis Schmidt, 1904, пёстрым получешуйником Hemilepidotus gilberti Jordan et Starks, 1904 и навагой Eleginus gracilis (Tilesius, 1810) (Пущина, Соломатов, 2018).
ЗАКЛЮЧЕНИЕ
Кристаллиновый липарис является обычным видом в северной части Японского моря, где частота его встречаемости составляет ~30%. При этом биомасса его лишь в отдельные годы превышает 800 т в разных исследованных районах, обычно находясь на уровне 350–450 т. Основными местами скоплений кристаллинового липариса в Японском море являются материковый склон зал. Петра Великого и центральная часть Татарского пролива.
В водах Северного Приморья кристаллиновый липарис является нектобентофагом, формирующим свой рацион в основном за счёт двух групп беспозвоночных – амфипод (36.0%) и мизид (49.6%). По мере роста липариса роль бентоса (амфипод, полихет) в его пище сокращается и возрастает роль нектобентоса (преимущественно мизид и декапод). В весенний период средняя величина суточного рациона составляет 1.7% массы тела, при этом интенсивность питания вида на материковом склоне выше, чем на шельфе (соответственно 2.1 и 1.2%).
Несмотря на относительно широкий диапазон температуры воды и глубин, при которых в уловах встречался кристаллиновый липарис, предпочтительными для него являются довольно узкие термические и батиметрические границы: 0.6–1.5°C и 200–500 м.
About the authors
S. F. Solomatov
Zhirmunsky National Scientific Center of Marine Biology, Far Eastern Branch, Russian Academy of Sciences
Author for correspondence.
Email: solosf@yandex.ru
Russian Federation, Vladivostok
О. I. Pushchina
Russian Federal Research Institute of Fisheries and Oceanography
Email: solosf@yandex.ru
Pacific Branch
Russian Federation, VladivostokN. L. Aseeva
Russian Federal Research Institute of Fisheries and Oceanography
Email: solosf@yandex.ru
Pacific Branch
Russian Federation, VladivostokReferences
- Аксютина З.М. 1968. Элементы математической оценки результатов наблюдений в биологических и рыбохозяйственных исследованиях. М.: Пищ. пром-сть, 289 с.
- Борец Л.А. 1997. Донные ихтиоцены российского шельфа дальневосточных морей: состав, структура, элементы функционирования и промысловое значение. Владивосток: Изд-во ТИНРО-центр, 217 с.
- Борец Л.А. 2000. Аннотированный список рыб дальневосточных морей. Владивосток: Изд-во ТИНРО-центр, 192 с.
- Гаврилов Г.М., Пушкарева Н.Ф., Стрельцов М.С. 1988. Состав и биомасса донных и придонных рыб экономической зоны СССР Японского моря // Изменчивость состава ихтиофауны, урожайности поколений и методы прогнозирования запасов рыб в северной части Тихого океана. Владивосток: Изд-во ТИНРО. С. 37–55.
- Зуенко Ю.И. 1994. Типы термической стратификации вод на шельфе Приморья // Комплексные исследования морских гидробионтов и условий их обитания. Владивосток: Изд-во ТИНРО. С. 20–39.
- Линдберг Г.У., Красюкова З.В. 1987. Рыбы Японского моря и сопредельных частей Охотского и Желтого морей. Ч. 5. Л.: Наука, 526 с.
- Методическое пособие по изучению питания и пищевых отношений рыб в естественных условиях. 1974. М.: Наука, 254 с.
- Новиков Н.П., Соколовский А.С., Соколовская Т.Г., Яковлев Ю.М. 2002. Рыбы Приморья. Владивосток: Изд-во Дальрыбвтуз, 552 с.
- Новикова Н.С. 1949. О возможности определения суточного рациона рыб в естественных условиях // Вестн. МГУ. № 9. С. 107–111.
- Панченко В.В., Пущина О.И. 2022. Распределение, размерный состав и питание охотского липариса Liparis ochotensis (Liparidae) в водах Приморья (Японское море) // Вопр. ихтиологии. Т. 62. № 1. С. 69–78. https://doi.org/10.31857/S004287522201012X
- Парин Н.В., Евсеенко С.А., Васильева Е.Д. 2014. Рыбы морей России: аннотированный каталог. М.: Т-во науч. изд. КМК, 733 с.
- Питрук Д.Л. 1990. Предварительный список видового состава и распространение рыб семейства Liparididae в Охотском море // Тр. ЗИН АН СССР. Т. 213. С. 35–45.
- Пущина О.И., Соломатов С.Ф. 2018. Структура потребления пищевых ресурсов демерсальными рыбами на шельфе Северного Приморья (Японское море) в ранневесенний период // Матер. IX Всерос. науч.-практ. конф. “Природные ресурсы, их современное состояние, охрана, промысловое и техническое использование”. Петропавловск-Камчатский: Изд-во КГТУ. С. 79–83.
- Савин А.Б. 2014. Батиметрические группировки демерсальных рыб на склоне и внешнем крае шельфа с океанской стороны южных Курильских островов в весенний период // Изв. ТИНРО. Т. 177. С. 167–181. https://doi.org/10.26428/1606-9919-2014-177-167-181
- Соколовский А.С., Дударев В.А., Соколовская Т.Г., Соломатов С.Ф. 2007. Рыбы российских вод Японского моря: аннотированный и иллюстрированный каталог. Владивосток: Дальнаука, 200 с.
- Соколовский А.С., Соколовская Т.Г., Яковлев Ю.М. 2011. Рыбы залива Петра Великого. Владивосток: Дальнаука, 431 с.
- Соломатов С.Ф, Антоненко Д.В. 2023. Распределение японской лисички Percis japonica (Agonidae) в российских водах Японского моря // Вопр. ихтиологии. Т. 63. № 2. С. 144–151. https://doi.org/10.31857/S004287522302025X
- Сон Ён Хо. 1986. О распределении рыб в прибрежных водах Восточного моря // Тр. Вонсан. ин-та рыб. хоз-ва Восточного моря. № 1. С. 132–150.
- Токранов А.М. 2000. Питание липаровых рыб (Liparidae) в тихоокеанских водах юго-восточной Камчатки и северных Курильских островов // Вопр. ихтиологии Т. 40. № 4. С. 530–536.
- Токранов А.М, Орлов А.М. 2014. Особенности распределения, экология и динамика уловов щелеглазого липариса Crystallichthys mirabilis (Liparidae) в тихоокеанских водах северных Курильских островов и юго-восточной Камчатки // Там же. Т. 54. № 3. С. 323–331. https://doi.org/10.7868/S0042875214030151
- Федоров В.В. 2000. Видовой состав, распределение и глубины обитания видов рыбообразных и рыб северных Курильских островов // Промыслово-биологические исследования рыб в тихоокеанских водах Курильских островов и прилежащих районах Охотского и Берингова морей в 1992–1998 гг. М.: Изд-во ВНИРО. С. 7–41.
- Федоров В.В., Парин Н.В. 1998. Пелагические и бентопелагические рыбы тихоокеанских вод России (в пределах 200-мильной экономической зоны). М.: Изд-во ВНИРО, 154 с.
- Чучукало В.И. 2006. Питание и пищевые отношения нектона и нектобентоса в дальневосточных морях. Владивосток: Изд-во ТИНРО-Центр, 483 с.
- Чучукало В.И., Напазаков В.В. 1999. К методике определения суточных рационов питания и скорости переваривания пищи у хищных и бентосоядных рыб // Изв. ТИНРО. Т. 126. С. 160–171.
- Chernova N.V., Stein D.L., Andriashev A.P. 2004. Family Liparidae Scopoli 1777 – snailfishes // Annotated Checklists of Fishes. № 31. San Francisco: Calif. Acad. Sci. , 72 p.
- Fricke R., Eschmeyer W.N., van der Laan R. (eds.). 2023. Eschmeyerʼs catalog of fishes: genera, species, references (http://researcharchive.calacademy.org/research/ichthyology/catalog/fishcatmain.asp. Version 05/2023).
- Kim I.S., Choi Y., Lee C.L. et al. 2005. Illustrated book of Korean fishes. Seoul: Kyo-Hak Publ., 615 p.
- Matsuzaki K., Mori T., Kai Y. et al. 2022. Morphological development of laboratory-reared Crystallichthys matsushimae (Cottoidei: Liparidae) // Ichthyol. Res. V. 69. № 4. P. 505–512. https://doi.org/10.1007/s10228-021-00853-y
- Nakabo T. 2002. Fishes of Japan with pictorial keys and species. V. I–II. Tokyo: Tokai Univ. Press, 1749 p.
- Tohkairin A., Kai Y., Ueda Y. et al. 2015. Morphological divergence between two color morphotypes of Crystallichthys matsushimae (Cottoidei: Liparidae) // Ichthyol. Res. P. 145–155. V. 62. № 2. https://doi.org/10.1007/s10228-014-0414-y
Supplementary files









