Морфология внутреннего уха и отолитов анабаса Anabas testudineus (Anabantidae)
- Авторы: Павлов Д.А.1, Касумян А.О.2
-
Учреждения:
- Московский государственный университет
- Институт проблем экологии и эволюции РАН
- Выпуск: Том 64, № 1 (2024)
- Страницы: 12-27
- Раздел: Статьи
- URL: https://bakhtiniada.ru/0042-8752/article/view/257276
- DOI: https://doi.org/10.31857/S0042875224010029
- EDN: https://elibrary.ru/AIESCW
- ID: 257276
Цитировать
Полный текст
Аннотация
Описаны расположение и структура внутреннего уха, прилегающих отделов головного мозга и нейрокраниума, а также морфология лапиллуса, сагитты и астерискуса у анабаса Anabas testudineus – облигатно воздуходышащей рыбы, способной к наземным перемещениям. Обонятельные луковицы и передний мозг у особей вида хорошо развиты. Обнаружен выступ на задней дорсальной поверхности переднего мозга, включающий две симметричные доли. Почти треугольная задняя часть мозговой капсулы и узкая задняя часть нейрокраниума граничат с наджаберной камерой. Верхняя передняя часть внутреннего уха (pars superior) проходит вдоль внутренней треугольной части мозговой капсулы, а общий канал (crus communis) и задний полукружный канал (ductus semicircularis posterior) сближены и лежат в наиболее узкой задней части мозговой капсулы. Саккулюс заключён в овальную костную оболочку; отношение длины крупной сагитты к общей длине рыбы составляет в среднем 0.06. Линейный рост лапиллуса и сагитты характеризуется отрицательной аллометрией по отношению к длине рыбы. Несмотря на низкий темп роста лапиллуса, его форма значительно меняется в процессе развития у особей длиной 36–205 мм, что, по-видимому, связано с усложнением двигательной активности. Обсуждены возможные адаптации анабаса к перемещению по суше.
Ключевые слова
Полный текст
Анабас Anabas testudineus – облигатно воздуходышащая рыба. Обитает в пресной или солоноватой, преимущественно стоячей воде от Индии до Китая, включая Юго-Восточную Азию, и интродуцирован на Филиппинах, в Австралии и Папуа-Новой Гвинее (Johansen, 1970; Liem, 1987; Froese, Pauly, 2022). Несмотря на небольшой размер, достигающий в среднем ~110 мм общей длины (TL) (Kumar et al., 2013) и максимально 250 мм (Talwar, Jhingran, 1991), анабас считается ценным пищевым объектом, его отлавливают в природе и выращивают в искусственных условиях. В связи с наличием наджаберного органа, служащего для дыхания атмосферным воздухом, особи могут выживать без воды несколько дней и способны находиться в заиленном грунте на протяжении сухого сезона в ожидании дождей (Liem, 1987; Davenport, Abdul Matin, 1990). Тем не менее такая способность остаётся сомнительной (Зворыкин, 2020).
Интересная особенность жизненного цикла анабаса – наземные миграции. Среди представителей отряда Anabantiformes и валидных видов рода Anabas (A. oligolepis и A. testudineus (Seshagiri, Raju, 2001; Srinu et al., 2019)) информация о выходе на сушу имеется исключительно для последнего вида. Англоязычное название вида (climbing perch) ведёт своё начало от древней легенды, согласно которой анабас забирается на пальмы и питается их соком, но возможность такого поведения не подтверждена (Davenport, Abdul Matin, 1990). Кроме этого, сам термин “миграция” как особенность поведения, проявляющаяся через регулярные интервалы на протяжении жизненного цикла животного и сопровождающаяся сменой биотопов, по-видимому, не подходит для анабаса (Зворыкин, 2020). Более правильными являются термины “перемещения” или “экскурсии” (Liem, 1987). Анабас – в основном оседлая рыба, выход на сушу которой наблюдается только в некоторых биотопах и на сравнительно короткие расстояния. Причины наземных перемещений пока не очень ясны. Считается, что наземные перемещения рыб между водоёмами происходят по влажной почве после сильных дождей; они способствуют проникновению особей в новые водоёмы и снижают конкурентные отношения в перенаселённых биотопах. Выход на сушу не является ответом на низкое содержание кислорода или высокую температуру, но может представлять собой ответ на голодание или высокую плотность популяции (Liem, 1987). Кроме того, экспериментально выявлено, что голодание и понижение уровня воды также стимулируют выход особей на сушу (Павлов и др., 2018, 2021). Дистанции наземных перемещений могут достигать 90 или даже 200 м, но особенности ориентации рыб в этих условиях остаются неясными. В частности, в экспериментах не наблюдали направленное перемещение рыб к водоёму (Павлов и др., 2021), а контроль ориентации с помощью зрения или обоняния остаётся неподтверждённым (Касумян и др., 2021).
Наземные перемещения анабаса довольно сложны, включая преодоление естественных барьеров и прыжки (Davenport, Abdul Matin, 1990). Такое поведение может сопровождаться специальными адаптациями, связанными с модификацией вестибулярной системы. Как известно, скорость распространения звука намного больше в воде, чем в воздухе, вследствие различий плотности среды (Urick, 1983; Putland et al., 2019). Поэтому у способных к наземным перемещениям рыб структуры, обеспечивающие слух, могут быть модифицированы. Органом, обеспечивающим вестибулярную функцию и слух, является внутреннее ухо. Вместе с тем информация о морфологии внутреннего уха анабаса, а также других представителей отряда Anabantiformes весьма ограничена. Морфология внутреннего уха описана у макропода Macropodus viridiauratus (= M. opercularis) (Schneider, 1942) и ворчащего гурами Trichopsis vittata (Ladich, Popper, 2001). Отолиты (лапиллус, сагитта и астерискус) 12 видов Anabantiformes проиллюстрированы в работе Лиема (Liem, 1963), но рисунки чрезвычайно схематичны и лишены морфологического описания. Кроме того, морфология сагитты описана у карликового гурами Trichogaster lalius (= T. lalia) (Bano, Serajuddin, 2021) и анабаса (Bardhan et al., 2021). В последней статье отолиты измерены у четырёх размерных групп рыб, но аллометрические зависимости не прослежены, а форма отолитов описана без использования количественных показателей.
Отолиты левой и правой сторон тела – билатерально симметричные структуры, но точная симметрия никогда не достигается. Различают три случая асимметрии, исходя из частотного распределения разности между параметрами правой (R) и левой (L) сторон: флуктуирующая асимметрия (FA) – билатеральная изменчивость в выборке, при которой среднее значение R − L равно нулю, а сами значения характеризуются нормальным распределением; направленная асимметрия (DA) – статистически значимое различие между сторонами, при котором среднее значение R − L отлично от нуля; антисимметрия (AS) – бимодальное распределение значений R − L, при котором значения признака на левой и правой сторонах могут быть как меньшими, так и бо́льшими, но редко равными, при этом среднее значение R − L обычно близко к нулю. Наличие и выраженность указанных модусов билатеральной асимметрии может зависеть от особенностей жизненного цикла рыбы, а FA обычно используют как индикатор приспособленности и стабильности развития в пределах популяции (VanValen, 1962; Palmer, Strobeck, 1986; Захаров, 1987; Palmer, 1994). В нашей статье проведена предварительная оценка билатеральной асимметрии отолитов анабаса.
Цель работы – описать структуру внутреннего уха, а также морфологию лапиллуса, сагитты и астерискуса анабаса.
МАТЕРИАЛ И МЕТОДИКА
Материал собирали в водоёмах вблизи г. Нячанг (южная часть Центрального Вьетнама, провинция Кханьхоа́ (Khánh Hòa)) и приобретали на местных рынках в 2020 и 2021 гг. Живых рыб обездвиживали с помощью анестетика (MS-222) и фиксировали в 70%-ном этаноле или 4%-ном растворе формальдегида. Рыб, фиксированных в формальдегиде, через 1–5 сут переводили в 70%-ный этанол. Биологический анализ проводили на свежих особях перед их фиксацией; он включал измерение общей длины тела и (у части рыб) определение пола и стадии зрелости гонад в соответствии со шкалой Макеевой (1992). Общее число особей TL 36–205 мм (в среднем 81, стандартное отклонение 40), использованных для анализа, составило 101 экз.
Для препарирования под бинокулярным микроскопом использовали головы рыб, фиксированные в пластилине на чашке Петри. Отолиты извлекали с обеих сторон головы и помещали в 10%-ный раствор гипохлорита натрия на 10 мин для отделения окружающих тканей (Secor et al., 1991). Часть лапиллусов была потеряна во время препарирования, несколько сагитт были повреждены и только три астерискуса удалось извлечь и использовать для анализа. Отолиты просматривали и фотографировали в отражённом свете с использованием микроскопа YEGREN TXB2-D7-DG (Китай) с цифровой камерой и программы QPlayCap (Silicon Motion, Тайвань). Для описания формы отолитов лапиллус (вентральная сторона обращена к наблюдателю), сагитту и астерискус (медиальная сторона обращена к наблюдателю) фотографировали при одинаковом разрешении (1600 × 1200 пикселей). Сагитты хранили в 95%-ном этаноле в пипетках Eppendorf. Более мелкие лапиллусы и астерискусы наклеивали на предметные стёкла с помощью бесцветного лака для ногтей. Измерения объектов по их изображениям проведены с использованием программы ImageJ (https://imagej.net/ij/index.html).
Определяли следующие параметры отолитов: OL – длина (в переднезаднем направлении у лапиллуса и сагитты), OW – ширина (в медиолатеральном направлении у лапиллуса и в дорсовентральном направлении у сагитты), A – площадь, P – периметр. Следующие индексы рассчитывали для количественного описания формы лапиллуса и сагитты: фактор формы: FF = 4πA/P2; округлость: RO = 4A/πOL2; соотношение между квадратом периметра и площадью: PA = P2/A; отношение длины к ширине: AR = OL/OW; прямоугольность: RE = A/(OL × OW); эллиптичность: EL = (OL – OW)/(OL + OW). Относительную длину сагитты оценивали по формуле: OL/TL, а относительную площадь сулкуса (sulcus acusticus) – по формуле: SA/A, где SA – площадь сулкуса. Несколько отолитов взвешивали с точностью до 0.001 г, используя цифровые мини-весы KA67/K1918B (AMIR, Китай).
Для морфологического описания элементов внутреннего уха использовали известную терминологию (Ladich, Schulz-Mirbach, 2016). Для описания отолитов применяли следующую терминологию: для сагитты – по: Gaemers, 1984; Lin, Chang, 2012; для лапиллуса и астерискуса – по: Assis, 2003, 2005.
Для описания линейного роста отолитов (на основе аллометрического уравнения: y = aTLb) и определения показателей линейной регрессии между индексами формы отолитов и TL использовали средние параметры левого и правого отолитов каждой особи.
Билатеральную асимметрию отолитов оценивали исходя из различий (со знаком) между параметрами правого и левого отолитов (индекс F4 – по: Palmer, 1994). Этот индекс не зависит от величины DA, но чувствителен к отклонению от нормального распределения значений. В связи с этим проводили оценку отклонения распределения значений от нормального с помощью критерия Д’Агостино−Пирсона. Показатели, характеризующиеся значимым отклонением значений от нормального распределения, исключены из оценки FA или DA. Статистическую обработку данных проводили с использованием программы GraphPad Prism 5.03 (GraphPad Software, США).
РЕЗУЛЬТАТЫ
Расположение и морфология внутреннего уха. После отделения носовых и лобных костей под ними обнаруживается мозговая капсула. Она имеет полигональную форму с почти треугольной задней частью (рис. 1а). Задняя часть мозговой капсулы переходит в узкую заднюю часть нейрокраниума. Обе структуры граничат с объёмными наджаберными камерами, расположенными на обеих сторонах дорсальной части головы. Хорошо развитые обонятельные луковицы примыкают к переднему мозгу. На поверхности задней дорсальной части переднего мозга обнаружена специфическая структура – дорсальный выступ, включающий две симметричные продолговатые доли. Полушария среднего мозга (оптический тектум) составляют наибольший отдел мозга и расположены в наиболее широкой части мозговой капсулы. Мозжечок контактирует с узкой задней частью мозговой капсулы.
Рис. 1. Мозг анабаса Anabas testudineus, вид сверху: а – общий вид, наджаберный орган удалён, самка TL 127 мм; б – предполагаемое взаимное расположение отолитов (в разных горизонтальных плоскостях), самец TL 118 мм. A – астерискус, BO – обонятельная луковица, dTE – дорсальный выступ переднего мозга, CC – мозжечок, L – лапиллус, NN – узкая задняя часть нейрокраниума, PL – пластинки лабиринта, S – сагитта, SC – наджаберная камера, TE – передний мозг, TO – оптический тектум. Масштаб: 1 мм.
На каждой стороне головы верхняя передняя часть внутреннего уха (pars superior) лежит вдоль внутренней задней треугольной части мозговой капсулы. Утрикулюс находится в углублении стенки капсулы на уровне заднего края оптического тектума. В связи с уплощённой головой анабаса и небольшим расстоянием между мозговой капсулой и крышей черепа передний полукружный канал (ductus semicircularis anterior), по-видимому, находится в контакте с frontale. Передняя часть бокового полукружного канала (ductus semicircularis lateralis) лежит за пределами мозговой капсулы, этот канал проходит через отверстие в переднем отделе треугольной части мозговой капсулы. Общий канал (crus communis) и задний полукружный канал (ductus semicircularis posterior) сближены и лежат в узкой задней части мозговой капсулы. На левой и правой сторонах головы эти структуры находятся на небольшом расстоянии друг от друга. Нижняя часть внутреннего уха (pars inferior) включает саккулюс, заключённый в крупную овальную костную капсулу (saccular swelling), и лагену. Задняя часть костной капсулы саккулюса примыкает снизу к наиболее узкой задней части мозговой капсулы. В связи с этим канал, соединяющий утрикулюс и саккулюс (ductus utriculus-sacculus) и проходящий через отверстие в костной капсуле саккулюса, чрезвычайно короткий. Приблизительное расположение отолитов в горизонтальных плоскостях (вид сверху) изображено на рис. 1б. Схема внутреннего уха анабаса приведена на рис. 2.
Рис. 2. Схема внутреннего уха анабаса Anabas testudineus, вид с медиальной стороны: AA – ampulla anterior, AL – ampulla lateralis, AP – ampulla posterior, CRC – crus communis, DSA – ductus semicircularis anterior, DSL – ductus semicircularis lateralis, DSP – ductus semicircularis posterior, SS – костная капсула саккулюса. Ост. обозначения см. на рис. 1.
Морфология отолитов. Лапиллус находится в вентральной части утрикулюса, его передний край – на уровне вертикали через медиальную часть ampulla lateralis (рис. 2, 3а). Взаимное расположение сагитты и астерискуса проиллюстрировано на рис. 2 и 3б. Лапиллус уплощён в дорсовентральном направлении, а его передняя часть является наиболее утолщённой. Дорсальная поверхность почти плоская, вентральная – выпуклая вследствие хорошо выраженного продолговатого утолщения gibbus maculae, расширенного на переднем крае отолита (рис. 3в–3д). Регион отолита prominentia marginalis представлен краевым утолщением на латеральном крае передней дорсальной стороны отолита (рис. 3в). Передний латеральный вентральный край лапиллуса обычно имеет от двух до пяти нечётких лопастей (рис. 3г).
Рис. 3. Положение и морфология отолитов анабаса Anabas testudineus: а – вентральная часть pars superior внутреннего уха с медиальной стороны, самка TL 133 мм; б – часть левой сагитты и астерискус, вид сверху, правые отолиты удалены, самка TL 116 мм; в–д – левый лапиллус, самка TL 103 мм, вид: сверху (в), снизу (г), с латеральной стороны (д); е – правая сагитта, вид с медиальной стороны, самец TL 200 мм; ж – правый астерискус с медиальной стороны, самка TL 133 мм. AR – antirostrum, EMa – excisura major, EMi – excisura minor, C – cauda, GM – gibbus maculae, LMa – lobus major, LMi – lobus minor, O – ostium, PA – pseudoantirostrum, PM – prominentia marginalis, R – rostrum; a, p, d, v, l, m – соответственно передняя, задняя, дорсальная, вентральная, латеральная и медиальная стороны. Ост. обозначения см. на рис. 1, 2. Масштаб: 1 мм (для в–д линейка общая).
В костной капсуле саккулюса сагитта контактирует с медиальной стенкой капсулы и располагается вертикально. В горизонтальном сечении она находится под углом ~ 23° к медиальной оси нейрокраниума. Её медиальная поверхность выпуклая, латеральная – слегка вогнутая (рис. 1б). Сагитта имеет овальную форму, её дорсальный край слегка выпуклый или почти прямой в средней части, вентральный край – округлый (рис. 3е). Многочисленные мелкие лопасти заметно более выражены на вентральном крае, чем на дорсальном. Рострум, антирострум и вырезка (excisura major), отделяющая рострум от антирострума, заметны у сагитт большинства особей. На медиальной стороне сагитты находится сулкус (sulcus acusticus) синусоидальной формы с вентральной выемкой в передней части (ostium), перетяжкой (neck), представляющей собой сужение сулкуса, и задней частью (cauda). Сулкус не имеет collum (выступающей части поверхности сулкуса в области перетяжки), но хорошо заметная перетяжка отделяет остиум от удлинённой кауды. Остиум широко открывается на переднем крае отолита, а кауда расширяется в задней части и более или менее плавно переходит на заднюю область отолита. Таким образом, сулкус может быть охарактеризован как ostio-pseudocaudal. Относительная длина сагитты (OL/TL) рыб TL 36–205 мм составляет 0.038–0.072 (в среднем 0.060, стандартное отклонение 0.006, n = 93). У особей TL 50 и 205 мм масса сагитты составляет соответственно 7 и 56 мг, масса лапиллуса и астерискуса не превышает 1 мг у всех экземпляров.
Лагена обособлена от костной капсулы саккулюса, а астерискус расположен непосредственно позади этой капсулы (рис. 3б). Вместе с тем астерискус сложно идентифицировать и извлечь в связи с его малым размером и неопределённым расположением в трёхмерном пространстве. Астерискус относится к вертикальному типу (рис. 3ж). Его малая доля (lobus minor) хорошо выражена; имеется чёткая большая вырезка (excisura major), а малая вырезка (excisura minor) менее заметна. Дорсальный задний край большой доли (lobus major) астерискуса имеет несколько лопастей, которые особенно выражены в задней выступающей части отолита.
Рост отолитов и изменчивость их формы в онтогенезе. Сравнение промеров сагитт (OL, OW, A, P) самок и самцов показало, что половые различия отсутствуют (критерий Стьюдента: p > 0.05 для значений с нормальным распределением; левые отолиты: 20 самок и 12 самцов; правые отолиты: 24 самки и 10 самцов). В связи с этим проведён анализ всех отолитов, независимо от пола рыб.
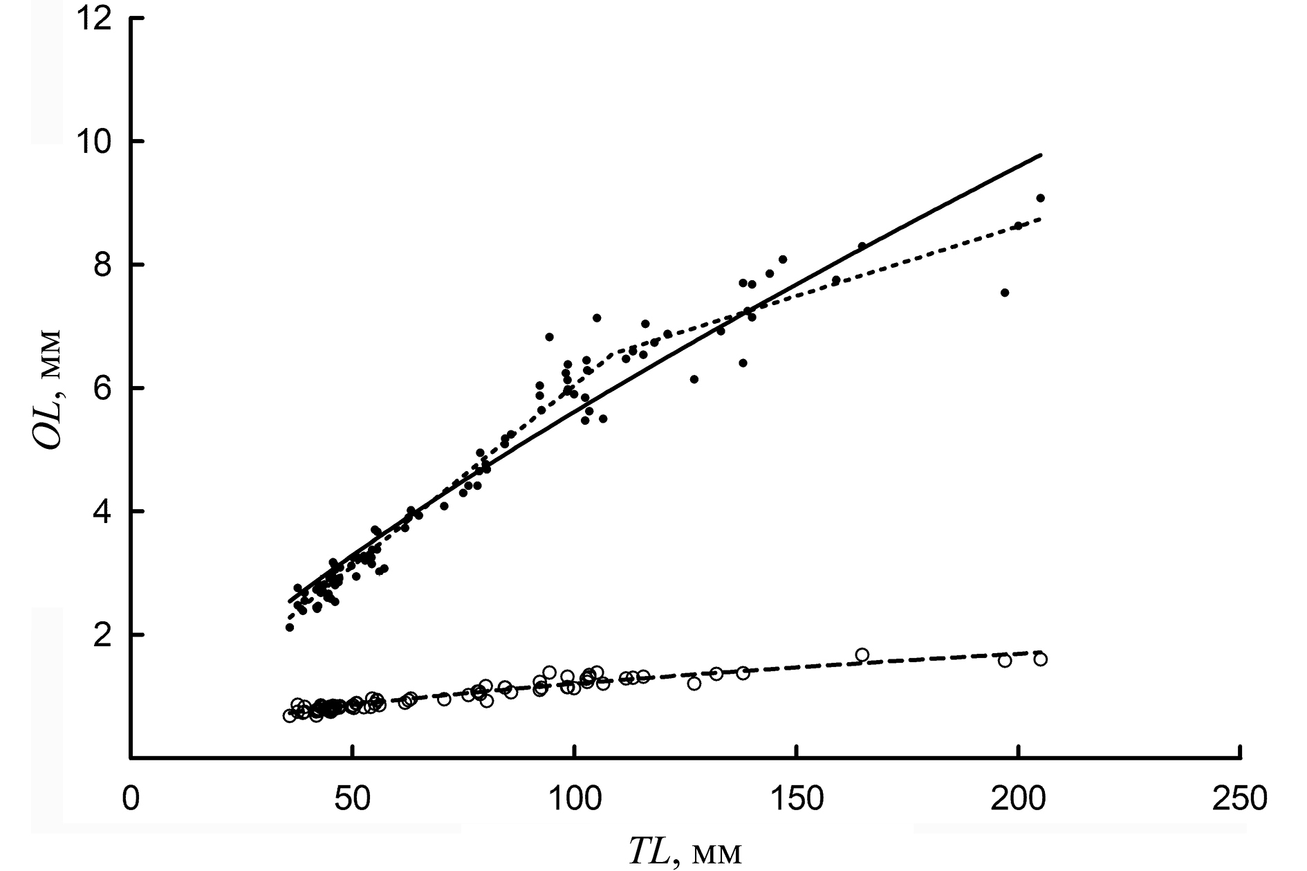
Линейный рост лапиллуса и сагитты характеризуется отрицательной аллометрией по отношению к длине тела рыбы; при этом коэффициент аллометрии существенно больше у сагитты, чем у лапиллуса (рис. 4). Соотношение между длиной сагитты и TL, выраженное в логарифмических параметрах, показало, что наклон прямой (коэффициент аллометрии 0.8504) значимо отличается от 1 (F = 79.07, p < 0.0001). Таким образом, наблюдаются значимые отличия от изометрического роста отолита. Темп роста сагитты значительно снижается у крупных особей, в связи с чем её линейный рост (помимо аллометрического уравнения) может быть описан двухсегментной линией с пересечением в точке, соответствующей TL 109 мм.
Рис. 4. Линейный рост (длина – OL) лапиллуса (○) и сагитты (●) у анабаса Anabas testudineus в зависимости от общей длины тела (TL) рыбы. Лапиллус: OL = 0.1235TL0.4954, R2 = 0.93, n = 76; сагитта: OL = 0.1128TL0.8504, R2 = 0.94, n = 98. Линейный рост сагитты может быть интерпретирован сегментной линией (две линии пересекаются в точке, соответствующей TL 109 мм, R2 = 0.97).
По мере роста рыбы форма лапиллуса значительно меняется: от овальной до отолитов с хорошо выраженными лопастями неправильной формы на латеральном и медиальном краях (рис. 5а–5д). Изменение формы сагитты в онтогенезе менее выражено и заключается в увеличении изрезанности вентрального и частично дорсального краёв (рис. 5е–5и). Выраженность рострума и антирострума значительно варьирует у разных особей и даже у левых и правых отолитов отдельных экземпляров: от выраженных выступов до их полного отсутствия и исчезновения вырезки (excisura major). В основном рострум и антирострум менее выражены у крупных отолитов, где хорошо развитые краевые лопасти маскируют excisura major.
Рис. 5. Онтогенетическая изменчивость формы лапиллуса и сагитты анабаса Anabas testudineus. а–д – левые (верхний ряд) и правые (нижний ряд) лапиллусы, вид с вентральной стороны; TL, мм: а – 39, б – 53, в – 98, г – 116, д – 197; е–и – левые (верхний ряд) и правые (нижний ряд) сагитты, вид с медиальной стороны; TL, мм: е – 63; ж – 84; з – 105; и – 159. Масштаб: 1 мм (для а–д, е–и линейка общая).
Индексы формы отолита теоретически не зависят от длины тела рыбы, но регрессии между шестью индексами формы отолитов и TL являются значимыми вследствие аллометрических изменений формы сагитты и лапиллуса (табл. 1). Анализ изменения индексов формы лапиллуса в зависимости от TL показал, что форма отолита резко меняется в процессе развития, о чём свидетельствуют изменения значений пяти индексов (R2 > 0.50) за исключением индекса прямо- угольности (RE). В то же время онтогенетические изменения формы сагитты выражены в значительно меньшей степени (R2 < 0.20).
Таблица 1. Параметры линейной регрессии между индексами формы отолитов и общей длиной тела (TL) анабаса Anabas testudineus
Индекс | M (SD) | m | k | R2 | p |
Лапиллус, n = 75 | |||||
FF | 0.64 (0.09) | −0.0022 | 0.7972 | 0.72 | < 0.0001 |
RO | 0.57 (0.06) | −0.0013 | 0.6548 | 0.54 | < 0.0001 |
PA | 19.97 (2.86) | 0.0753 | 14.6300 | 0.77 | < 0.0001 |
AR | 1.58 (0.13) | 0.0029 | 1.3710 | 0.57 | < 0.0001 |
RE | 0.70 (0.03) | −0.0003 | 0.7202 | 0.13 | 0.0012 |
EL | 0.22 (0.04) | 0.0009 | 0.1621 | 0.55 | < 0.0001 |
Сагитта, n = 98 | |||||
FF | 0.63 (0.07) | −0.0007 | 0.6791 | 0.17 | < 0.0001 |
RO | 0.48 (0.03) | −0.0002 | 0.4916 | 0.05 | 0.0279 |
PA | 20.37 (2.70) | 0.0284 | 18.1000 | 0.18 | < 0.0001 |
AR | 1.88 (0.11) | 0.0010 | 1.8050 | 0.13 | 0.0002 |
RE | 0.70 (0.02) | 0.0001 | 0.6954 | 0.06 | 0.0157 |
EL | 0.31 (0.03) | 0.0002 | 0.2865 | 0.13 | 0.0003 |
Примечание. Здесь и в табл. 2: FF – фактор формы, RO – округлость, PA – отношение квадрата периметра к площади, AR – отношение длины к ширине, RE – прямоугольность, EL – эллиптичность, n – число рыб, экз.; M (SD) – среднее значение индекса и (в скобках) среднее квадратичное отклонение; m – наклон; k – интерсепт; R2 – коэффициент детерминации; p – значимость отличия наклона прямой от нуля.
Билатеральная асимметрия отолитов. Различие между правым (R) и левым (L) лапиллусом (R − L), оценённое с использованием промеров отолитов и индексов их формы, значимо коррелирует с TL в четырёх случаях, но подобная корреляция отсутствует у сагитты (табл. 2). Для оценки величины билатеральной асимметрии использовали параметры, не коррелирующие с TL и характеризующиеся нормальным распределением значений. Среди этих параметров R − L значимо отличается от нуля у индексов формы лапиллуса FF и PA, что свидетельствует о возможной DA. Наличие FA выявлено для трёх индексов формы сагитты (AR, RE, EL).
Таблица 2. Различия (со знаком) между параметрами правого (R) и левого (L) отолитов анабаса Anabas testudineus
Параметр | M (SD) | Корреляция с TL | p (diff. 0)* | |
r | p | |||
Лапиллус, n = 42 | ||||
OL, мм | −0.0009 (0.0902) | −0.318S | 0.040 | |
OW, мм | −0.0217 (0.0579) | −0.002S | 0.989 | |
A, мм2 | −0.0193 (0.0530) | −0.255S | 0.104 | |
P, мм | −0.1115 (0.2494) | 0.120S | 0.451 | |
FF | 0.0243 (0.0652) | −0.198P | 0.208 | 0.020 |
RO | −0.0312 (0.0484) | 0.522S | < 0.001 | |
PA | −0.7016 (1.9800) | 0.124P | 0.435 | 0.027 |
AR | 0.0506 (0.1754) | −0.366S | 0.018 | |
RE | −0.0087 (0.0594) | 0.218S | 0.166 | |
EL | 0.0198 (0.0402) | −0.412S | 0.007 | |
Сагитта, n = 85 | ||||
OL, мм | −0.0113 (0.1373) | −0.126S | 0.252 | |
OW, мм | 0.0088 (0.0749) | 0.096S | 0.384 | |
A, мм2 | −0.0023 (0.3709) | −0.098S | 0.370 | |
P, мм | −0.0845 (0.7997) | −0.066S | 0.548 | |
FF | 0.0121 (0.0540) | −0.084S | 0.447 | |
RO | 0.0033 (0.0025) | 0.037S | 0.739 | |
PA | −0.4198 (2.3790) | 0.071S | 0.518 | |
AR | −0.0120 (0.0746) | −0.014P | 0.900 | 0.141 |
RE | 0.0002 (0.0166) | −0.040P | 0.717 | 0.903 |
EL | −0.0030 (0.0182) | 0.006P | 0.957 | 0.137 |
Примечание. OL, OW, A, P – соответственно длина, ширина, площадь и периметр отолита; r – коэффициент корреляции: PПирсона или SСпирмена для соответственно нормального или отличного от нормального распределения значений; полужирным шрифтом выделены коэффициенты значимых корреляций; p – достоверность корреляции, p (diff. 0) – достоверность отличия среднего значения R − L (со знаком) от нуля; * значения не приведены для распределения признака, отличного от нормального.
ОБСУЖДЕНИЕ
Взаимоотношение между структурой мозговой капсулы, морфологией мозга и локализацией внутреннего уха свойственно всем рыбам. Несмотря на мнение о слабо развитых полушариях переднего мозга и низкую обонятельную чувствительность у анабаса (Bersa, 1997 – цит. по: Binoy et al., 2015), представители этого вида имеют хорошо развитый передний мозг (Hilal, Hilal, 2019; наши данные). Обонятельные луковицы анабаса сидячие; они значительно крупнее, чем у сиамского петушка Betta splendens (Horn, Rasia-Filho, 2018. Fig. 1). Обонятельные луковицы, как и передний мозг, принимают участие в обеспечении функции обоняния (Schroeder, 1980; Satou, 1992; Hamdani, Døving, 2007), в связи с этим прежняя точка зрения о слабо развитой системе обоняния и его незначительной роли у анабаса (Datta et al., 1976; Rahmani, Khan, 1981) не подтверждается. На важную роль обоняния в жизни анабаса указывает сложная морфология этого органа (Касумян и др., 2021).
Мы обнаружили уникальную структуру (дорсальный выступ) в составе переднего мозга анабаса. До настоящего времени подобная структура не описана у лабиринтовых рыб, включая анабаса (Hilal, Hilal, 2019) и сиамского петушка (Horn, Rasia-Filho, 2018), а также у других видов рыб (Schroeder, 1980; Hussein, Cao, 2018). Тем не менее похожее образование (особое подразделение мозга) заметно на иллюстрациях мозга барабулевых рыб (Mullidae) (Kiyohara et al., 2002. Fig. 3a; Ito et al., 2007. Fig. 4B), но его описание не приведено. Обонятельные тракты входят в латеральные и вентральные регионы переднего мозга, не затрагивая его центральных и медиальных областей (Schroeder, 1980). Поэтому дорсальный выступ, по-видимому, не связан с обонятельной функцией. В соответствии с современными представлениями распределение обонятельных структур в переднем мозге видоспецифично: компоненты обонятельного тракта оканчиваются в разных регионах переднего мозга, включая паллиум (дорсальный слой) (Huesa et al., 2009; Nieuwenhuys, 2009; Lastein et al., 2015). В паллиуме костистых рыб сходятся многочисленные сенсорные пути (Briscoe, Ragsdale, 2019), в связи с чем передний мозг является не только вторичным центром обоняния, но и центром анализа зрительной информации и контроля поведения (De Bruin, 1980; Никоноров, 1982). Увеличенный передний мозг (с дорсальной выпуклостью) обнаружен у акул (Sphyrnidae) и скатов (Mobulidae), но в паллиуме этих рыб отсутствуют обонятельные пути (Ari, 2011). Предполагают, что увеличенный передний мозг у этих пластиножаберных рыб (Elasmobranchii) связан со сложным социальным поведением и обитанием в структурированных биотопах – адаптацией, наблюдаемой у многих позвоночных (Barton et al., 1995; Demski, Northcutt, 1996; Huber et al., 1997). Таким образом, наличие дорсального выступа переднего мозга анабаса может быть связано с функцией зрительной системы и контролем группового поведения (Davenport, Abdul Matin, 1990; Binoy et al., 2015; Павлов и др., 2018, 2021).
В целом морфология внутреннего уха анабаса близка к таковой, описанной у других представителей отряда Anabantiformes – макропода (Schneider, 1942) и ворчащего гурами (Ladich, Popper, 2001). В частности, общий канал и задний полукружный канал смещены к задней части внутреннего уха и проходят вблизи друг от друга, pars inferior прилегает к pars superior, а саккулюс и лагена представлены двумя относительно независимыми структурами. Подобная морфология внутреннего уха, по-видимому, типична для представителей отряда Anabantiformes (Ladich, Schulz-Mirbach, 2016). Особенность анабаса (а возможно, и остальных представителей лабиринтовых) – расположение общего канала в задней, наиболее узкой части мозговой капсулы на границе с наджаберной камерой. При этом левые и правые структуры pars superior находятся на чрезвычайно малом расстоянии друг от друга, хотя соединение между ними не прослеживается. Такое соединение между элементами внутреннего уха на обеих сторонах головы имеется у представителей Otophysi и Latimeria, но, по-видимому, отсутствует у костистых рыб продвинутых групп (Ladich, Schulz-Mirbach, 2016). Различие морфологии внутреннего уха анабаса и ворчащего гурами (Ladich, Popper, 2001. Fig. 1) проявляется в следующем: у первого вида передний и задний полукружные каналы более узкие и уплощённые в дорсовентральном направлении (из-за широкой и плоской головы и малого расстояния между мозговой капсулой и frontale), а костная капсула саккулюса чрезвычайно велика и лежит почти под всеми элементы pars superior. В горизонтальной плоскости эта капсула расположена под углом ~ 23° к средней оси нейрокраниума; при этом расстояние между задними окончаниями левой и правой костных капсул минимально (Pavlov, 2023).
Полукружные каналы ответственны за восприятие угловых ускорений и контроль перемещений рыбы по сложной траектории. Функция отолитовых органов внутреннего уха – рецепция линейных ускорений и контроль стабильного положения рыбы в трёхмерном пространстве (Kasumyan, 2004). Наличие узких и уплощённых переднего и заднего полукружных каналов, а также расположение наибольшего отолита (сагитты) в прочной костной капсуле саккулюса, возможно, являются адаптациями к перемещению анабаса на суше. Эти особенности внутреннего уха анабаса могут быть связаны с контролем положения тела вне воды. На суше после случайного или вынужденного поворота на бок анабас сразу восстанавливает вертикальное положение тела, что подтверждается видеозаписью 1 и нашими наблюдениями. В целом тело анабаса довольно высокое и уплощённое с боков, в связи с этим обеспечение вертикального положения тела во время наземных перемещений гораздо сложнее, чем в водной среде.
Другая возможная адаптация, которая может иметь отношение к поведению анабаса на суше (обеспечение вертикального положения тела при ползании, прыжках и остановках), – существенное различие в размере между отолитами. У крупных особей, способных к выходу на сушу, сагитта существенно превышает по размеру лапиллус и астерискус (рис. 4). Данные о массе лапиллуса и астерискуса анабаса в литературе отсутствуют. Вместе с тем массу астерискуса можно приблизительно оценить, исходя из (выраженного в логарифмах) соотношения между массой и площадью этого отолита у мексиканской пецилии Poecilia mexicana (Poeciliidae) (Schulz-Mirbach et al., 2010. Fig. 4A). У этого вида астерискус имеет форму, близкую к таковой у анабаса, и подсчёты, проведённые по данным для двух популяций, показали, что астерискус у анабаса TL 115, 118 и 133 мм может иметь массу соответственно 0.47, 0.47 и 0.55 мг. У этих особей масса сагитты, согласно расчётам, по меньшей мере в 50 раз больше. Масса отолита определяет функциональные свойства отолитового органа: органы с крупными отолитами обладают наибольшей абсолютной и дифференциальной чувствительностью, а органы с мелкими отолитами характеризуются более широким спектром воспринимаемых ускорений и быстрой ответной реакцией (Лычаков, 1994). В целом существенное различие по массе между отолитами внутреннего уха обеспечивает надёжную адаптацию рыбы к разнообразным и структурированным биотопам, в которых особи вынуждены перемещаться по сложным траекториям в процессе питания или избегания опасности. Различия в размере отолитов внутреннего уха особенно выражены у видов, обитающих в прибрежной зоне и в мелководных водоёмах с большим числом препятствий и укрытий. У пелагических рыб отолиты более близки по размерам (Лычаков, 1994; Kasumyan, 2004).
Можно предположить, что захватываемые рыбой пузырьки воздуха располагаются в верхней части наджаберной камеры, окружая костную капсулу саккулюса. Таким образом, как и у других представителей отряда Anabantiformes, усиление слуховой чувствительности у анабаса достигается вследствие заполненной воздухом наджаберной камеры, непосредственно граничащей с внутренним ухом (Ladich, Schulz-Mirbach, 2016). Аналогичные адаптации у некоторых других рыб (Веберов аппарат у Otophysi, выросты плавательного пузыря у представителей семейств Clupeidae, Gadidae и Notopteridae, а также тимпанические пузырьки у клюворылых рыб (Mormyridae)) способствуют расширению спектра воспринимаемых звуковых частот и повышению слуховой чувствительности. Такая адаптация оказывается полезной в мелководных водоёмах (Kasumyan, 2005; Putland et al., 2019). Удаление воздуха из наджаберной камеры у лабиринтовых рыб ведёт к резкому снижению слуха (Ladich, Schulz-Mirbach, 2016).
У рыб отолитовые органы выполняют функции равновесия и слуха. Саккулюс и лагена представляют собой биологические акселерометры, способные воспринимать линейные ускорения, в то время как утрикулюс обеспечивает главным образом вестибулярную функцию (Popper et al., 2003, 2005; Kasumyan, 2004; Popper, Fay, 2011; Putland et al., 2019). Относительная величина сагитты зависит от образа жизни рыб. Как полагают, у представителей семейства Sciaenidae сагитта особенно велика, что обусловлено способностью рыб издавать звуки и акустической внутривидовой коммуникацией (Ramcharitar et al., 2004, 2006; Cruz, Lombarte, 2004; Horodysky et al., 2008; Kasumyan, 2008). Тем не менее измерение сагитты у американского серебряного окуня Bairdiella chrysoura и серого горбыля Cynoscion regalis по имеющимся иллюстрациям (Ramcharitar et al., 2004. Fig. 3) показало, что относительная длина сагитты (OL/TL) составляет соответственно 0.041 и 0.044. Эти значения в целом меньше, чем значения индекса (0.04–0.06), известные (Павлов, 2021) для представителей подотряда Scorpaenoidei. Эти рыбы ведут уединённый образ жизни, не сопровождающийся выраженной слуховой коммуникацией. Сагитта анабаса особенно велика – OL/TL составляет в среднем 0.060. У карликового гурами величина сагитты, по-видимому, ещё больше: OL/TL = ~ 0.072 по измерениям, проведённым по рисунку соответствующей статьи (Bano, Serajuddin, 2021. Fig. 4). Среди представителей отряда Anabantiformes звукогенерация описана у гурами родов Trichopsis и Trichogaster. Ворчащий гурами издаёт звуки с помощью грудных плавников при агрессии (Ladich et al., 1992; Ladich, Popper, 2001; Kasumyan, 2008). Мраморный гурами Trichopodus trichopterus и жемчужный гурами T. leerii генерируют звуки во время питания (Виноградская и др., 2017; Касумян, Михайлова, 2022). Издавание специфических звуков анабасом также вполне возможно при размножении, питании и заглатывании пузырьков воздуха. Сравнительно крупная сагитта, по-видимому, имеется у большинства видов отряда Anabantiformes, имеющих объёмную костную капсулу саккулюса (соответствующие иллюстрации в статье Лиема (Liem, 1963)), что, по-видимому, является приспособлением к восприятию звуков от особей своего вида и других звуков. Тем не менее в целом размер и форма сагитты могут определяться филогенетической историей каждой таксономической группы.
Лапиллус анабаса относится к несельдевому (non-clupeiform) типу и имеет обычную структуру с хорошо выраженным выступом (gibbus maculae) на вентральной стороне и краевым утолщением (prominentia marginalis) латерального края отолита на его дорсальной стороне (Assis, 2005). Морфология сагитты анабаса в целом близка к таковой, описанной с использованием сканирующей электронной микроскопии (Bardhan et al., 2021). Но некоторые структуры, проиллюстрированные в цитированной статье, мы не наблюдали. В сагиттах из нашего материала остиум более узкий, бобовидная структура (bean-shaped impression) не прослеживается, а отметки роста (growth stripes) в кауде, очевидно, представляют собой продолжение лопастевидной структуры отолита. Отмеченная ранее тенденция к формированию менее выраженного рострума и уменьшению excisura major с ростом отолита (Bardhan et al., 2021) выявлена и в нашей работе. Тем не менее данный признак чрезвычайно изменчив, вплоть до полного отсутствия excisura major даже у наиболее мелких из исследованных нами особей. Значительная вариабельность формы отолитов анабаса не является неожиданной, учитывая чрезвычайную экологическую пластичность и морфологическую вариабельность вида (Ara, Nabi, 2018a, 2018b; Самойлов, Чан Дык Зьен, 2022).
Лапиллус имеет низкий темп роста и характеризуется значительной отрицательной аллометрией по отношению к длине рыбы (TL) и длине сагитты (рис. 4). Рост сагитты существенно замедляется по достижении TL ~ 109 мм. Это замедление (очевидно, отражающее уменьшение темпа роста рыбы), по-видимому, связано с началом полового созревания. В нашей выборке несколько самок и самцов имели гонады заключительных стадий зрелости (III и IV) при TL 75–116 мм (n = 19). Самки анабаса (50 и 100% особей популяции) в заболоченной местности Бангладеш достигали половой зрелости, соответственно, при TL 115 и 145 мм (Mawa et al., 2022), в то время как культивируемые в Индии рыбы обоих полов становятся половозрелыми при достижении TL ~ 80 мм (Priyatha, Chitra, 2022).
В онтогенезе форма лапиллуса меняется быстрее, по сравнению с изменением формы сагитты, что подтверждается более выраженным наклоном прямых, описывающих линейную регрессию между индексами формы отолита и TL и соответственно бо́льшими коэффициентами детерминации (табл. 1). Утрикулюс, в состав которого входит лапиллус, воспринимает линейные ускорения, связанные с перемещением рыбы, и контролирует ориентацию тела в пространстве (Boyle et al., 2018). В связи с этим отмеченные нами значительные изменения формы лапиллуса в онтогенезе могут быть связаны с приобретением способности к сложным перемещениям, включая наземные. Как известно, направленные перемещения анабаса на суше при вертикальном положении тела обеспечиваются за счёт хвостового стебля, поочерёдных движений широко расставленных жаберных крышек с колючими подкрышками (subopercula) и грудных плавников. Рыбы могут преодолевать подъёмы (до 25°) и вертикальные препятствия, демонстрируя сложное поведение, включая прыжки (Davenport, Abdul Matin, 1990; Павлов и др., 2021). В экспериментальной установке средняя скорость сухопутных перемещений анабаса TL ~ 71 мм составила 4.3 см/с (Павлов и др., 2021), максимальная скорость ползания рыб TL 143 мм равна 25.6 см/с (Davenport, Abdul Matin, 1990).
Лапиллус и сагитта являются билатерально симметричными структурами (рис. 5). Наличие DA, зарегистрированной для двух индексов формы лапиллуса (табл. 2), можно объяснить несколькими причинами: 1) сравнительно небольшой величиной выборки; 2) быстрыми изменениями формы лапиллуса в процессе развития, ведущими к временному изменению формы отолита на одной стороне тела; 3) реальной DA вследствие латерализации, связанной с периодическими сухопутными перемещениями рыб и преодолением препятствий с преимущественным использованием одной стороны тела. Случаи DA формы отолитов известны как для камбаловых рыб, так и для рыб, обладающих билатерально симметричным телом (Mille et al., 2015; Mahé et al., 2019, 2021), но её оценку следует проводить с особой тщательностью (Palmer, 1994; Palmer et al., 2010).
Представляется очевидным, что адаптации анабаса к специфической ориентации и поведению в процессе ограниченных выходов на сушу должны отражаться на структуре отолитов. Тем не менее выяснение межвидовых различий у Anabantiformes представляет сложность, в связи с полным отсутствием сведений о морфологии лапиллуса и весьма ограниченными данными о структуре сагитты у лабиринтовых рыб. Схематичные иллюстрации формы сагитты у 12 видов рыб семейств Anabantidae, Helostomatidae и Osphronemidae (Liem, 1963, Figs. 88–90) свидетельствуют, что анабас обладает удлинённой сагиттой (AR ~1.88), в то время как сагитты остальных видов (за исключением Sandelia capensis) имеют бо́льшую высоту (ширину). Сагитта макропода, изображённая Шнейдером (Schneider, 1942. Fig. 3a, 3b), также сравнительно высока (AR = 1.21–1.24), с хорошо выраженными рострумом, антирострумом и широким сулкусом. Сагитта карликового гурами имеет похожую форму (AR = 1.22–1.33 по измерениям отолитов на рисунке: Bano, Serajuddin, 2021. Fig. 4), короткий и широкий остиум, расположенный под углом ~ 126° к кауде, хорошо заметный collum и удлинённую кауду. Высокая сагитта свойственна придонным рыбам, приуроченным к мягким субстратам (Jaramillo et al., 2014). В связи с этим удлинённая сагитта анабаса может быть связана с его обитанием преимущественно в толще воды и со способностью к активным направленным перемещениям на суше.
Структура сулкуса, непосредственно контактирующего с макулой, особенно существенна для различения звуков и обеспечения ориентации в пространстве (Popper et al., 2003, 2005). Отношение площади сулкуса к площади сагитты (SA/A) является близким у анабаса и карликового гурами: соответственно 0.181 (0.139–0.233, n = 4) и ~0.180 (по измерениям отолита на рисунке: Bano, Serajuddin, 2021. Fig. 2). Вместе с тем ориентация волосковых клеток в зонах макулы у этих видов может быть различной. Например, она различается у трёх видов рыб семейства Cichlidae с разной морфологией плавательного пузыря (Schulz-Mirbach et al., 2014). Как известно, распространение и свойства звука различаются в воде и на суше (Putland et al., 2019), в связи с чем особенность восприятия анабасом звуковых колебаний в этих средах представляет предмет для дальнейших исследований.
Таким образом, морфологические адаптации внутреннего уха анабаса к наземным перемещениям этой рыбы остаются в значительной степени неясными. Роль многих других факторов, включая специальные адаптации к среде, особенности акустической коммуникации и филогенетическую историю каждого вида, может отражаться на морфологии полукружных каналов, отолитовых органов и отолитов. К аналогичному выводу пришли авторы, исследовавшие структуру отолитов у трёх видов отряда Gobiiformes с разной степенью адаптации к амфибийному образу жизни: форма сагитты и сулкуса различна, но непосредственная связь с образом жизни остаётся под вопросом (Ghanbarifardi et al., 2020). Строение внутреннего уха и структура отолитов у разных видов отряда Anabantiformes, у анабаса из популяций с потенциально разной способностью к выходу на сушу, а также особенности акустической коммуникации и звуковой чувствительности являются возможными направлениями последующих работ. Такие исследования позволят прояснить связь между морфологическими особенностями внутреннего уха и параметрами среды.
БЛАГОДАРНОСТИ
Мы благодарим Л.Т.К. Оань (Приморское отделение Совместного российско-вьетнамского тропического научно-исследовательского и технологического центра, г. Нячанг, Вьетнам) за помощь в сборе материала. Благодарим трёх анонимных рецензентов за ценные замечания по тексту рукописи.
ФИНАНСИРОВАНИЕ РАБОТЫ
Исследование выполнено в рамках научного проекта государственного задания МГУ CITIS № 121032300100-5 и при финансовой поддержке Российско-вьетнамского тропического научно-исследовательского и технологического центра, проект “Эколан Э3.2, задача 2”.
1 Перемещения анабаса Anabas testudineus вне воды (https://disk.yandex.ru/i/T2OL5xXp_EA92Q). Видеосъёмка 2021 г., автор Е.Д. Павлов.
Об авторах
Д. А. Павлов
Московский государственный университет
Автор, ответственный за переписку.
Email: dimi-pavlov@yandex.ru
Россия, Москва
А. О. Касумян
Институт проблем экологии и эволюции РАН
Email: dimi-pavlov@yandex.ru
Россия, Москва
Список литературы
- Виноградская М.И., Михайлова Е.С., Касумян А.О. 2017. Вкусовые предпочтения, оросенсорное тестирование и генерация звуков при питании у жемчужного гурами Trichopodus leerii (Osphronemidae) // Вопр. ихтиологии. Т. 57. № 3. С. 324–337. https://doi.org/10.7868/S004287521703016X
- Захаров В.М. 1987. Асимметрия животных (популяционно-феногенетический подход). М.: Наука, 215 с.
- Зворыкин Д.Д. 2020. Являются ли сухопутные перемещения амфибийных рыб латеральными миграциями? // Журн. общ. биологии. Т. 81. № 6. С. 444–457. https://doi.org/10.31857/S0044459620060081
- Касумян А.О., Михайлова Е.С. 2022. Звукогенерация у мраморного гурами Trichopodus trichopterus (Osphronemidae) при питании // Вопр. ихтиологии. Т. 62. № 5. С. 645–652. https://doi.org/10.31857/S0042875222050101
- Касумян А.О., Пащенко Н.И., Оань Л.Т.К. 2021. Морфология органа обоняния анабаса Anabas testudineus (Anabantidae, Perciformes) // Зоол. журн. Т. 100. № 1. С. 40–56. https://doi.org/10.31857/S0044513420110045
- Лычаков Д.В. 1994. Отолиты круглоротых и рыб: эволюция и некоторые количественные соотношения // Сенсор. системы. Т. 8. № 3–4. С. 7–15.
- Макеева А.П. 1992. Эмбриология рыб. М.: Изд-во МГУ, 216 с.
- Никоноров С.И. 1982. Передний мозг и поведение рыб. М.: Наука, 208 с.
- Павлов Д.А. 2021. Морфология отолитов и родственные отношения некоторых видов рыб подотряда Scorpaenoidei // Вопр. ихтиологии. Т. 61. № 1. С. 20–34. https://doi.org/10.31857/S0042875221010124
- Павлов Е.Д., Павлов Д.С., Ганжа Е.В. и др. 2018. Влияние тиомочевины на поведение анабаса Anabas testudineus в потоке воды // Там же. Т. 58. № 5. С. 584–588. https://doi.org/10.1134/S0042875218050181
- Павлов Е.Д., Павлов Д.С., Ганжа Е.В. и др. 2021. Влияние уровня воды на выход анабаса Anabas testudineus на сушу и особенности его перемещений // Там же. Т. 61. № 5. С. 584–589. https://doi.org/10.31857/S0042875221050143
- Самойлов К.Ю., Чан Дык Зьен. 2022. Морфологическая изменчивость и особенности биологии анабаса Anabas testudineus в водных объектах разного типа // Биология внутр. вод. № 3. С. 212–221. https://doi.org/10.31857/S0320965222020127
- Ara I., Nabi M.R. 2018a. Morphometric and meristic comparison of local and Thai Anabas testudineus // J. Fish. V. 6. № 2. P. 599–604. https://doi.org/10.17017/j.fish.26
- Ara I., Nabi M.R. 2018b. Osteological comparison between local and Thai climbing perch in terms of neurocranium, vertebral column and accessory respiratory organ // Int. J. Fish. Aquat. Stud. V. 6. № 4. P. 484–491.
- Ari C. 2011. Encephalization and brain organization of mobulid rays (Myliobatiformes, Elasmobranchii) with ecological perspectives // Open Anat. J. V. 3. P. 1–13. https://doi.org/10.2174/1877609401103010001
- Assis C.A. 2003. The lagenar otoliths of teleosts: their morphology and its application in species identification, phylogeny and systematics // J. Fish Biol. V. 62. № 6. P. 1268–1295. https://doi.org/10.1046/j.1095-8649.2003.00106.x
- Assis C.A. 2005. The utricular otoliths, lapilli, of teleosts: their morphology and relevance for species identification and systematics studies // Sci. Mar. V. 69. № 2. P. 259–273. https://doi.org/10.3989/SCIMAR.2005.69N2259
- Bano F., Serajuddin M. 2021. Sulcus and outline morphometrics of sagittal otolith variability in freshwater fragmented populations of dwarf gourami, Trichogaster lalia (Hamilton, 1822) // Limnologica. V. 86. Article 125842. https://doi.org/10.1016/j.limno.2020.125842
- Bardhan I., Roy S., Mukhopadhyay A., Tripathy B. 2021. Ultrastructure of the sagitta otolith in different body size groups of climbing perch Anabas testudineus (Anabantidae) // J. Ichthyol. V. 61. № 1. P. 166–174. https://doi.org/10.1134/S0032945221010033
- Barton R.A., Purvis A., Harvey P.H. 1995. Evolutionary radiation of visual and olfactory brain systems in primates, bats and insectivores // Phil. Trans. Res. Soc. Lond. B. V. 348. № 1326. P. 381–392. https://doi.org/10.1098/rstb.1995.0076
- Binoy V.V., Kasturirangan R., Sinha A. 2015. Sensory cues employed for the acquisition of familiarity-dependent recognition of a shoal of conspecifics by climbing perch (Anabas testudineus Bloch) // J. Biosci. V. 40. № 2. P. 225–232. https://doi.org/10.1007/s12038-015-9529-1
- Boyle R., Ehsanian R., Mofrad A. et al. 2018. Morphology of the utricular otolith organ in the toadfish (Opsanus tau) // J. Comp. Neurol. V. 526. № 9. P. 1571–1588. https://doi.org/10.1002/cne.24429
- Briscoe S.D., Ragsdale S.W. 2019. Evolution of the chordate telencephalon // Curr. Biol. V. 29. № 13. P. R647–R662. https://doi.org/10.1016/j.cub.2019.05.026
- Cruz A., Lombarte A. 2004. Otolith size and its relationship with color patterns and sound production // J. Fish Biol. V. 65. № 6. P. 1512–1525. https://doi.org/10.1111/J.0022-1112.2004.00558.X
- Datta N.C., Saha A.K., Das A. 1976. Investigation on the morphology of the olfactory apparatus of Anabas testudineus (Bloch) // J. Inland Fish. Soc. India. V. 8. P. 13–18.
- Davenport J., Abdul Matin A.K.M. 1990. Terrestrial locomotion in the climbing perch, Anabas testudineus (Bloch) (Anabantidea, Pisces) // J. Fish Biol. V. 37. № 1. P. 175–184. https://doi.org/10.1111/j.1095-8649.1990.tb05938.x
- De Bruin J.P.C. 1980. Telencephalon and behavior in teleost fish // Comparative neurology of the telencephalon. Boston: Springer. P. 175–201. https://doi.org/10.1007/978-1-4613-2988-6_7
- Demski L.S., Northcutt R.G. 1996. The brain and cranial nerves of the white shark: an evolutionary perspective // Great white sharks: the biology of Carcharodon carcharias. San Diego: Acad. Press. P. 121–130. https://doi.org/10.1016/B978-012415031-7/50013-6
- Froese R., Pauly D. (eds.). 2022. FishBase. World Wide Web electronic publication (www.fishbase.org. Version 06/2022).
- Gaemers P.A.M. 1984. Taxonomic position of Cichlidae (Pisces, Perciformes) as demonstrated by the morphology of their otoliths // Neth. J. Zool. V. 34. № 4. P. 566–595. https://doi.org/10.1163/002829684X00290
- Ghanbarifardi M., Gut C., Gholami Z. et al. 2020. Possible link between the structure of otoliths and amphibious mode of life of three mudskipper species (Teleostei: Gobioidei) from the Persian Gulf // Zool. Middle East. V. 66. № 4. P. 311–320. https://doi.org/10.1080/09397140.2020.1805140
- Hamdani E.H., Døving K.B. 2007. The functional organization of the fish olfactory system // Prog. Neurobiol. V. 82. № 2. P. 80–86. https://doi.org/10.1016/j.pneurobio.2007.02.007
- Hilal S., Hilal F. 2019. Morphological variations in the brain of some selected Teleosts // J. Pharm. Innov. V. 8. № 6. P. 316–320.
- Horn Â.C.M., Rasia-Filho A.A. 2018. The cytoarchitecture of the telencephalon of Betta splendens Regan 1910 (Perciformes: Anabantoidei) with a stereological approach to the supracommissural and postcommissural nuclei // Anat. Rec. V. 301. № 1. P. 88–110. https://doi.org/10.1002/ar.23699
- Horodysky A.Z., Brill R.W., Fine M.L. et al. 2008. Acoustic pressure and particle motion thresholds in six sciaenid fishes // J. Exp. Biol. V. 211. № 9. P. 1504–1511. https://doi.org/10.1242/jeb.016196
- Huber R., van Staaden M.J., Kaufman L.S., Liem K.F. 1997. Microhabitat use, trophic patterns and the evolution of brain structure in African cichlids // Brain Behav. Evol. V. 50. № 3. P. 167–182. https://doi.org/10.1159/000113330
- Huesa G., Anadón R., Folgueira M., Yáñez J. 2009. Evolution of the pallium in fishes // Encyclopedia of Neuroscience. Berlin: Springer. P. 1400–1404. https://doi.org/10.1007/978-3-540-29678-2_3166
- Hussein M.N.A., Cao X. 2018. Brain anatomy and histology // Benha Vet. Med. J. V. 35. № 2. P. 446–463. https://doi.org/10.21608/bvmj.2018.96440
- Ito H., Ishikawa Y., Yoshimoto M., Yamamoto N. 2007. Diversity of brain morphology in Teleosts: brain and ecological niche // Brain Behav. Evol. V. 69. № 2. P. 76–86. https://doi.org/10.1159/000095196
- Jaramillo A.M., Tombari A.D., Dura V.B. et al. 2014. Otolith eco-morphological patterns of benthic fishes from the coast of Valencia (Spain) // Thalassas. V. 30. № 1. P. 57–66.
- Johansen K. 1970. Air breathing in fishes // Fish Physiology. V. IV. N.Y.: Acad. Press. P. 361–411. https://doi.org/10.1016/S1546-5098(08)60134-X
- Kasumyan A.O. 2004. The vestibular system and sense of equilibrium in fish // J. Ichthyol. V. 44. Suppl. 2. P. S224–S268.
- Kasumyan A.O. 2005. Structure and function of auditory system in fish // Ibid. V. 45. Suppl. 2. P. S223–S270.
- Kasumyan A.O. 2008. Sounds and sound production in fishes // Ibid. V. 48. № 11. P. 981–1030. https://doi.org/10.1134/S0032945208110039
- Kiyohara S., Sakata Y., Yoshitomi T., Tsukahara J. 2002. The ‘goatee’ of goatfish: innervation of taste buds in the barbels and their representation in the brain // Proc. R. Lond. Soc. Bl. V. 269. № 1502. P. 1773–1780. https://doi.org/10.1098/rspb.2002.2086
- Kumar K., Lalrinsanga P., Sahoo M. et al. 2013. Length-weight relationship and condition factor of Anabas testudineus and Channa species under different culture systems // World J. Fish Mar. Sci. V. 5. № 1. P. 74–78. https://doi.org/10.5829/idosi.wjfms.2013.05.01.64201
- Ladich F., Popper A.N. 2001. Comparison of the inner ear ultrastructure between teleost fishes using different channels for communication // Hear. Res. V. 154. № 1–2. P. 62–72. https://doi.org/10.1016/S0378-5955(01)00217-9
- Ladich F., Schulz-Mirbach T. 2016. Diversity in fish auditory systems: one of the riddles of sensory biology // Front. Ecol. Evol. V. 4. Article 28. https://doi.org/10.3389/fevo.2016.00028
- Ladich F., Bischof C., Schleinzer G., Fuchs A. 1992. Intra- and interspecific differences in agonistic vocalizations in croaking gouramis (genus: Trichopsis, Anabantoidei, Teleostei) // Bioacoustics. V. 4. № 2. P. 131–141. https://doi.org/10.1080/09524622.1992.9753212
- Lastein S., Hamdani A.H., Døving K.B. 2015. Olfactory discrimination of pheromones // Fish pheromones and related cues. Oxford: John Wiley and Sons. P. 159–195. https://doi.org/10.1002/9781118794739.ch8
- Liem K.F. 1963. The comparative osteology and phylogeny of the Anabantoidei (Teleostei, Pisces). Urbana: Univ. Illinois Press, 149 p. https://doi.org/10.5962/bhl.title.50281
- Liem K.F. 1987. Functional design of the air ventilation apparatus and overland excursions by teleosts // Fieldiana. Zool. New Ser. № 37. P. 1–29. https://doi.org/10.5962/bhl.title.2823
- Lin C.-H., Chang C.-W. 2012. Otolith atlas of Taiwan fishes. NMMBA Atlas Series. V. 12. Pingtung: Natl. Mus. Mar. Biol. Aquarium, 415 p.
- Mahé K., Ider D., Massaro A. et al. 2019. Directional bilateral asymmetry in otolith morphology may affect fish stock discrimination based on otolith shape analysis // ICES J. Mar. Sci. V. 76. № 1. P. 232–243. https://doi.org/10.1093/icesjms/fsy163
- Mahé K., MacKenzie K., Ider D. et al. 2021. Directional bilateral asymmetry in fish otolith: a potential tool to evaluate stock boundaries? // Symmetry. V. 13. Article 987. https://doi.org/10.3390/sym13060987
- Mawa Z., Hossain M.Y., Hasan M.R., Asaduzzaman M. 2022. Reproductive aspects of Anabas testudineus collected from the Gajner Beel wetland in Bangladesh: implications for its conservation under changing eco-climatic conditions and suggestions for best aquaculture practice // Environ. Sci. Pollut. Res. V. 29. № 44. P. 66277–66294. https://doi.org/10.1007/s11356-022-20423-7
- Mille T., Mahe K., Villanueva M.C. et al. 2015. Sagittal otolith morphogenesis asymmetry in marine fishes // J. Fish Biol. V. 87. № 3. P. 646–663. https://doi.org/10.1111/jfb.12746
- Nieuwenhuys R. 2009. The forebrain of actinopterygians revisited // Brain Behav. Evol. V. 73. № 4. P. 229–252. https://doi.org/10.1159/000225622
- Palmer A.R. 1994. Fluctuating asymmetry analyses: a primer // Developmental instability: its origins and evolutionary implications. V. 2. Dordrecht: Springer. P. 335–364. https://doi.org/10.1007/978-94-011-0830-0_26
- Palmer A.R., Strobeck C. 1986. Fluctuating asymmetry: measurement, analysis, patterns // Ann. Rev. Ecol. Syst. V. 17. № 1. P. 391–421. https://doi.org/10.1146/ANNUREV.ES.17.110186.002135
- Palmer M., Linde M., Morales-Nin B. 2010. Disentangling fluctuating asymmetry from otolith shape // Mar. Ecol. Prog. Ser. V. 399. P. 261–272. https://doi.org/10.3354/meps08347
- Pavlov D.A. 2023. Feeding-related skull structures of climbing perch Anabas testudineus (Anabantidae) // J. Ichthyol. V. 63. № 4. P. 788–796. https://doi.org/10.1134/S0032945223040148
- Popper A.N., Fay R.R. 2011. Rethinking sound detection by fishes // Hear. Res. V. 273. № 1–2. P. 25–36. https://doi.org/10.1016/j.heares.2009.12.023
- Popper A.N., Fay R.R., Platt C., Sand O. 2003. Sound detection mechanisms and capabilities of teleost fishes // Sensory processing in aquatic environments. N.Y.: Springer. P. 3–38. https://doi.org/10.1007/978-0-387-22628-6_1
- Popper A.N., Ramcharitar J., Campana S.E. 2005. Why otoliths? Insights from inner ear physiology and fisheries biology // Mar. Freshw. Res. V. 56. № 5. P. 497–504. https://doi.org/10.1071/MF04267
- Priyatha C.V., Chitra K.C. 2022. Evaluation of the reproductive cycle and gonadal development in the climbing perch, Anabas testudineus (Bloch, 1792) in captivity // J. Fish. V. 10. № 1. Article 101206. https://doi.org/10.17017/j.fish.364
- Putland R.L., Montgomery J.C., Radford C.A. 2019. Ecology of fish hearing // J. Fish. Biol. V. 95. № 1. P. 39–52. https://doi.org/10.1111/jfb.13867
- Rahmani A.R., Khan S.M. 1981. The olfactory organ in a few Indian teleosts // Curr. Sci. V. 50. № 7. P. 329–331. http://www.jstor.org/stable/24085788
- Ramcharitar J.U., Deng X., Ketten D., Popper A.N. 2004. Form and function in the unique inner ear of a teleost: the silver perch (Bairdiella chrysoura) // J. Comp. Neurol. V. 475. № 4. P. 531–539. https://doi.org/10.1002/cne.20192
- Ramcharitar J.U., Dennis M., Higgs D.M., Popper A.N. 2006. Audition in sciaenid fishes with different swim bladder-inner ear configurations // J. Acoust. Soc. Am. V. 119. № 1. P. 439–443. https://doi.org/10.1121/1.2139068
- Satou M. 1992. Synaptic organization of the olfactory bulb and its central projection // Fish chemoreception. London: Chapman and Hall. P. 40–59. https://doi.org/10.1007/978-94-011-2332-7_3
- Schneider H. 1942. Die Bedeutung der Atemhöhle der Labyrinthfische für ihr Hörvermögen // Z. Vergl. Physiol. V. 29. № 1–2. P. 172–194. https://doi.org/10.1007/BF00304447
- Schroeder D.M. 1980. The telencephalon of Teleosts // Comparative neurology of the telencephalon. Boston: Springer. P. 99–115. https://doi.org/10.1007/978-1-4613-2988-6_4
- Schulz-Mirbach T., Ladich F., Riesch R., Plath M. 2010. Otolith morphology and hearing abilities in cave- and surface-dwelling ecotypes of the Atlantic molly, Poecilia mexicana (Teleostei: Poeciliidae) // Hear. Res. V. 267. № 1–2. P. 137–148. https://doi.org/10.1016/j.heares.2010.04.001
- Schulz-Mirbach T., Ladich F., Plath M. et al. 2014. Are accessory hearing structures linked to inner ear morphology? Insights from 3D orientation patterns of ciliary bundles in three cichlid species // Front. Zool. V. 11. Article 25. https://doi.org/10.1186/1742-9994-11-25
- Secor D.H., Dean J.M., Laban E.H. 1991. Manual for otolith removal and preparation for microstructural examination. Washington: Electr. Power Res. Inst., 87 p.
- Seshagiri B.V., Raju K.V. 2001. Validity of Anabas oligolepis Bleeker, 1855 and Coius cobojius Hamilton-Buchanan, 1822 a junior synonym of A. testudineus (Bloch, 1795) (Osteichthyes: Anabantidae) // J. Aqua. Biol. V. 16. № 2. P. 29–31.
- Srinu G., Padmavathi P., Chatla D. 2019. Identification and validation of Anabas spp. (Osteichthyes: Anabantidae) through morphology and DNA barcoding from Lake Kolleru, Andhra Pradesh, India // J. Coast. Res. V. 86. № sp1. P. 142–148. https://doi.org/10.2112/SI86-022.1
- Talwar P.K., Jhingran A.G. 1992. Inland fishes of India and adjacent countries. V. 2. Rotterdam: A.A. Balkema. P. 543–1158.
- Urick R.J. 1983. Principles of underwater sound. N.Y.: McGraw-Hill Inc., 423 p.
- Van Valen L. 1962. A study of fluctuating asymmetry // Evolution. V. 16. № 2. P. 125–142. https://doi.org/10.1111/j.1558-5646.1962.tb03206.x
Дополнительные файлы








