Age, Growth, and Maturity of Painted Comber Serranus scriba (Serranidae) from the Crimea Region, the Black Sea
- Authors: Kutsyn D.N.1, Tamoikin I.Y.1, Samotoy Y.V.1, Donchik P.I.1
-
Affiliations:
- Institute of Biology of the Southern Seas, Russian Academy of Sciences, Sevastopol, Russia
- Issue: Vol 63, No 5 (2023)
- Pages: 545-553
- Section: Articles
- URL: https://bakhtiniada.ru/0042-8752/article/view/135228
- DOI: https://doi.org/10.31857/S0042875223050077
- EDN: https://elibrary.ru/VQCGWG
- ID: 135228
Cite item
Full Text
Abstract
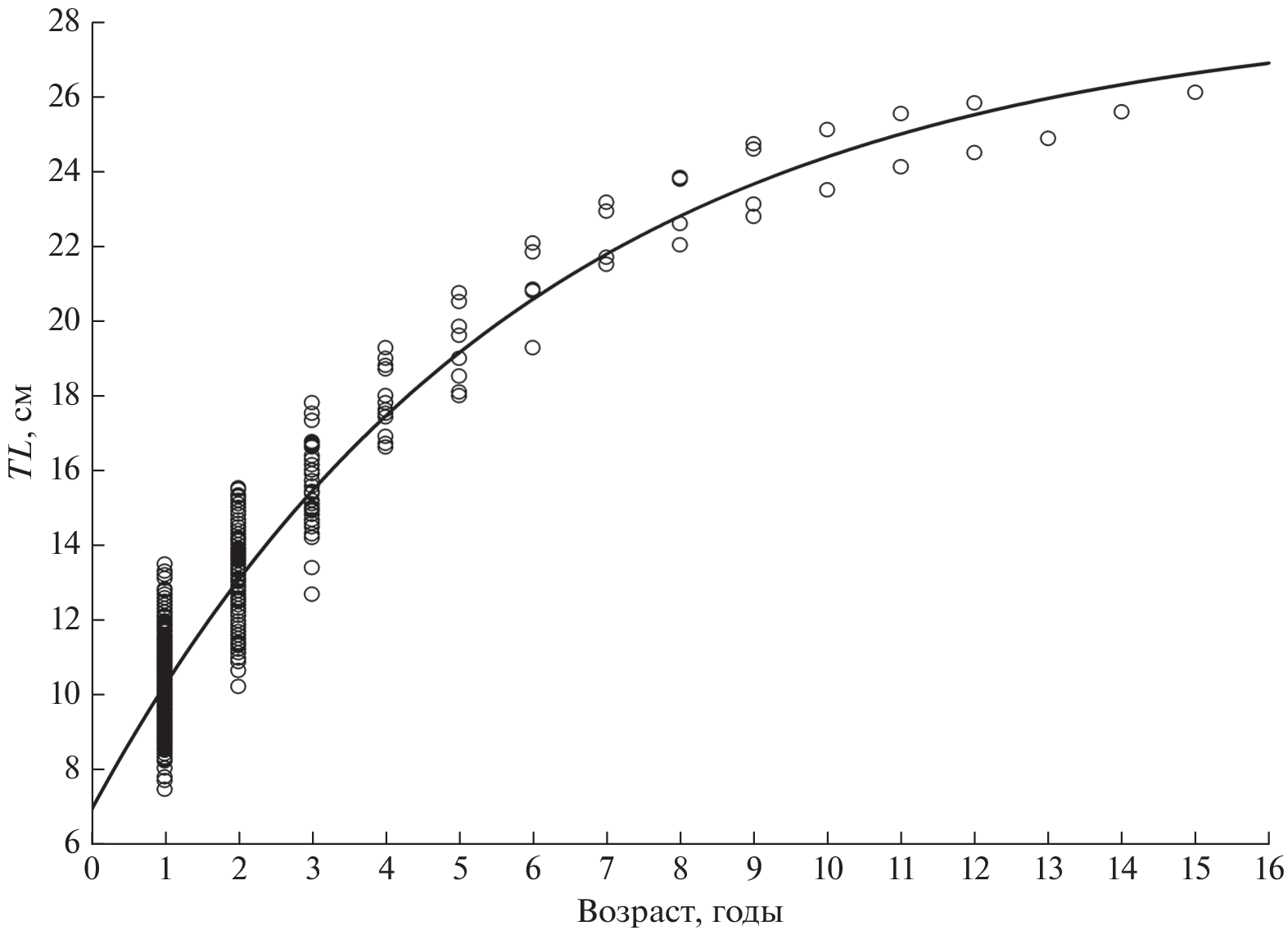
The painted comber Serranus scriba, a subtropical marine fish species assigned to the famiy Serranidae in the Black Sea is insufficiently studied. It is a simultaneous hermaphrodite fish. Data on age, growth, and maturity of the painted comber inhabiting the Black sea area around Crimea, including its spatial variation within the entire habitat range are reported. Overall, 537 specimens caught from July to October 2022 are analyzed. The biggest specimen ever caught in the Black Sea with 26.1 cm total length and 265.1 g weight at the age of 15 years was registered. The values for the von Bertalnffy equation parameters were estimated. Thus, asymptotic length, asymptotic weight, and growth constant made up 28.3 cm, 358.6 g, and 0.17 year−1, respectively. The exponent of 3.10 in the length-weight relationship equation (positive allometry) was estimated. Maturity was defined in 50% spesimens at 12.0 ± 0.2 cm total length in the third year of life. It was ascertained that spatial variation in the life history traits for the specimens is weakly expressed. The painted comber inhabiting the Black Sea is slightly different from the representatives of this species found in the Aegean and Adriatic Seas in age, size, and growth. In addition, the biggest and faster-growing specimens are recorded more often under the low-latitude climate conditions, in the water areas off Egypt and the Canary Islands.
Keywords
About the authors
D. N. Kutsyn
Institute of Biology of the Southern Seas, Russian Academy of Sciences, Sevastopol, Russia
Email: makaira88@gmail.com
Россия, Севастополь
I. Yu. Tamoikin
Institute of Biology of the Southern Seas, Russian Academy of Sciences, Sevastopol, Russia
Email: makaira88@gmail.com
Россия, Севастополь
Yu. V. Samotoy
Institute of Biology of the Southern Seas, Russian Academy of Sciences, Sevastopol, Russia
Email: makaira88@gmail.com
Россия, Севастополь
P. I. Donchik
Institute of Biology of the Southern Seas, Russian Academy of Sciences, Sevastopol, Russia
Author for correspondence.
Email: makaira88@gmail.com
Россия, Севастополь
References
- Мина М.В., Клевезаль Г.А. 1976. Рост животных. М.: Наука, 291 с.
- Никольский Г.В. 1974. Теория динамики стада рыб. М.: Пищ. пром-сть, 448 с.
- Рикер У.Е. 1979. Методы оценки и интерпретации биологических показателей популяций рыб. М.: Пищ. пром-сть, 408 с.
- Световидов А.Н. 1964. Рыбы Черного моря. М.: Наука, 550 с.
- Смирнов А.Н. 1959. Материалы по биологии рыб Чёрного моря в районе Карадага // Тр. Карадаг. биол. станции. Т. 15. С. 31–109.
- Ткачева Т.С. 1952. К биологии каменного окуня (Serranus scriba L.) в Чёрном море // Там же. Т. 12. С. 26–28.
- Abdel-Aziz S.H. 1991. Sexual differences in growth of the painted comber, Serranus scriba (Linnaeus, 1758) (Teleostei, Serranidae) from the south eastern Mediterranean // Cybium. V. 15. № 3. P. 221–228.
- Alós J., Palmer M., Balle S. et al. 2010. Individual growth pattern and variability in Serranus scriba: a Bayesian analysis // ICES J. Mar. Sci. V. 67. № 3. P. 502–512. https://doi.org/10.1093/icesjms/fsp265
- Audzijonyte A., Richards S.A., Stuart-Smith R.D. et al. 2020. Fish body sizes change with temperature but not all species shrink with warming // Nat. Ecol. Evol. V. 4. № 6. P. 809–814. https://doi.org/10.1038/s41559-020-1171-0
- Aydin M. 2017. Some biological parameters of painted comber (Serranus scriba L., 1758) in the Black Sea // Turk. J. Marit. Mar. Sci. V. 3. № 1. P. 34–41. Available: https://dergipark.org.tr/en/pub/trjmms/issue/40146/477545
- Bertalanffy L. 1938. A quantitative theory of organic growth (Inquiries on growth laws. II) // Hum. Biol. V. 10. P. 181–213.
- Bilge G. 2018. Otolith biometry of Serranus scriba (Linnaeus, 1758) from the Southern Aegean Sea // Nat. Eng. Sci. V. 3. № 3. P. 259–264. https://doi.org/10.28978/nesciences.468665
- Bouain A. 1983. Croissance lineaire des serrans des cotes sud-est de la Tunisie // Rapp. Comm. Int. Mer Médit. V. 28. № 5. P. 87–91.
- Fisher W., Petersen C.W. 1987. The evolution of sexual patterns in the seabasses // BioScience. V. 37. № 7. P. 482–489. https://doi.org/10.2307/1310420
- Froese R., Pauly D. (eds.). 2022. FishBase. World Wide Web electronic publication (www.fishbase.org. Version 12/2022).
- Gallucci V.F., Quinn T.J. 1979. Reparameterizing, fitting, and testing a simple growth model // Trans. Am. Fish. Soc. V. 108. № 1. P. 14–25. https://doi.org/10.1577/1548-8659(1979)108%3C14:RFATAS%3E2.0.CO;2
- Karakulak F.S., Erk H., Bilgin B. 2006. Length-weight relationships for 47 coastal fish species from the Northern Aegean Sea, Turkey // J. Appl. Ichthyol. V. 22. № 4. P. 274–278. https://doi.org/10.1111/j.1439-0426.2006.00736.x
- Lee R.M. 1920. A review of the methods of age and growth determinations in fishes by means of scales // Fish. Invest. London. Ser. 2. V. 4. № 2. 32 p.
- Manual of fisheries science. 1974. Pt. 2: Methods of resource investigation and their application // FAO Fish. Tech. Rep. № 115. 214 p.
- McKenzie D.J., Geffroy B., Farrell A.P. 2021. Effects of global warming on fishes and fisheries // J. Fish Biol. V. 98. № 6. P. 1489–1492. https://doi.org/10.1111/jfb.14762
- March D., Palmer M., Alós J. et al. 2010. Short-term residence, home range size and diel patterns of the painted comber Serranus scriba in a temperate marine reserve // Mar. Ecol. Prog. Ser. V. 400. P. 195–206. https://doi.org/10.3354/meps08410
- Özaydın O., Uçkun D., Akalın S. et al. 2007. Length–weight relationships of fishes captured from İzmir Bay, Central Aegean Sea // J. Appl. Ichthyol. V. 23. № 6. P. 695–696. https://doi.org/10.1111/j.1439-0426.2007.00853.x
- Pauly D. 1981. The relationships between gill surface area and growth performance in fish: a generalization of von Bertalanffy’s theory of growth // Meeresforsch. Rep. Mar. Res. V. 28. № 4. P. 251–282.
- Pauly D. 1998. Tropical fishes: patterns and propensities // J. Fish Biol. V. 53. № sA. P. 1–17. https://doi.org/10.1111/j.1095-8649.1998.tb01014.x
- Pauly D., Moreau J., Prein M. 1988. A comparison of overall growth performance of tilapia in open waters and aquaculture // ICLARM Conf. Proc. V. 15. P. 469–479.
- Reiner F. 1996. Catálogo dos peixes do arquipélago de Cabo Verde // Publ. Avuls. Inst. Port. Invest. Mar. № 2. 339 p.
- Shiraishi T., Tanaka H., Ohshimo S. et al. 2010. Age, growth and reproduction of two species of scad, Decapterus macrosoma and D. macarellus in the waters off southern Kyushu // Jpn. Agric. Res. Q. V. 44. № 2. P. 197–206. https://doi.org/10.6090/jarq.44.197
- Sokal R.R., Rohlf F.J. 1987. Introduction to Biostatistics. N.Y.: Freeman, 363 p.
- Tortonese E. 1986. Serranidae // Fishes of the north-eastern Atlantic and the Mediterranean. V. 2. Paris: UNESCO. P. 780–792.
- Tuset V.M., Garcia-Diaz M.M., Gonzalez J.A. et al. 2005. Reproduction and growth of the painted comber Serranus scriba (Serranidae) of the Marine Reserve of Lanzarote Island (Central-Eastern Atlantic) // Estuar. Coast. Shelf Sci. V. 64. № 2–3. P. 335–346. https://doi.org/10.1016/j.ecss.2005.02.026
- Uzun A., Toğulga M., İlhan D.U. 2008. Gülbahçe körfez’indeki çizgili hani balığının (Serranus scriba L., 1758) biyolojik özellikleri üzerine araştırmalar // E.U. J. Fish. Aquat. Sci. V. 25. № 1. P. 71–74.
- Vale C., Bayle J.T., Ramos A.A. 2003. Weight and length relationships for selected fish species of the Western Mediterranean Sea // J. Appl. Ichthyol. V. 19. № 4. P. 261–262. https://doi.org/10.1046/j.1439-0426.2003.00492.x
- Verberk W.C.E.P., Atkinson D., Hoefnagel K.N. et al. 2021. Shrinking body sizes in response to warming: explanations for the temperature–size rule with special emphasis on the role of oxygen // Biol. Rev. V. 96. № 1. P. 247–268. https://doi.org/10.1111/brv.12653
- Zorica B., Sinovčić G., Pallaoro A. 2005. Age, growth and mortality of painted comber, Serranus scriba (Linnaeus, 1758), in the Trogir Bay area (eastern mid-Adriatic) // J. Appl. Ichthyol. V. 21. № 5. P. 433–436. https://doi.org/10.1111/j.1439-0426.2005.00624.x
- Zorica B., Pallaoro A., Sinovčić G., Keč V.Č. 2010. Recent data of maximum age and length of painted comber Serranus scriba (Linnaeus, 1758) in Mediterranean Sea // Acta Adriatica. V. 51. № 2. P. 223–226. Available: https://hrcak.srce.hr/64370
Supplementary files






