Predictions about the Pink Salmon Oncorhynchus gorbuscha (Salmonidae) Catches on Iturup Island
- Authors: Zelennikov O.V.1, Myakishev M.S.2
-
Affiliations:
- St. Petersburg State University, St. Petersburg, Rus
- Sakhalin Branch Main Basin Administration for Fisheries and Conservation of Aquatic Biological Resources, Yuzhno-Sakhalinsk, Russia
- Issue: Vol 63, No 2 (2023)
- Pages: 210-217
- Section: Articles
- URL: https://bakhtiniada.ru/0042-8752/article/view/135174
- DOI: https://doi.org/10.31857/S0042875223020315
- EDN: https://elibrary.ru/FAOUJM
- ID: 135174
Cite item
Full Text
Abstract
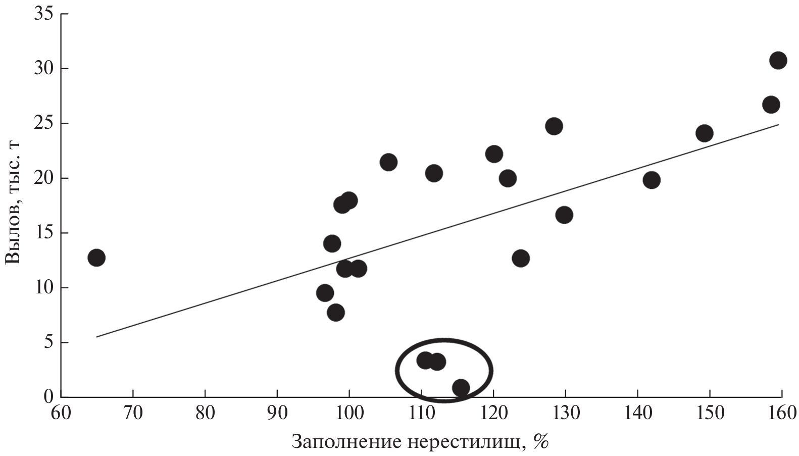
The pink salmon Oncorhynchus gorbuscha spawners which otolith marks created at fish early age at the Kurils and Reidov fish-rearing stations have been studied; fish breeding data and fishing statistics have been analyzed. At the end of the spawning run of pink salmon, only fish of the fish-farm origin have been caught near the fish-rearing stations. More than that, the pink salmon spawners return to the stations of their release (although with rare exceptions). The catches of the pink salmon on Iturup Island are on average 1.6 times greater in even years than in odd years. The increase of the fish stock in odd years significantly depends on the breeding of juveniles in fish farms. There is a positive statistically significant relationship between the filling of spawning grounds with pink salmon spawners and its catches in the Prostor and Kurilsky bays two years later.
About the authors
O. V. Zelennikov
St. Petersburg State University, St. Petersburg, Rus
Email: oleg_zelennikov@rambler.ru
Россия, Санкт-Петербург
M. S. Myakishev
Sakhalin Branch Main Basin Administration for Fisheries and Conservation of Aquatic Biological Resources, Yuzhno-Sakhalinsk, Russia
Author for correspondence.
Email: oleg_zelennikov@rambler.ru
Россия, Южно-Сахалинск
References
- Ванюшин Г.П., Царева В.А., Углова Т.Ю., Кружалов М.Ю. 2015. Сравнительная оценка результатов промысла горбуши температурных условий морской среды, определяемых по спутниковым данным в районе южных Курильских островов // Тр. ВНИРО. Т. 158. С. 112–120.
- Глубоковский М.К. 1995. Эволюционная биология лососёвых рыб. М.: Наука, 343 с.
- Глубоковский М.К., Животовский Л.А. 1986. Популяционная структура горбуши: система флуктуирующих стад // Биология моря. Т. 2. С. 39–43.
- Гриценко О.Ф. 1990. Популяционная структура сахалинской горбуши Oncorhynchus gorbuscha // Вопр. ихтиологии. Т. 30. № 5. С. 825–834.
- Дорофеева Е.А., Алексеев А.П., Зеленников О.В., Зеленков В.М. 2006. Дальневосточная горбуша в бассейне Белого моря // Рыб. хоз-во. № 6. С. 71–73.
- Животовский Л.А. 2013. О методологии исследования популяционной организации вида по генетическим маркерам (на примере горбуши – Oncorhynchus gorbuscha) // Вопр. ихтиологии. Т. 53. № 3. С. 371–376. https://doi.org/10.7868/S0042875213030144
- Животовский Л.А., Глубоковский М.К., Викторовский Р.М. и др. 1989. Генетическая дифференциация горбуши // Генетика. Т. 25. № 7. С. 1261–1274.
- Зеленников О.В., Юрчак М.И. 2019. Гаметогенез тихоокеанских лососей. 1. Состояние гонад у молоди горбуши Oncorhynchus gorbuscha Walbaum, при ее естественном и заводском воспроизводстве в Сахалинской области // Вопр. ихтиологии. Т. 59. № 6. С. 741–744. https://doi.org/10.1134/S0042875219060195
- Зеленников О.В., Погодин В.П., Отставная Е.Г. 2016. Распределение молоди тихоокеанских лососей и сопутствующих видов рыб в озере Сопочное (остров Итуруп) // Биология моря. Т. 42. № 2. С. 153–155.
- Зеленников О.В., Проскуряков К.А., Рудакова Г.С., Мякишев М.С. 2020. Сравнительная характеристика молоди горбуши Oncorhynchus gorbuscha Walbaum, при ее естественном и заводском воспроизводстве в Сахалинской области // Биология моря. Т. 46. № 1. С. 14–23. https://doi.org/10.31857/S0134347520010118
- Ефремов В.В. 1991. Хоминг и популяционная организация горбуши // Биология моря. № 1. С. 3–12.
- Иванков В.Н. 2011. Внутривидовая дифференциация и популяционная организация горбуши Oncorhynchus gorbuscha в различных частях ареала // Изв. ТИНРО. Т. 167. С. 64–76.
- Каев А.М. 2009. Критический анализ методов учета покатной молоди горбуши в реках Сахалина // Бюл. № 4 реализации “Концепции дальневосточной бассейновой программы изучения тихоокеанских лососей”. С. 134–139.
- Каев А.М. 2010а. Значение заводского разведения горбуши и кеты для их промысла в Сахалинской области // Бюл. № 4 реализации “Концепции дальневосточной бассейновой программы изучения тихоокеанских лососей”. № 5. С. 57–61.
- Каев А.М. 2010б. Итоги лососёвой путины на Сахалине при новой системе регулирования промысла // Рыб. хоз-во. № 2. С. 42–46.
- Каев А.М. 2018. О влиянии экстремальных факторов среды на динамику численности горбуши Oncorhynchus gorbuscha // Вопр. ихтиологии. Т. 58. № 2. С. 179–191. https://doi.org/10.7868/S0042875218020078
- Каев А.М., Животовский Л.А. 2016. Новые данные к дискуссии о локальных и флуктуирующих стадах горбуши Oncorhynchus gorbuscha // Изв. ТИНРО. Т. 187. С. 122–144. https://doi.org/10.7868/S0042875218020078
- Каев А.М., Чупахин В.М. 2003. Динамика стада горбуши Oncorhynchus gorbuscha о. Итуруп (Курильские остова) // Изв. ТИНРО. Т. 43. № 6. С. 801–811.
- Кун М.С. 1986. Планктон и питание молоди кеты и горбуши в охотоморском прибрежье острова Итуруп // Биология моря. № 2. С. 60–65.
- Коряковцев Л.В. 2001. Эффективность работы горбушевых рыбоводных заводов Сахалина // Рыб. хоз-во. № 6. С. 36–37.
- Мякишев М.С., Иванова М.А., Зеленников О.В. 2019. К вопросу о мечении молоди лососей и эффективности работы рыбоводных заводов // Биология моря. Т. 45. № 5. С. 342–348. https://doi.org/10.1134/S0134347519050085
- Салменкова Е.А., Омельченко В.Т., Малинина Т.В. и др. 1981. Популяционно-генетические различия между смежными поколениями у горбуши, размножающейся в реках азиатского побережья Северной Пацифики // Генетика и размножение морских животных. Владивосток: Изд-во ДВНЦ АН СССР. С. 95–104.
- Темных О.С. 2004. Азиатская горбуша в морской период жизни: биология, пространственная дифференциация, место и роль в пелагических сообществах: Автореф. дис. … докт. биол. наук. Владивосток: ТИНРО-центр, 48 с.
- Терентьев П.В., Ростова Н.С. 1977. Практикум по биометрии. Л.: Изд-во ЛГУ, 153 с.
- Точилина Т.Г., Смирнов Б.П. 2015. Половозрелые сеголетки горбуши Oncorhynchus gorbuscha (Walbaum) в прибрежных водах о. Итуруп (Южные Курильские острова) // Тр. ВНИРО. Т. 158. С. 136–142.
- Чебанова В.В., Френкель С.Э., Зеленихина Г.С. 2015. Питание и пищевые отношения молоди кеты Oncorhynchus keta и горбуши О. gorbuscha в прибрежье залива Простор (о-в Итуруп) // Вопр. ихтиологии. Т. 55. № 5. С. 533–540. https://doi.org/10.7868/S0042875215050057
- Шунтов В.М., Темных О.С. 2016. Дальневосточная лососёвая путина-2016: хорошие результаты, успехи и ошибки в прогнозах и традиционный провал ВНИРО на путях объявленных им инновационных прорывов в прогнозировании численности и уловов рыб // Бюл. № 11 изучения тихоокеанских лососей на Дальнем Востоке. С. 3–13.
- Шунтов В.М., Темных О.С. 2018. Дальневосточная лососёвая путина-2018: абсолютный исторический рекорд, обеспеченный камчатской горбушей // Бюл. № 13 изучения тихоокеанских лососей на Дальнем Востоке. С. 3–13.
- Agler B.A., Hagen P.T., Scott J.R. et al. 2001. Wandering pink salmon: 1999 and 2000 thermal mark recoveries in Southeast Alaska // NPAFC Tech. Rept. № 3. P. 47–49.
- Dorofeeva Ye.A., Alekseyev O.V., Zelennikov O.V., Ivanova T.S. 2004. Acclimatization of Far Eastern pink salmon in the White Sea: results and perspectives // Proc. Zool. Inst. RAS. V. 300. P. 53–62.
- Joyce T.L., Evans D.G. 2001. Using thermally-marked otoliths to aid the management of Prince-William Sound pink salmon // NPAFC Tech. Rept. № 3. P. 35–36.
- Kawana M., Urava S., Hagen P., Munk K.M. 2001. High seas ocean distribution of Alaskan hatchery pink salmon estimated by otolith marks // Ibid. № 3. P. 27–30.
- Wagner W.C., Stauffer T.M. 1980. Three-year-old pink salmon in Lake Superior tributaries // Trans. Amer. Fish. Soc. V. 109. № 4. P. 458–460. https://doi.org/10.1577/1548-8659(1980)109%3C458:TP-SILS%3E2.0.CO;2
Supplementary files





