Нарушение уровня транспортеров лактата в клетках головного мозга при остром токсическом действии бета-амилоида in vitro и in vivo
- Авторы: Горина Я.В.1, Харитонова Е.В.1, Хилажева Е.Д.1, Семенова А.А.1, Моргун А.В.2, Комлева Ю.К.1,3, Лопатина О.Л.2, Салмина А.Б.1,4
-
Учреждения:
- Научно-исследовательский институт молекулярной медицины и патобиохимии Красноярского государственного медицинского университета им. профессора В.Ф. Войно-Ясенецкого Министерства здравоохранения РФ (КрасГМУ)
- Кафедра поликлинической педиатрии и пропедевтики детских болезней с курсом ПО КрасГМУ
- Центр коллективного пользования Молекулярные и клеточные технологии, КрасГМУ
- Лаборатория нейробиологии и тканевой инженерии Института мозга Научного центра неврологии
- Выпуск: Том 65, № 1 (2023)
- Страницы: 64-81
- Раздел: Статьи
- URL: https://bakhtiniada.ru/0041-3771/article/view/140069
- DOI: https://doi.org/10.31857/S0041377123010042
- EDN: https://elibrary.ru/GOTNXZ
- ID: 140069
Цитировать
Полный текст
Аннотация
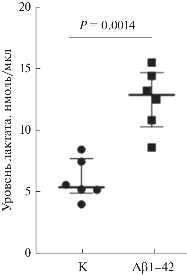
Снижение энергетического метаболизма головного мозга коррелирует с когнитивными нарушениями при болезни Альцгеймера. Накапливающиеся экспериментальные данные указывают на то, что переносчики лактата и монокарбоксилатные транспортеры (МСТ) принимают непосредственное участие в церебральном энергетическом метаболизме. Однако в настоящее время изменения уровня лактата и МСТ при болезни Альцгеймера остаются неясными. Цель исследования заключалась в изучении содержания лактата и уровня его транспортеров MCT1 и MCT2 в клетках нейрональной, астроглиальной и эндотелиальной природы при остром токсическом действии бета-амилоида (Aβ1–42) in vitro и in vivo. Показано, что в условиях острого токсического действия Aβ1–42 in vivo значимо (P ≤ 0.05) уменьшается уровень лактата в ткани гиппокампа и повышается в диализате на фоне низкого уровня MCT1 и MCT2. In vitro выявлена высокая (P ≤ 0.05) продукция лактата астроцитами, сопряженная с низким (P ≤ 0.05) уровнем MCT2 на нейронах. Таким образом, Aβ1–42 вызывает снижение уровня лактата в ткани гиппокампа и повышение его уровня в диализате in vivo, что коррелирует с нарушением уровня MCT1 и MCT2. Это указывает на нарушение энергетического метаболизма за счет острого токсического действия Aβ1–42. При этом выявленное повышение продукции лактата астроцитами in vitro может свидетельствовать о включении компенсаторного механизма, направленного на поддержание астроцитарно-нейронального взаимодействия.
Ключевые слова
Об авторах
Я. В. Горина
Научно-исследовательский институт молекулярной медицины и патобиохимии Красноярского государственного медицинского университета им. профессора В.Ф. Войно-Ясенецкого Министерства здравоохранения РФ (КрасГМУ)
Автор, ответственный за переписку.
Email: yana_20@bk.ru
Россия, 660022, Красноярск
Е. В. Харитонова
Научно-исследовательский институт молекулярной медицины и патобиохимии Красноярского государственного медицинского университета им. профессора В.Ф. Войно-Ясенецкого Министерства здравоохранения РФ (КрасГМУ)
Email: yana_20@bk.ru
Россия, 660022, Красноярск
Е. Д. Хилажева
Научно-исследовательский институт молекулярной медицины и патобиохимии Красноярского государственного медицинского университета им. профессора В.Ф. Войно-Ясенецкого Министерства здравоохранения РФ (КрасГМУ)
Email: yana_20@bk.ru
Россия, 660022, Красноярск
А. А. Семенова
Научно-исследовательский институт молекулярной медицины и патобиохимии Красноярского государственного медицинского университета им. профессора В.Ф. Войно-Ясенецкого Министерства здравоохранения РФ (КрасГМУ)
Email: yana_20@bk.ru
Россия, 660022, Красноярск
А. В. Моргун
Кафедра поликлинической педиатрии и пропедевтики детских болезней с курсом ПО КрасГМУ
Email: yana_20@bk.ru
Россия, 660022, Красноярск
Ю. К. Комлева
Научно-исследовательский институт молекулярной медицины и патобиохимии Красноярского государственного медицинского университета им. профессора В.Ф. Войно-Ясенецкого Министерства здравоохранения РФ (КрасГМУ); Центр коллективного пользования Молекулярные и клеточные технологии, КрасГМУ
Email: yana_20@bk.ru
Россия, 660022, Красноярск; Россия, 660022, Красноярск
О. Л. Лопатина
Кафедра поликлинической педиатрии и пропедевтики детских болезней с курсом ПО КрасГМУ
Email: yana_20@bk.ru
Россия, 660022, Красноярск
А. Б. Салмина
Научно-исследовательский институт молекулярной медицины и патобиохимии Красноярского государственного медицинского университета им. профессора В.Ф. Войно-Ясенецкого Министерства здравоохранения РФ (КрасГМУ); Лаборатория нейробиологии и тканевой инженерии Института мозга Научного центра неврологии
Email: yana_20@bk.ru
Россия, 660022, Красноярск; Россия, 125367, Москва
Список литературы
- Горина Я.В., Комлева Ю.К., Лопатина О.Л., Черных А.И., Салмина А.Б. 2017. Влияние инсулинорезистентности на нарушение метаболизма глюкозы в миндалине головного мозга при экспериментальной болезни Альцгеймера. Бюлл. сибирской мед. № 6. С. 1. (Gorina Ya.V., Komleva Yu.K., Lopatina O.L., Chernykh A.I., Salmina A.B. 2017. Influence of insulin resistance on increased risk of brain amygdala development in experimental Alzheimer’s disease. Bulletin of Siberian medicine. № 6. Р. 1.)
- Комлева Ю.К., Малиновская Н.А., Горина Я.В., Лопатина О.Л., Волкова В.В., Салмина А.Б. 2015. Экспрессия молекул CD38 и CD157 в ольфакторных луковицах головного мозга при экспериментальной болезни Альцгеймера. Сибирское медицинское обозрение. № 5. С. 45. (Komleva Yu.K., Malinovskaya N.A., Gorina Ya.V., Lopatina O.L., Volkova V.V., Salmina A.B. 2015. Expression of CD38 and CD157 molecules in the olfactory bulbs of the brain in experimental Alzheimer’s disease. Siberian Med. Rev. № 5. Р. 45.)
- Лобзин В.Ю., Одинак М.М., Фокин В.А., Воробьев С.В., Емелин А.Ю., Лупанов И.А., Кудяшева А.В., Соколов А.В. 2013. Метаболические изменения головного мозга при болезни Альцгеймера, сосудистой и смешанной деменции. Биомед. журнал медлайн.ру. С. 1085. (Lobzin V.Yu., Odinak M.M., Fokin V.A., Vorobyov S.V., Emelin A.Yu., Lupanov I.A., Kudyasheva A.V., Sokolov A.V. 2013. Brain metabolic changes in Alzheimer’s disease, vascular and mixed dementia. Biomed. J. Medline.ru. P. 1085.)
- Моргун А.В., Кувачева Н.В., Комлева Ю.К., Кутищева И.А., Окунева О.С., Дробушевская А.И., Хилажева Е.Д., Черепанов С.М., Салмина А.Б. 2013. Дифференцировка эмбриональных прогениторных клеток мозга крыс в астроциты и нейроны. Сибирское мед. обозрение. № 6. С. 9. (Morgun A.V., Kuvacheva N.V., Komleva Yu.K., Kutishcheva I.A., Okuneva O.S., Drobushevskaya A.I., Khilazheva E.D., Cherepanov S.M., Salmina A.B. 2013. Differentiation of rat brain embryonic progenitor cells into astrocytes and neurons. Siberian Med. Rev. № 6. Р. 9.)
- Allaman I., Gavillet M., Bélanger M., Laroche T., Viertl D., Lashuel H.A., Magistretti P.J. 2010. Amyloid-beta aggregates cause alterations of astrocytic metabolic phenotype: impact on neuronal viability. J. Neurosci. V. 30. P. 3326. https://doi.org/10.1523/JNEUROSCI.5098-09.2010
- Bartolotti N., Lazarov O. 2019. CREB signals as PBMC-based biomarkers of cognitive dysfunction: a novel perspective of the brain-immune axisBrain Behav. Immun. V. 78. P. 9. https://doi.org/10.1016/j.bbi.2019.01.004
- Bekinschtein P., Cammarota M., Katche C., Slipczuk L., Rossato J.I., Goldin A., Izquierdo I., Medina J.H. 2008. BDNF is essential to promote persistence of long-term memory storage. Proc. Natl. Acad. Sci. USA. V. 105. P. 2711. https://doi.org/10.1073/pnas.0711863105
- Bergersen L.H. 2015. Lactate transport and signaling in the brain: potential therapeutic targets and roles in body-brain interaction. J. Cereb. Blood Flow. Metab. V. 35. P. 176. https://doi.org/10.1038/jcbfm.2014.206
- Berthet C., Castillo X., Magistretti P.J., Hirt L. 2012. New evidence of neuroprotection by lactate after transient focal cerebral ischaemia: extended benefit after intracerebroventricular injection and efficacy of intravenous administration. Cerebrovasc Dis. V. 34. P. 329. https://doi.org/10.1159/000343657
- Bolaños J.P., Almeida A., Moncada S. 2010. Glycolysis: a bioenergetic or a survival pathway? Trends Biochem. Sci. V. 35. P. 145. https://doi.org/10.1016/j.tibs.2009.10.006
- Bondi M.W., Edmonds E.C., Salmon D.P. 2017. Alzheimer’s disease: past, present, and future. J. Int. Neuropsychol. Soc. V. 23. P. 818. https://doi.org/10.1017/S135561771700100X
- Boury-Jamot B., Carrard A., Martin J.L., Halfon O., Magistretti P.J., Boutrel B. 2016. Disrupting astrocyte-neuron lactate transfer persistently reduces conditioned responses to cocaine. Mol. Psychiatry. V. 21. P. 1070. https://doi.org/10.1038/mp.2015.157
- Coco M., Caggia S., Musumeci G., Perciavalle V., Graziano A.C.E., Pannuzzo G., Cardile V. 2013. Sodium L-lactate differently affects brain-derived neurothrophic factor, inducible nitric oxide synthase, and heat shock protein 70 kDa production in human astrocytes and SH-SY5Y cultures. J. Neurosci. Res. V. 91. P. 313. https://doi.org/10.1002/jnr.23154
- Correia S.C., Santos R.X., Carvalho C., Cardoso S., Candeias E., Santos M.S., Oliveira C.R., Moreira P.I. 2012. Insulin signaling, glucose metabolism and mitochondria: major players in Alzheimer’s disease and diabetes interrelation. Brain Res. V. 1441. P. 64. https://doi.org/10.1016/j.brainres.2011.12.063
- Croteau E., Castellano C.A., Fortier M., Bocti C., Fulop T., Paquet N., Cunnane S.C. 2018. A cross-sectional comparison of brain glucose and ketone metabolism in cognitively healthy older adults, mild cognitive impairment and early Alzheimer’s disease. Exp. Gerontol. V.107. P.18. https://doi.org/10.1016/j.exger.2017.07.004
- Cunnane S., Nugent S., Roy M., Courchesne-Loyer A., Croteau E., Tremblay S., Castellano A., Pifferi F., Bocti C., Paquet N., Begdouri H., Bentourkia M., Turcotte E., Allard M., Barberger-Gateau P., Fulop T., Rapoport S.I. 2011. Brain fuel metabolism, aging, and Alzheimer’s disease. Nutrition. V. 27. P. 3. https://doi.org/10.1016/j.nut.2010.07.021
- Ding F., Yao J., Rettberg J.R., Chen S., Brinton R.D. 2013. Early decline in glucose transport and metabolism precedes shift to ketogenic system in female aging and Alzheimer’s mouse brain: implication for bioenergetic intervention. PLoS One. V. 8. P. e79977. https://doi.org/10.1371/journal.pone.0079977
- Encinas J.M., Enikolopov G. 2008. Identifying and quantitating neural stem and progenitor cells in the adult brain. Methods Cell Biol. V. 85. P. 243. https://doi.org/10.1016/S0091-679X(08)85011-X
- Epelbaum S., Youssef I., Lacor P.N., Chaurand P., Duplus E., Brugg B., Duyckaerts C., Delatour B. 2015. Acute amnestic encephalopathy in amyloid-β oligomer-injected mice is due to their widespread diffusion in vivo. Neurobiol Aging. V. 36. P. 2043. https://doi.org/10.1016/j.neurobiolaging.2015.03.005
- Falkowska A., Gutowska I., Goschorska M., Nowacki P., Chlubek D., Baranowska-Bosiacka I. 2015. Energy metabolism of the brain, including the cooperation between astrocytes and neurons, especially in the context of glycogen metabolism. Int. J. Mol. Sci. V. 16. P. 25959. https://doi.org/10.3390/ijms161125939
- Forlenza O.V., Diniz B.S., Gattaz W.F. 2010. Diagnosis and biomarkers of predementia in Alzheimer’s disease. BMC Med. V. 8. P. 89. https://doi.org/10.1186/1741-7015-8-89
- Gordon G.R., Howarth C., MacVicar B.A. 2016. Bidirectional control of blood flow by astrocytes: a role for tissue oxygen and other metabolic factors. Adv. Exp. Med. Biol. V. 903. P. 209. https://doi.org/10.1007/978-1-4899-7678-9_15
- Harris J.J., Attwell D. 2012. The energetics of CNS white matter. J. Neurosci. V. 32. P. 356. https://doi.org/10.1523/JNEUROSCI.3430-11.2012
- Harris R.A. 2017. Cerebral lactate metabolism and memory: Implications for Alzheimer’s disease. Electronic Thesis and Dissertation Repository. P. 4529.
- Hashimoto T., Hussien R., Oommen S., Gohil K., Brooks G.A. 2007. Lactate sensitive transcription factor network in L6 cells: activation of MCT1 and mitochondrial biogenesis. FASEB J. V. 21. P. 2602. https://doi.org/10.1096/fj.07-8174com
- Hui S., Ghergurovich J.M., Morscher R.J., Jang C., Teng X., Lu W., Esparza L.A., Reya T., Le Z., Yanxiang Guo J., White E., Rabinowitz J.D. 2017. Glucose feeds the TCA cycle via circulating lactateNature. V. 551. P. 115. https://doi.org/10.1038/nature24057
- Jin N., Qian W., Yin X., Zhang L., Iqbal K., Grundke-Iqbal I., Gong C.-X., Liu F. 2013. CREB regulates the expression of neuronal glucose transporter 3: a possible mechanism related to impaired brain glucose uptake in Alzheimer’s disease. Nucleic Acids Res. V. 41. P. 3240. https://doi.org/10.1093/nar/gks1227
- Koenig M.K. 2008. Presentation and diagnosis of mitochondrial disorders in children. Pediatr. Neurol. V. 38. P. 305. https://doi.org/10.1016/j.pediatrneurol
- Liguori C., Chiaravalloti A., Sancesario G., Stefani A., Sancesario G.M., Mercuri N.B., Schillaci O., Pierantozzi M. 2016. Cerebrospinal fluid lactate levels and brain [18F]FDG PET hypometabolism within the default mode network in Alzheimer’s disease. Eur. J. Nucl. Med. Mol. Imaging. V. 43. P. 2040. https://doi.org/10.1007/s00259-016-3417-2
- Liguori C., Stefani A., Sancesario G., Sancesario G.M., Marciani M.G., Pierantozzi M. 2015. CSF lactate levels, τ proteins, cognitive decline: a dynamic relationship in Alzheimer’s disease. J. Neurol. Neurosurg. Psychiatry. V. 86. P. 655. https://doi.org/10.1136/jnnp-2014-308577
- Liu Y., Xue Q., Tang Q., Hou M., Qi H., Chen G., Chen W., Zhang J., Chen Y., Xu X. 2013. A simple method for isolating and culturing the rat brain microvascular endothelial cells. Microvasc. Res. V. 90. P. 199. https://doi.org/10.1016/j.mvr.2013.08.004
- Lu W., Huang J., Sun S., Huang S., Gan S., Xu J., Yang M., Xu S., Jiang X. 2015. Changes in lactate content and monocarboxylate transporter 2 expression in Aβ25−35-treated rat model of Alzheimer’s disease. Neurol Sci. V. 36. P. 871. https://doi.org/10.1007/s10072-015-2087-3
- Mohamed A., Posse de Chaves E. 2011. Aβ internalization by neurons and glia. Int. J. Alzheimers Dis. P. 127984. https://doi.org/10.4061/2011/127984
- Moreira T.J., Pierre K., Maekawa F., Repond C., Cebere A., Liljequist S., Pellerin L. 2009. Enhanced cerebral expression of MCT1 and MCT2 in a rat ischemia model occurs in activated microglial cells. J. Cereb. Blood Flow Metab. V. 29. P. 1273. https://doi.org/10.1038/jcbfm.2009.50
- Mosconi L., Mistur R., Switalski R., Tsui W.H., Glodzik L., Li Y., Pirraglia E., De Santi S., Reisberg B., Wisniewski T., de Leon M. 2009. FDG-PET changes in brain glucose metabolism from normal cognition to pathologically verified Alzheimer’s disease. J. Eur. J. Nucl. Med. Mol. Imaging. V. 36. P. 811. https://doi.org/10.1007/s00259-008-1039-z
- Muraleedharan R., Gawali M.V., Tiwari D., Sukumaran A., Oatman N., Anderson J., Nardini D., Bhuiyan M.A.N., Tkáč I., Ward A.L., Kundu M., Waclaw R., Chow L.M., Gross C., Rao R., Schirmeier S., Dasgupta B. 2020. AMPK-Regulated Astrocytic lactate shuttle plays a non-cell-autonomous role in neuronal survival. Cell Rep. V. 32. P. 108092. https://doi.org/10.1016/j.celrep.2020.108092
- Nagase M., Takahashi Y., Watabe A.M., Kubo Y., Kato F. 2014. On-site energy supply at synapses through monocarboxylate transporters maintains excitatory synaptic transmission. J. Neurosci. V. 34. P. 2605. https://doi.org/10.1523/JNEUROSCI.4687-12.2014
- Newman L.A., Korol D.L., Gold P.E. 2011. Lactate produced by glycogenolysis in astrocytes regulates memory processing. PLoS One. V. 6. P. e28427. https://doi.org/0.1371/journal.pone.0028427
- Nielsen H.M., Veerhuis R., Holmqvist B., Janciauskiene S. 2009. Binding and uptake of A beta1-42 by primary human astrocytes in vitro. Glia. V. 57. P. 978. https://doi.org/10.1002/glia.20822
- Pérez-Escuredo J., Van Hée V.F., Sboarina M., Falces J., Payen V.L., Pellerin L., Sonveaux P. 2016. Monocarboxylate transporters in the brain and in cancer Biochim. Biophys. Acta. V. 1863. P. 2481. https://doi.org/10.1016/j.bbamcr.2016.03.013
- Pierre K., Pellerin L. 2005. Monocarboxylate transporters in the central nervous system: distribution, regulation and function. J. Neurochem. V. 94. P. 1. https://doi.org/10.1111/j.1471-4159.2005.03168.x
- Pinheiro C., Longatto-Filho A., Azevedo-Silva J., Casal M., Schmitt F.C., Baltazar F. 2012. Role of monocarboxylate transporters in human cancers: state of the art. J. Bioenerg. Biomembr. V. 44. P. 127–139. https://doi.org/10.1007/s10863-012-9428-1
- Salmina A.B., Kuvacheva N.V., Morgun A.V., Komleva Y.K., Pozhilenkova E.A., Lopatina O.L., Gorina Y.V., Taranushenko T.E., Petrova L.L. 2015. Glycolysis-mediated control of blood-brain barrier development and function. Int. J. Biochem. Cell Biol. V. 64. P. 174. https://doi.org/10.1016/j.biocel.2015.04.005
- Shin B.K., Kang S., Kim D.S., Park S. 2018. Intermittent fasting protects against the deterioration of cognitive function, energy metabolism and dyslipidemia in Alzheimer’s disease-induced estrogen deficient rats. Exp. Biol. Med. (Maywood). V. 243. P. 334. https://doi.org/10.1177/1535370217751610
- Shin Y., Choi S.H., Kim E., Bylykbashi E., Kim J.A., Chung S., Kim D.Y., Kamm R.D., Tanzi R.E. 2019. Blood-brain barrier dysfunction in a 3D in vitro model of Alzheimer’s disease. Adv. Sci. V. 6. P.1900962. https://doi.org/10.1002/advs.201900962
- Sipos E., Kurunczi A., Kasza A., Horvath J., Felszeghy K., Laroche S., Toldi J., Parducz A., Penke B., Penke Z. 2007. Beta-amyloid pathology in the entorhinal cortex of rats induces memory deficits: implications for Alzheimer’s disease. Neurosci. V. 147. P. 28. https://doi.org/10.1016/j.neuroscience.2007.04.011
- Suzuki A., Stern S.A., Bozdagi O., Huntley G.W., Walker R.H., Magistretti P.J., Alberini C.M. 2011. Astrocyte-neuron lactate transport is required for long-term memory formation. Cell. V. 144. P. 810. https://doi.org/10.1016/j.cell.2011.02.018
- Tadi M., Allaman I., Lengacher S., Grenningloh G., Magistretti P.J. 2015. Learning-induced gene expression in the hippocampus reveals a role of neuron-astrocyte metabolic coupling in long term memory. PLoS One. 2015. V. 10. P. e0141568. https://doi.org/10.1371/journal.pone.0141568
- Tang B.L. 2018. Brain activity-induced neuronal glucose uptake/glycolysis: is the lactate shuttle not required? Brain Res. Bull. V. 137. P. 225. https://doi.org/10.1016/j.brainresbull.2017.12.010
- Wang Y., Shang Y., Mishra A., Bacon E., Yin F., Brinton R. 2020. Midlife chronological and endocrinological transitions in brain metabolism: system biology basis for increased Alzheimer’s risk in female brain. Sci. Rep. V. 10. P. 8528. https://doi.org/10.1038/s41598-020-65402-5
- Yamanishi S., Katsumura K., Kobayashi T., Puro D.G. 2006. Extracellular lactate as a dynamic vasoactive signal in the rat retinal microvasculature. Am. J. Physiol. Heart Circ. Physiol. V. 290. P. 925H. https://doi.org/10.1152/ajpheart.01012.2005
- Zhang M., Cheng X., Dang R., Zhang W., Zhang J., Yao Z. 2018. Lactate deficit in an Alzheimer disease mouse model: the relationship with neuronal damage. J. Neuropathol. Exp. Neurol. V. 77. P. 1163. https://doi.org/10.1093/jnen/nly102
Дополнительные файлы


















