Совместное воздействие ударно-волнового нагрева и лазерного фотолиза для генерации активных атомов и радикалов в широком диапазоне температур
- Authors: Быстров Н.С.1, Емельянов А.В.1, Еремин А.В.1, Курбатова Е.С.1, Яценко П.И.1
-
Affiliations:
- Объединенный институт высоких температур РАН
- Issue: Vol 62, No 5 (2024)
- Pages: 796-800
- Section: Short Communications
- URL: https://bakhtiniada.ru/0040-3644/article/view/280999
- DOI: https://doi.org/10.31857/S0040364424050174
- ID: 280999
Cite item
Full Text
Abstract
Создан экспериментальный комплекс, сочетающий ударно-волновой нагрев и импульсный лазерный фотолиз исследуемых газовых смесей. Комплекс позволяет генерировать концентрации активных атомов и радикалов в широком диапазоне температур и давлений, что открывает новые возможности для детальных исследований в области химической кинетики и горения. Получены концентрации атомарного кислорода в диапазоне 1012 –1014 см–3 при воздействии эксимерного лазера Ar–F на длине волны 193 нм на ударно нагретую смесь O2 + Ar в диапазонах температур 700–1500 К и давлений 2–4 бар. Абсолютные значения концентраций атомов O с высокой точностью измерены с помощью метода атомно-резонансной абсорбционной спектроскопии на длине волны 130.5 нм. Показано, что разработанный комплекс может успешно использоваться для прецизионных исследований кинетики окисления различных топлив в области температур, характерных для практических энергопреобразующих установок, цикл работы которых включает процессы горения.
Full Text
Введение
Несмотря на то, что ударные трубы были изобретены более 80 лет назад, они и в настоящее время остаются одним из наиболее совершенных инструментов для исследования кинетики высокотемпературных физико-химических процессов [1–9]. Основным достоинством ударных труб является возможность создания объема однородно нагретой газовой смеси в широких диапазонах температур и давлений при надежном контроле этих параметров. Однако серьезным недостатком для исследований кинетики неравновесных процессов, инициируемых в ударной трубе, является ограниченное время сохранения невозмущенного объема газа у торца трубы после прохождения отраженной ударной волны, обычно составляющее от одной до нескольких миллисекунд. Удлинение камеры низкого давления в сочетании с рядом других приемов позволило авторам [10] увеличить время до десятков миллисекунд, но даже такие времена оказываются существенно короче характерных времен горения в практических энергетических установках при температурах порядка и ниже 1500 К. Поэтому в работах [11, 12] было впервые предложено вслед за прохождением ударной волны искусственно генерировать активные радикалы с помощью флэш-фотолиза. Это открыло возможность исследовать кинетику взаимодействия образованных радикалов с молекулами различных горючих газов при произвольных температурах, определяемых интенсивностью ударной волны. В дальнейшем такой подход был применен с использованием эксимерных лазеров в [13–15].
Целью данной работы является создание экспериментального комплекса, включающего ударную трубу и эксимерный лазер для детальных исследований кинетики окисления перспективных топлив в диапазоне температур и давлений, типичных для практических энергетических установок, при работе которых происходит горение.
Первые эксперименты были посвящены генерации и прецизионному измерению концентраций одного из ключевых радикалов горения – атомарного кислорода. Роль элементарных химических реакций с участием атомов О, которые инициируют и впоследствии определяют большинство кинетических процессов не только в традиционном, но и в плазменном горении [16], вызывает в последнее время огромный интерес в связи с развитием и активным внедрением универсальных иерархических механизмов в численном моделировании процессов горения углеводородных топлив. На конкретном примере получения времяразрешенных концентрационных профилей атомарного кислорода показаны возможности созданного комплекса.
Экспериментальная установка и результаты
В лаборатории неравновесных процессов ОИВТ РАН создан экспериментальный комплекс на базе высоковакуумной кинетической ударной трубы «НЕФРИТ» (подробное описание стенда и его подготовка к экспериментам приведены в [17–19]) и Ar–F эксимерного лазера, работающего на длине волны 193 нм (СL-7700 «Оптосистемы»). В рамках данной работы комплекс использовался для генерации атомов кислорода, формирующихся при фотолизе молекул О2 в смесях 500–5000 ppm O2 + Ar при температурах 700–1600 К и давлениях 2–4 бар.
Принципиальная схема экспериментального комплекса приведена на рис. 1. Исходный луч лазера размером 28 × 10 мм2 с помощью специально разработанной системы из двух цилиндрических линз и двух зеркал преобразовывался в плоскопараллельный горизонтальный пучок шириной 107 мм (равной внутреннему диаметру ударной трубы) и направлялся на кварцевое окно, установленное в торце ударной трубы. Выходная энергия эксимерного лазера варьировалась в пределах 500–200 мДж за импульс, что соответствовало плотности потока квантов в измерительном сечении (4.5–1.8) × 1016 фотон/см2. Геометрическая равномерность интенсивности потока квантов по всей ширине и длине диагностического луча отличалась не более чем на 5%. Длительность лазерного импульса составляла ~20 нс, что много меньше характерного времени протекания изучаемых химических процессов, поэтому в настоящем исследовании его можно считать мгновенным. Запуск импульса лазера производился в диапазоне задержек 100–400 мкс после прохождения фронта отраженной ударной волны, что соответствовало надежному сохранению расчетных параметров газа за фронтом.
Рис. 1. Схема экспериментальной установки: 1 – эксимерный лазер; 2 – оптическая система формирования горизонтального лазерного пучка; 3 – кварцевое окно в торце ударной трубы; 4 – микроволновая лампа с антенной от СВЧ-генератора; 5 – окна из MgF2; 6 – вакуумный монохроматор Acton-502; 7 – фотоэлектронный умножитель ФЭУ-181; 8 – датчики давления; 9, 10 – осциллографы; 11 – ударная труба.
Измерения временных профилей абсолютных концентраций атомов О проводились с использованием прецизионного метода атомно-резонансной абсорбционной спектроскопии (АРАС) на длине волны 130.5 нм, соответствующей линии резонансного перехода атомарного кислорода из основного триплетного состояния (3P2,1,0 → 3S1). Используемая диагностика АРАС подробно описана в [18–20]. Диагностический луч зондирующего АРАС-излучения проходил через окна из MgF2 на расстоянии 35 мм от торца трубы (рис. 1) и, таким образом, полностью пересекал объем газа, облучаемый импульсом эксимерного лазера. На рис. 2 показаны примеры сигналов АРАС, а также сигнал с датчика давления в том же сечении при характерных экспериментальных параметрах.
Рис. 2. Примеры характерных осциллограмм: (а) – T5 = 1210 К, P5 = 3.3 бар, задержка – 200 мкс, смесь 500 ppm О2 + Ar; (б) – 930, 3.8, 150 мкс, 5000 ppm О2 + Ar; 1, 2 – приход падающей и отраженной ударных волн, 3 – момент запуска лазерного импульса.
Хорошо видны изменения абсорбционного сигнала после прихода падающей и отраженной ударных волн, обусловленные поглощением молекулярного кислорода на данной длине волны, а также существенный рост поглощения в момент импульса ArF-лазера. Все абсорбционные профили атомарного кислорода, генерируемые в результате лазерного фотолиза (с учетом поглощения молекулярным кислородом на длине волны 130.5 нм), были преобразованы в соответствующие концентрационные профили. Для этого была использована полученная в [19] собственная уточненная калибровочная функция, учитывающая температурную зависимость сечения поглощения атомов О. В результате показано, что генерируемые концентрации атомарного кислорода варьировались в диапазоне 1012–1014 см–3 в зависимости от условий эксперимента. Вследствие сильного разбавления смеси аргоном и небольшой концентрации атомов О процессы рекомбинации оказывались несущественными, и концентрация образующихся в результате фотолиза атомов О оставалась неизменной в течение всего времени наблюдения. Следует отметить, что подобные измерения в данном температурном диапазоне проведены впервые. При анализе результатов этих измерений необходимо учитывать, что при экспериментальных температурах и давлениях время колебательной релаксации молекулярного кислорода составляет от 10 мкс до 2 мс [21]. А поскольку поглощение импульса эксимерного лазера может происходить из различных колебательных уровней [15], эффективность фотолиза должна зависеть от стадии колебательной релаксации кислорода, определяемой временем задержки импульса лазера и конкретной температурой ударно-волнового нагрева. Для расчета стадии колебательной релаксации и текущей колебательной температуры в момент лазерного импульса использовались данные по колебательной релаксации молекулярного кислорода в атмосфере аргона из работы [21].
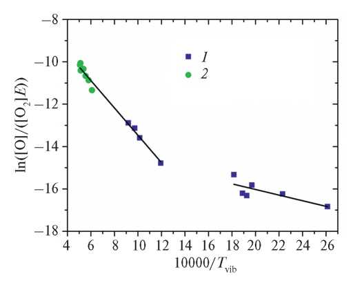
В результате на рис. 3 представлена экспериментальная зависимость выхода атомарного кислорода, нормированная на энергию лазерного импульса от рассчитанной колебательной температуры, достигаемой в данный момент. В [15] (маркеры 2) выход атомов кислорода был в основном обусловлен переходом из второго колебательного уровня молекулы О2. Данные, приведенные на рис. 3, позволяют определить эффективную энергию возбуждения колебательных состояний молекулярного кислорода, ответственных за поглощение лазерного импульса на длине волны 193 нм. В высокотемпературном диапазоне эта энергия составляет 0.556 эВ, что достаточно близко к величине второго колебательного кванта (0.481 эВ [21]) и неплохо согласуется с данными работы [15]. В низкотемпературном диапазоне энергия возбуждения составляет 0.115 эВ, что более чем в два раза ниже энергии первого колебательного уровня молекулы О2 (0.291эВ [21]) и практически совпадает со значением нулевого колебательного уровня (0.0976 эВ [22]). На основании этого можно сделать вывод, что при исследованных температурах поглощение лазерного излучения происходит преимущественно на нулевом и первом колебательных уровнях молекулярного кислорода. Проведенные оценки показали, что в настоящих экспериментах, выполненных при более низких температурах, чем в работе [15], концентрации атомарного кислорода необходимо определять с учетом текущей колебательной температуры молекулярной смеси.
Рис. 3. Зависимость относительного выхода атомов кислорода, нормированная на величину энергии лазерного импульса, от колебательной температуры: прямые – аппроксимация экспериментальных данных, 1 – данная работа, 2 – [15].
Таким образом, первые проведенные эксперименты показали, что созданный экспериментальный комплекс может быть успешно использован для детальных исследований процессов окисления различных горючих газов, в том числе и перспективных топлив в диапазоне температур, характерном для практических энергетических устройств на основе процессов горения. Более того, данный комплекс может быть также использован для генерации других активных радикалов, например радикалов ОН, возникающих при фотолизе паров воды под действием излучения на длине волны 193 нм, как это было показано в [13].
Заключение
Создан экспериментальный комплекс, состоящий из кинетической ударной трубы, эксимерного лазера и диагностики АРАС в видимой и ультрафиолетовой областях спектра, позволяющий исследовать процессы окисления и другие элементарные реакции с участием различных топлив при температурах, характерных для практических энергетических устройств на основе процессов горения. Проведена первая серия экспериментов с генерацией атомов кислорода в диапазоне концентраций 1012–1014 см–3 при температурах от 700 до 1500 К. Показано, что в таких условиях необходимо учитывать колебательную неравновесность молекулярных смесей.
About the authors
Н. С. Быстров
Объединенный институт высоких температур РАН
Email: aemelia@ihed.ras.ru
Russian Federation, г. Москва
А. В. Емельянов
Объединенный институт высоких температур РАН
Author for correspondence.
Email: aemelia@ihed.ras.ru
Russian Federation, г. Москва
А. В. Еремин
Объединенный институт высоких температур РАН
Email: aemelia@ihed.ras.ru
Russian Federation, г. Москва
Е. С. Курбатова
Объединенный институт высоких температур РАН
Email: aemelia@ihed.ras.ru
Russian Federation, г. Москва
П. И. Яценко
Объединенный институт высоких температур РАН
Email: aemelia@ihed.ras.ru
Russian Federation, г. Москва
References
- Гейдон А., Герл И. Ударная труба в химической физике высоких температур. М.: Мир, 1966. С. 428.
- Ступоченко Е.В., Лосев С.А., Осипов А.И. Релаксационные процессы в ударных волнах. М.: Физматгиз, 1965. C. 484.
- Hanson R.K., Davidson D.F. Advances in Shock Tube Techniques for Fundamental Studies of Combustion Kinetics // 25th ICDERS. Leeds, UK. August 2–7, 2015. 5 p.
- Chao X., Shen G., Sun K., Wang Z., Meng Q., Wang S., Hanson R.K. Cavity-enhanced Absorption Spectroscopy for Shock Tubes: Design and Optimization // Proc. Com. Ins. 2019. V. 37(2). P. 1345.
- Balan G.S., Raj S.A. A Review on Shock Tubes with Multitudinous Applications // Int. J. Impact Eng. 2023. V. 172. 104406.
- Pavlov V., Gerasimov G., Levashov V., Kozlov P., Zabelinsky I., Bykova N. Shock Tube Study of Ignition Delay Times for Hydrogen–Oxygen Mixtures // Fire. 2023. V. 6. P. 435.
- Zhao Z., Wang Y., Zhang J., Liang J., Zhang Y., Zhao F., De Wang Q. A Shock-tube Experimental and Kinetic Simulation Study on the Autoignition of Methane at Ultra-lean and Lean Conditions // Heliyon. 2024. V. 10. e34204.
- Cano Ardila F.E., Nagaraju S., Tranter R.S., Garcia G.A., Desclaux A., Ccacya A.R., Chaumeix N., Comandini A. External Standard Calibration Method for High-repetition-rate Shock Tube Kinetic Studies with Synchrotron-based Time-of-flight Mass Spectrometry // R. Soc. Chem. Analyst. 2024. V. 149(5). P. 1586.
- Figueroa-Labastida M., Zheng L., Ferris A.M., Obrecht N., Callu C., Hanson R.K. Shock-tube Laminar Flame Speed Measurements of Ammonia/Airgon Mixtures at Temperatures up to 771 K // Combust. Flame. 2024. V. 260. 113256.
- Campbell M.F., Parise T., Tulgestke A.M., Spearrin R.M., Davidson D.F., Hanson R.K., Strategies for Obtaining Long Constant-pressure Test Times in Shock Tubes // Shock Waves. 2015. № 25. P. 651.
- Ernst J., Wagner H.Gg., Zellner R. A Combined Flash Photo lysis/Shock-tube Study of the Hydroxyl Radical with CH 4 and CF 3 H around 1300 K // Ber. Bunsenges Phys. Chem. 1978. V. 82. № 4. P. 409.
- Michael J.V., Sutherland J.W., Klemm R.B. The Flash Photolysis-shock Tube Technique Using Atomic Resonance Absorption for Kinetic Studies at High Temperatures // Int. J. Chem. Kin. 1985. V. 17. P. 315.
- Davidson D.F., Chang A., Hanson R.K. Laser Photolysis Shock Tube for Combustion Kinetic Studies // 22nd Symp. (Int.) on Combust. Combust. Inst. 1989. P. 1877.
- Michael J.V., Lifshitz A. Atomic Resonance Absorption Spectroscop y with Flash or Laser Photolysis in Shock Wave Experiments. In: Handbook of Shock Waves / Eds. Ben-dor G., Igra O., Elperin T. Acad. Press, 2001. V. 3. P. 77.
- Koshi M., Yoshimura M., Matsui H. Photodissociation of O 2 and CO 2 from Vibrationally Excited States at High Temperatures // Chem. P hys. Lett. 1991. V. 176. № 6. Р. 519.
- Starikovskiy A., Aleksandrov N. Plasma-assisted Ignition and Combustion // Prog. Energy Combust. Sci. 2013. V. 39. P. 61.
- Емельянов А.В., Еремин А.В., Яценко П.И. Экспериментальное исследование взаимодействия атомов хлора с ацетиленом за ударными волнами // ТВТ. 2017. Т. 55. № 5. С. 806.
- Дракон А.В., Емельянов А.В., Еремин А.В., Яценко П.И. Исследование диссоциации трифторметана в широком диапазоне температур и давлений с использованием метода молекулярно-резонансной абсорбционной спектроскопии // ТВТ. 2017. Т. 55. № 2. С. 247.
- Bystrov N.S., Emelianov A.V., Eremin A.V., Yatsenko P.I. New Insight into Dissociation of Molecular Oxygen at Temperatures below 5000 K // Combust. Flame. 2023. V. 258. № 2(12). 113096.
- Bystrov N.S., Emelianov A.V., Eremin A.V., Yatsenko P.I. Kinetics and Thermodynamics of Unimolecular Dissociation of n -C 3 H 7 I // Z. Phys. Chem. 2024. V. 238. № 7. P. 1303.
- Millikan R.C., White D.R. Systematics of Vibrational Relaxation // J. Chem. Phys. 1963. V. 39. № 12. P. 3209.
- Andrienko D.A., Boyd I.D. Vibrational Relaxation and Dissociation of Oxygen in Molecule-Atom Collisions // AIAA Aviation Forum. 22–26 June 2015. Dallas, TX. 45th AIAA Thermophys. Conf. P. 1.
Supplementary files





