Изучение процессов дополнительной генерации турбулентности в двухфазных потоках с крупными частицами
- Authors: Вараксин А.Ю.1, Мочалов А.А.1, Кукшинов Н.В.2
-
Affiliations:
- Объединенный институт высоких температур РАН
- Московский государственный технический университет им. Н.Э. Баумана
- Issue: Vol 62, No 5 (2024)
- Pages: 787–791
- Section: Short Communications
- URL: https://bakhtiniada.ru/0040-3644/article/view/280995
- DOI: https://doi.org/10.31857/S0040364424050155
- ID: 280995
Cite item
Full Text
Abstract
Продемонстрирована принципиальная возможность изучения процесса дополнительной генерации турбулентности в потоках с крупными частицами в рамках модели, основанной на системе осредненных по Рейнольдсу уравнений Навье–Стокса (RANS). Выполнены расчеты дополнительной генерации турбулентности в восходящем воздушном потоке с крупными частицами. Проведено сравнение результатов расчета с имеющимися экспериментальными данными с учетом реальных (истинных) значений массовой концентрации частиц.
Full Text
Введение
Двухфазные течения широко распространены в природе и находят свое применение в различных технических устройствах [1–4]. Изучение особенностей движения частиц в турбулентных потоках газа и и их обратного влияния на характеристики турбулентности несущей фазы является сложной задачей теории двухфазных течений [5–12]. Присутствие частиц может способствовать как ламинаризации, так и турбулизации потока. Известно, что введение в двухфазный поток крупных частиц ведет к дополнительной генерации энергии турбулентности в турбулентных следах за частицами.
Все исследования, касающиеся образования турбулентных вихрей за плохообтекаемыми телами (частицами), можно условно разбить на несколько групп:
- классические исследования следов за обтекаемыми телами (прежде всего, сферической формы) [13, 14];
- изучение влияния турбулентности набегающего потока на развитие турбулентного следа, образующегося за одиночной сферой (частицей) [15–17];
- исследования турбулентности, индуцируемой частицами, в неподвижном газе (жидкости) [18];
- изучение влияния частиц на ламинарно-турбулентный переход для течения суспензий с крупными частицами в трубе [19–21];
- исследования влияния присутствия крупных частиц на характеристики турбулентности двухфазного потока [22–24].
В пионерской экспериментальной работе [22] показано, что наличие в турбулентном потоке крупных пластиковых частиц (диаметр 3000 мкм) приводит к существенному росту интенсивности пульсаций воздуха по всему поперечному сечению трубы вследствие образования турбулентных следов. Имеется ряд аналитических исследований (например, [23]), в которых авторы пытались определить член, отвечающий за дополнительную генерацию турбулентности в уравнении баланса энергии турбулентности. В недавно опубликованном экспериментальном исследовании [24] при помощи PIV-метода измерено мгновенное поле скорости за крупной частицей в нисходящем турбулентном потоке воздуха в канале.
Несмотря на бурное развитие численных методов изучения однофазных и многофазных турбулентных потоков, имеется незначительное количество работ, в которых бы изучался процесс дополнительной генерации турбулентности крупными частицами. Среди таких исследований, посвященных прямому численному моделированию ламинаризующего и турбулизирующего влияния частиц на несущую фазу, можно выделить работы [25, 26].
Цель настоящей работы – численное исследование процесса дополнительной генерации турбулентности в двухфазном потоке с крупными частицами.
Особенности моделирования и результаты
Здесь описана предпринятая авторами попытка изучения процесса дополнительной генерации турбулентности в потоках с крупными частицами в рамках модели, основанной на системе осредненных по Рейнольдсу уравнений Навье–Стокса (RANS), а также некоторые результаты.
Характерной особенностью турбулентных течений является наличие беспорядочных флуктуаций всех параметров потока. В силу переменности параметров не только в пространстве, но и во времени, при изучении турбулентных потоков используются различные методы осреднения и сглаживания, позволяющие перейти от вероятностных полей характеристик к их регулярным средним значениям.
Для расчета параметров несущего газа использовалась полная система осредненных по Рейнольдсу уравнений Навье–Стокса RANS. Поскольку эти уравнения не замкнуты из-за наличия тензора рейнольдсовых напряжений, необходимо использовать дополнительные соотношения (модели турбулентности), связывающие указанные напряжения с характеристиками осредненного течения. Все расчеты были реализованы в программном модуле Ansys Fluent. В настоящей работе для замыкания системы уравнений применялась модель турбулентности SST k–ω-модель Ментера [27].
Необходимо отметить, что дополнительные (источниковые) слагаемые в уравнениях переноса двухпараметрической модели Ментера, учитывающие генерацию турбулентности крупными частицами, отсутствуют. Собственно, дополнительная генерация энергии турбулентности происходит не за счет дополнительного источникового члена в уравнении, а за счет того, что обтекание крупных частиц рассчитывается напрямую, как и объектов с твердыми стенками.
Для численного решения задачи построена расчетная сетка, содержащая 1.11 × 106 ячеек. Исследование сеточной сходимости выполнено в части достаточности сгущения сетки вблизи частиц. Значение универсальной координаты стенки y+ при обтекании частиц не превышало 3. Это говорит о том, что первая ячейка находится в вязком подслое. Пристеночные функции не использовались.
Течение с крупными частицами характеризуется тем, что время релаксации частиц τp значительно превышает характерное время крупномасштабных турбулентных вихрей TL (лагранжев интегральный масштаб турбулентности), т.е. StkL = τp / TL → ∞. Такие частицы не будут реагировать на турбулентные пульсации скорости несущей фазы, а распределения их осредненных скоростей представляются практически однородными по сечению канала (трубы), что существенно упрощает вычисления.
Моделирование крупных частиц реализовывалось при помощи модуля Dynamic Mesh в Ansys Fluent. Сглаживание осуществлялось методом Spring/Laplace/Boundary Layer, перестроение сетки – методом локальной ячейки с минимальным масштабом 0.0005 м и максимальным масштабом 0.1 м. Spring/Laplace/Boundary Layer – это функция сглаживания при перестроении расчетной сетки. Динамическая сетка отслеживает движение частиц и перестраивается. Функции сглаживания используются, чтобы качество сетки оставалось близким к начальному. В применяемом методе ребра ячеек представляются как «пружины» и задается коэффициент, который фактически является коэффициентом пропорциональности в законе Гука, тем самым можно регулировать сгущение сетки при перестроении.
Движение частиц задавалось одной степенью свободы при помощи функции Six DOF. Для возможности движения частиц при численном моделировании необходимо задать начальное положение их центра масс и его скорость. Модуль Six DOF (degree of freedom) позволяет вычислять силы и моменты, действующие на объект, которые приводят к изменению его положения в пространстве с заданным шагом по времени. В работе предполагается, что у частиц одна степень свободы – они могут двигаться только вдоль оси y без вращения. Соответственно, дополнительно к граничным и начальным условиям для частиц задается масса для учета гравитации.
Необходимо отметить, что уравнения движения частиц не интегрировались, а сами частицы двигались с одинаковыми скоростями (см. таблицу). Таким образом, в данной работе был реализован упрощенный вариант подхода, называемого в англоязычной литературе «two-way coupling» (TWC), т.е. учитывающий обратное влияние частиц на характеристики газа. Назовем его квазиподходом или, используя англоязычную аббревиатуру, «quasi-two-way coupling» (TWC(Q)).
Основные характеристики исследуемого потока
Скорость воздуха vc, м/с | Скорость частиц vp, м/с | Диаметр частиц dp, м | Диаметр трубы Dt, м | Длина трубы L, м | Число Рейнольдса Rep |
14.2 | 5.7 | 0.003 | 0.0305 | 0.1 | 1120 |
В такой постановке, когда производится расчет обтекания газом каждой одиночной частицы и разрешается межфазная граница (в англоязычной литературе такие расчеты называются «particle-resolved» (PR)), используемый в данной работе подход может быть классифицирован как PR-TWC(Q)-RANS [7].
Сделаем одно очень важное замечание. В экспериментальной работе [22] приводятся лишь значения средних по сечению массовых расходных концентраций частиц <MG >. В то же время для «размещения» частиц в расчетной области необходимо знать истинное значение массовой концентрации M. C учетом допущений, что частицы равномерно распределены по объему, т.е. M(r) = const и MG(r) = const, между двумя этими характеристиками имеется простая связь, а именно, M / MG = vc /vp (vc – скорость воздуха, vp – скорость частиц).
Максимальное значение массовой расходной концентрации в работе [22] составляет MG = 3.4, что с учетом вышесказанного и значений скоростей воздуха и частиц (см. таблицу) приводит к значению истинной концентрации M = 9.2. Данному значению истинной концентрации соответствует N = 7.8 × 105 м-3 (приблизительно одна частица в 1 см3) или наличию 57 частиц в используемой расчетной области. Здесь N – числовая (счетная) концентрация частиц.
Расчеты течения воздуха с крупными пластиковыми частицами в восходящем турбулентном потоке выполнялись для условий экспериментальной работы [22]. Схема движения частиц в восходящем турбулентном потоке в трубе приведена на рис. 1.
Рис. 1. Схема движения частиц в восходящем турбулентном потоке в трубе.
Сводные данные по характерным скоростям и размерам приведены в таблице. В результате проведенных вычислений получены поля различных характеристик несущего воздуха в присутствии частиц. Основное внимание при анализе уделялось полям энергии турбулентности несущей фазы.
На рис. 2 приведено типичное мгновенное поле энергии турбулентности воздуха, которое соответствует моменту окончания расчета (τ = 0.02 c). При проведении расчетов число Рейнольдса частицы, определяемое по разнице скоростей между фазами и диаметру частиц, составляло Rep =1120 (см. таблицу). Это значение свидетельствует в пользу того, что за крупными движущимися частицами должны образовываться развитые турбулентные следы, характеризующиеся наличием нестационарных трехмерных вихревых структур. В таких структурах происходит рост энергии турбулентности, что и является предметом настоящего исследования. Действительно, как видно из рис. 2, сверху над поверхностью частиц имеет место область повышенной энергии турбулентности воздуха.
Рис. 2. Поле кинетической энергии турбулентности k (м2/с2).
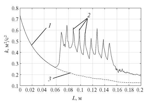
Для более детального анализа процесса дополнительной генерации энергии турбулентности воздуха в выборочном сечении трубы (и в целях экономии расчетного времени) был предложен оригинальный методический прием, заключающийся в расположении частиц на одной линии таким образом, чтобы их турбулентные следы не интерферировали между собой (рис. 1). При этом расстояние между отдельными частицами выбиралось с учетом реализации необходимых значений массовых концентраций.
Использование данного приема позволило получить наглядные распределения энергии турбулентности по длине канала и выделить качественно отличные области (рис. 3): начальный участок, характеризующийся повышенными значениями энергии турбулентности «чистого» воздуха (однофазное течение); области роста энергии турбулентности газовой фазы за отдельными частицами; область «квазистационарного» однофазного течения.
Рис. 3. Распределение энергии турбулентности k по длине канала: 1 – начальный участок с повышенной k, 2 – рост k за отдельными частицами, 3 – «квазистационарное» однофазное течение.
Необходимо отметить, что в данном случае рассматривается ансамбль, состоящий лишь из 9 частиц, в момент времени, когда они находятся ближе к «выходу» из расчетной области. В этом случае, как показали расчеты, их влияние на начальный участок отсутствует.
Обработка данных рис. 3 позволила сделать вывод, что для участка трубы без частиц среднее значение энергии турбулентности k0 = 0.18 м2/с2, а для участка с частицами k = 0.41 м2/с2. Отсюда получаем, что (k / k0)calc = 2.3. В экспериментальной работе [22] для того же сечения трубы и сходных условий (размер и плотность частиц, скорость воздуха и частиц, массовая концентрация) было получено (k / k0)exp = 2.78.
Заключение
Продемонстрирована возможность изучения процесса дополнительной генерации турбулентности в потоках с крупными частицами в рамках подхода, который может быть классифицирован как PR-TWC(Q)-RANS.
Предложен оригинальный методический прием, позволивший для выборочного сечения трубы выявить качественно различные области: область роста энергии турбулентности за отдельными частицами, область квазистационарного однофазного течения и др.
Выполненное сравнение результатов расчета дополнительной генерации турбулентности с имеющимися экспериментальными данными с учетом реальных (истинных) значений массовой концентрации крупных частиц, показало их хорошее согласие.
About the authors
А. Ю. Вараксин
Объединенный институт высоких температур РАН
Author for correspondence.
Email: varaksin_a@mail.ru
Russian Federation, г. Москва
А. А. Мочалов
Объединенный институт высоких температур РАН
Email: varaksin_a@mail.ru
Russian Federation, г. Москва
Н. В. Кукшинов
Московский государственный технический университет им. Н.Э. Баумана
Email: varaksin_a@mail.ru
Russian Federation, г. Москва
References
- Вараксин А.Ю. Воздушные и огненные концентрированные вихри: физическое моделирование (обзор) // ТВТ. 2016. Т. 54. № 3. С. 430.
- Вараксин А.Ю. Воздушные торнадоподобные вихри: математическое моделирование // ТВТ. 2017. Т. 55. № 2. С. 291.
- Вараксин А.Ю. Двухфазные потоки с твердыми частицами, каплями и пузырями: проблемы и результаты исследований (обзор) // ТВТ. 2020. Т. 58. № 4. С. 646.
- Вараксин А.Ю. Гидрогазодинамика и теплофизика двухфазных потоков с твердыми частицами, каплями и пузырями // ТВТ. 2023. Т. 61. № 6. С. 926.
- Eaton J.K. Two-way Coupled Turbulence Simulations of Gas-particle Flows Using Point-Particle Tracking // Int. J. Multiphase Flow. 2009. V. 35. P. 792.
- Kuerten J.G.M. Point-particle DNS and LES of Particle-laden Turbulent Flow – A State-of-the-Art Review // Flow Turbul. Combust. 2016. V. 97. P. 689.
- Elghobashi S. Direct Numerical Simulation of Turbulent Flows Laden with Droplets of Bubbles // Annu. Rev. Fluid Mech. 2019. V. 51. P. 217.
- Varaksin A.Yu., Ryzhkov S.V. Vortex Flows with Particles and Droplets (A Review) // Symmetry. 2022. V. 14. P. 2016.
- Varaksin A.Y., Ryzhkov S.V. Mathematical Modeling of Gas-solid Two-phase Flows: Problems, Achievements and Perspectives (A Review) // Mathematics. 2023. V. 11. P. 3290.
- Пахомов М.А., Терехов В.И. Влияние испарения капель на турбулентность газа и теплообмен при течении двухфазного потока за внезапным расширением трубы // ТВТ. 2016. Т. 54. № 3. С. 352.
- P akhomov M.A., Terekhov V.I. The Effect of Droplets Thermophysical Properties on Turbulent Heat Transfer in a Swirling Separated Mist Flow // Int. J. Thermal Sci. 2020. V. 149. P. 106180.
- Pakhomov M.A. RANS Simulation of Heat Transfer in a Mist Turbulent Flow over an Obstacle // Int. J. Thermal Sci. 2024. V. 199. P. 108913.
- Tiwary S.S., Pal E., Bale S., Minocha N., Patwardhan A.W., Nandakumar K., Joshi J.B. Flow Past a Single Stationary Sphere. 1. Experimental and Numerical Techniques // Powder Technol. 2020. V. 365. P. 115.
- Tiwary S.S., Pal E., Bale S., Minocha N., Patwardhan A.W., Nandakumar K., Joshi J.B. Flow Past a Single Stationary Sphere. 2. Regime Mapping and Effect of External Disturbances // Powder Technol. 2020. V. 365. P. 215.
- Bagchi P., Balachandar S. Response of the Wake of an Isolated Particle to an Isotropic Turbulent Flow // J. Fluid Mech. 2004. V. 518. P. 95.
- Wu J.-S., Faeth G.M. Sphere Wakes at Moderate Reynolds Numbers in a Turbulent Environment // AIAA J. 1994. V. 32. P. 535.
- Wu J.-S., Faeth G.M. Effect of Ambient Turbulence Intensity on Sphere Wakes at Intermediate Reynolds Numbers // AIAA J. 1994. V. 33. P. 171.
- Gai G.D., Hadjadj A., Kudriakov S., Thomine O. Particles-induced Turbulence: A Critical Review of Physical Concepts, Numerical Modelings, and Experimental Investigations // Theor. Appl. Mech. Lett. 2020. V. 10. P. 241.
- Leskovec M., Lundell F., Innings F. Pipe Flow with Large Particles and Their Impact on the Transition to Turbulence // Phys. Rev. Fluids. 2020. V. 5. P. 112301.
- Singh S., Potherat A., Pringle C.C.T., Bates I.R.J., Holdsworth M. Simultaneous Eulerian-Lagrangian Velocity Measurements of Particulate Pipe Flow in Transitional Regime // Rev. Sci. Instrum. 2020. V. 91. P. 095110.
- Hogendoorn W., Chandra B., Poelma C. Suspension Dynamics in Transitional Pipe Flow // Phys. Rev. Fluids. 2021. V. 6. P. 064301.
- Tsuji Y., Morikawa Y., Shiomi H. LDV Measurements of an Air-solid Two-phase Flow in a Vertical Pipe // J. Fluid Mech. 1984. V. 139. P. 417.
- Зайчик Л.И., Вараксин А.Ю. Влияние следа за крупными частицами на интенсивность турбулентности несущего потока // ТВТ. 1999. Т. 37. № 4. С. 683.
- Вараксин А.Ю., Мочалов А.А., Желебовский А.А. Характеристики течения в следе за крупной движущейся частицей // ТВТ. 2022. Т. 60. № 5. С. 701.
- Yu Z.S., Xia Y., Guo Y., Lin J.Z. Modulation of Turbulence Intensity by Heavy Finite-size Particles in Upward Channel Flow // J. Fluid Mech. 2021. V. 913. P. A3.
- Yang B., Peng C., Wang G.C., Wang L.P. A Direct Numerical Simulation Study of Flow Modulation and Turbulent Sedimentation in Particle-laden Downward Channel Flows // Phys. Fluids. 2021. V. 33. P. 093306.
- Menter F.R. Two-equation Eddy-viscosity Turbulence Models for Engineering Applications // AIAA J. 1994. V. 32. P. 1598.
Supplementary files





