Высокотемпературные теплофизические свойства углерод-углеродных композиционных материалов на основе иглопробивного углеродного каркаса с двумя типами уплотнения
- Авторы: Вершинин А.В.1, Карсаков А.С.1, Горбатов В.И.2,3, Куриченко А.А.2, Магнитский И.В.4, Магнитская М.В.4, Тащилов С.В.4
-
Учреждения:
- АО «ОКБ «Новатор»
- ФГБОУ ВО «Уральский государственный горный университет»
- ФГБУН Институт теплофизики УрО РАН
- АО «Композит»
- Выпуск: Том 62, № 5 (2024)
- Страницы: 677–684
- Раздел: Теплофизические свойства веществ
- URL: https://bakhtiniada.ru/0040-3644/article/view/280930
- DOI: https://doi.org/10.31857/S0040364424050052
- ID: 280930
Цитировать
Полный текст
Аннотация
Методом плоских температурных волн измерена температуропроводность образцов, вырезанных из двух типов углерод-углеродных композиционных материалов вдоль и поперек их основного направления армирования. В качестве армирующего компонента углерод-углеродных композиционных материалов использовался иглопробивной каркас на основе углеродной биаксиальной ткани марки АСМ С400В из высокопрочного карбонизованного волокна. Для первого типа углерод-углеродного композиционного материала армирующий компонент уплотнен пироуглеродной матрицей, для второго – коксовой матрицей. Плотность исследованных материалов составляла 1.77 и 1.95 г/ см 3 соответственно. По результатам измерения температуропроводности в диапазоне 600–1700 К рассчитаны температурные зависимости коэффициента теплопроводности, позволяющие оценить теплопроводность исследованных материалов в зависимости от направления армирования (оси анизотропии). Показано отличие коэффициента теплопроводности как по величине, так и по форме политерм в зависимости от способа уплотнения иглопробивных углеродных каркасов углерод-углеродных композиционных материалов. Обсуждается механизм теплопроводности в углерод-углеродных композиционных материалах.
Полный текст
Введение
Углерод-углеродные композиционные материалы (УУКМ) являются перспективными при изготовлении узлов и агрегатов [1], эксплуатируемых в среде высокотемпературных агрессивных газов [2, 3]. Иглопробивные углеродные каркасы со схемой армирования 2.5Д хорошо зарекомендовали себя при производстве УУКМ. Преимущество технологии состоит в том, что иглопробитие обеспечивает получение мелкоячеистого каркаса с плотно скрепленными между собой слоями, что позволяет получить более плотный, прочный и менее склонный к расслоениям каркас, чем изготавливаемый по тканопрошивной технологии. Кроме того, данная технология изготовления является автоматизированной и не требует непрерывного участия оператора в процессе формования каркаса.
На сегодняшний день существуют две основные технологии формирования углеродной матрицы в углеродном армирующем каркасе: жидкофазная и газофазная. В зависимости от технологии в углеродном каркасе формируется пековый кокс или пироуглерод соответственно.
Теплозащитные покрытия на основе УУКМ, изготовленные газофазным уплотнением армирующих углеродных каркасов пироуглеродной матрицей [2, 4, 5], характеризуются высокой прочностью [6] и эрозионной стойкостью при сравнительно небольшой массе, а также возможностью сохранять свои свойства при температурах выше 2500°C.
Наряду с газофазным уплотнением углеродных каркасов осуществляется насыщение каркаса коксом каменноугольного пека. Насыщение коксом увеличивает плотность, уменьшает пористость и, как следствие, газопроницаемость материала. Данная технология изготовления используется с целью увеличения прочностных характеристик материала [5].
Плотность иглопробивного каркаса до газофазного или жидкофазного уплотнения составляет 0.7 г/см3, а после – 1.6–1.9 г/см3, что сопоставимо с графитовыми материалами конструкционных марок [7]. Благодаря таким методам изготовления, УУКМ характеризуются высокой анизотропией теплофизических и механических свойств [8].
Анизотропия теплофизических свойств подчас является основополагающим фактором в выборе данного класса материалов при конструировании теплонагруженных узлов и агрегатов, работающих длительное время при воздействии высоких температур. Высокая теплопроводность вдоль плоскости основного направления армирования и относительно низкая перпендикулярно данной плоскости [9, 10] позволяют ориентировать заготовки материала для достижения оптимального соотношения теплозащитных и механических свойств. К настоящему времени в литературе отсутствуют данные по теплофизическим характеристикам УУКМ, изготовленных с использованием иглопробивных углеродных каркасов на основе углеродной биаксиальной ткани марки АСМ С400В из высокопрочного карбонизованного полиакрилонитрильного (ПАН) волокна с газофазным и жидкофазным уплотнением.
В данной работе проведено экспериментальное исследование коэффициента температуропроводности образцов УУКМ, уплотненных углеродной (типа ИПГ) и коксовой (типа ИПП)матрицами, полученных по газофазной и жидкофазной технологиям соответственно, в интервале температур от 600 до 1700 К вдоль различных направлений анизотропии.
Характеристика образцов и экспериментальная установка
Производство УУКМ типа ИПГ и ИПП осуществляется в АО «Композит» – ведущей материаловедческой организации ГК «Роскосмос» (г. Королев). Материалы заготовок образцов выполнены на основе иглопробивного углеродного каркаса, состоящего из чередующихся слоев углеродных тканей АСМ С400В, изготовленных из окисленного ПАН-волокна. Ткань представляет собой наложенные друг на друга без переплетения два слоя углеродной ленты с углом между ними 90°, прошитых полиэфирной нитью для обеспечения связности. Слои ленты образованы жгутами углеродного волокна марки UMT49S-12K, состоящими из филаментов нити диаметром 6–8 мкм. Шаг армирования материала в направлении, перпендикулярном слоям, составлял примерно 0.5–0.7 мм.Отличительной особенностью материала типа ИПГ от материала типа ИПП является технология уплотнения углеродного каркаса. Каркас материала типа ИПГ уплотнен пироуглеродом. Пироуглерод получается из природного газа при температуре около 1000°C. Каркас материала типа ИПП уплотнен коксом, сформированным в процессе карбонизации пека каменноугольного электродного среднетемпературного марки «Б» при давлении порядка 60 МПа и температуре около 1000°C с последующей высокотемпературной обработкой (ВТО) при 2100°C.
Внешний вид исследуемых материалов приведен на рис. 1. Видно, что они имеют слоистую структуру с толщиной слоя ~0.7 мм, состоящего из углеродной матрицы и армирующего волокна. Плоскость армирования X–Y расположена вдоль слоев углеродной ткани, ось Z направлена перпендикулярно им. Таким образом, у данных материалов имеются два характерных направления и, соответственно, два основных компонента тензора кинетических свойств: в направлении плоскостей слоев и перпендикулярно этим плоскостям. При этом сами значения свойств являются эффективными, так как характеризуют свойства данного объема слоистого материала в том или ином направлении.
Рис. 1. Внешний вид УУКМ: (а) – образец № 1, (б) – № 2.
Экспериментальное исследование температуропроводности данных материалов при высоких температурах проводилось методом плоских температурных волн [11] на оригинальной установке, описанной в [12]. Теоретическое обоснование, определение оптимальных условий измерений и экспериментальная проверка применимости метода плоских температурных волн к слоистым гетерогенным материалам даны в [13, 14]. Что касается дополнительных ограничений, накладываемых на измерения температуропроводности таких материалов, как УУКМ, то они относятся к соблюдению условий «однородности» образца. Другими словами, образец должен быть представительным, т.е. характеризовать свойство всего материала, а не только какого-либо его компонента. Реально «однородность» образца повышается при увеличении его толщины. Начиная с некоторого значения толщины, результаты измерений эффективных теплофизических свойств становятся одинаковыми, что является подтверждением однородности исследуемых образцов.
Образцы УУКМ марок ИПГ и ИПП (далее образцы №№ 1, 2) вырезаны из заготовок материала методом фрезерования вдоль (плоскость X–Y) и поперек (ось Z) основного направления армирования. Они представляли собой квадратные плоскопараллельные пластины со стороной 11 мм и толщиной 1.5–3 мм. Перед загрузкой в измерительную камеру готовые образцы исследовались под микроскопом на наличие возможных трещин и дефектов на поверхностях.
Измерения проводились в атмосфере чистого гелия в режиме термоциклирования от комнатной температуры до 1700 К. Темп нагрева и охлаждения образцов не превышал 5 К/ мин. Для возбуждения плоских температурных волн применялось модулированное по амплитуде излучение инфракрасного лазера типа ЛГН-701 (длина волны излучения – 10.6 мкм, мощность – 60 Вт). Для регистрации средней температуры образца использовался термопарный датчик (ВР5/ ВР20). Колебания температуры на поверхности образца,противоположной к нагреваемой, контролировались при помощи фотоэлектрического датчика (фотодиода). Установленный перед ним коллиматор ограничивал площадь визирования центральной части образца. Данная область обзора имеет диаметр ~2 мм и достаточно велика по сравнению с масштабом микроструктуры. Поэтому фотоприемник регистрирует колебание средней температуры поверхности образца, что позволяет избежать сложностей при оценке температуропроводности из-за локальных различий температуры поверхности, возникающих вследствие различий в коэффициентах теплопроводности и температуропроводности волокон и матрицы.
Сигналы с датчиков после прохождения через линейные нормирующие цепи подавались на внешний аналого-цифровой преобразователь Е14-440,а затем в компьютер для обработки. Расчет амплитуды и фазового сдвига колебаний температуры по отношению к колебаниям лазерного излучения (теплового потока) осуществлялся попериодно в соответствии с квазиоптимальной процедурой, включающей преобразование Фурье. Частоты модуляций лазерного излучения выбирались в диапазоне от 4.0 до 16 Гц при условии, чтобы запаздывание температурной волны в исследуемом образце было не меньше 150°. Расчет температуропроводности проводился по значениям фазового сдвига, частоте модуляции и толщине образца без учета линейного расширения.
Относительная расширенная неопределенность измерения коэффициента температуропроводности в рассматриваемом интервале температур составила 3% и средней температуры образца – 1.4% с коэффициентом охвата k = 2. На данную методику экспериментального определения теплофизических свойств получен аттестат ФГУП «ВНИИМС» [15].
Плотность УУКМ определялась при комнатной температуре методом гидростатического взвешивания согласно ГОСТ 18898-89 (ISO 2738-87) с открытыми порами. Образцы для исследования вырезаны в виде пластин размерами 45×45 мм2 и толщиной 10 мм. Масса образцов измерялась на аналитических весах Shimadzu AW220 с погрешностью менее ± 0.1 мг, размеры – электронным длинномером ШЦ-II-250-0.05 (с погрешностью ± 0.005 мм), который поверялся по образцовым мерам непосредственно перед измерениями. Определенная таким методом плотность образцов №№ 1 и 2 составила 1.77 и 1.95 г/см3 соответственно.
Для калибровки установки были произведены измерения температуропроводности графита марки POCO AXМ-5Q. Результаты измерений представлены на рис. 2. Каждая точка на графике отражает значения, осредненные по 100 периодам колебаний температуры. В исследованном интервале температур 600–1750 К полученная температурная зависимость температуропроводности графита (кривая 1) хорошо согласуется с табличными данными [16] (кривая 2). Максимальное отклонение экспериментальных точек от калибровочной кривой (до 7%) наблюдается в начале температурного диапазона, соответствующего пороговой чувствительности используемого фотоприемника. В остальной части диапазона отклонение не превышает 4%.
Рис. 2.Температурные зависимости коэффициента температуропроводности графита марки POCO AXМ-5Q: 1 – результаты измерений, 2 – данные [16].
Результаты и обсуждение
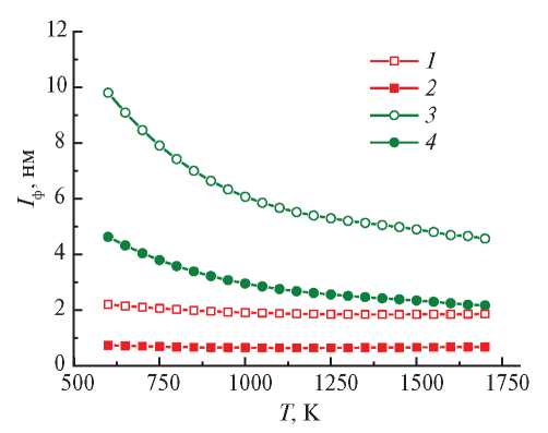
Результаты измерений температурной зависимости коэффициента температуропроводности а(Т ) образцов УУКМ марок ИПГ и ИПП по взаимно перпендикулярным осях (X и Z) показаны на рис. 3. Наибольшую температуропроводность каждый из образцов имеет в плоскости X–Y. В направлении оси Z она в два–три раза ниже, чем в направлении армирования, что свойственно высокоанизотропным УУКМ. Также наблюдается значительное влияние на данное свойство вида уплотнения углеродного каркаса. Так, политермы температуропроводности образца № 1 практически не зависят от температуры. Такое поведение а(Т ) характерно для аморфизованных графитовых материалов на основе пиролитического углерода с турбостратной структурой [17, 18]. В то же время изменение температуропроводности образца № 2 с ростом температуры носит быстро убывающий характер. При этом порядок величины и вид зависимости а(Т ) как в плоскости X–Y, так и в направлении Z хорошо согласуются с литературными данными (кривые 3, 4) для такого класса материалов. Действительно, в работе [9] исследовался материал с пироуглеродным уплотнением углеродного каркаса, что очень близко к технологии изготовления материала ИПГ, тогда как материал CX-270G [10] изготовлен по технологии, схожей с технологией изготовления материала ИПП, в которой пековая матрица также подвергалась графитизации при высоких температурах. Обработка полученных данных осуществлялась с помощью линии тренда полиномом
a(T) = A – BT + CT2 – DT3. (1)
Значения коэффициентов и достоверность аппроксимации приведены в таблице.
Рис. 3. Температурные зависимости температуропроводности вдоль X–Y (а) и вдоль Z (б) образцов УУКМ: 1 – № 1, 2 – № 2; 3 – [9], 4 – [10].
Значения коэффициентов в формуле (1) для образцов УУКМ марок ИПГ и ИПП
Образец | А | В, 10–3 | С, 10–6 | D, 10–10 | Достоверность аппроксимации |
ИПГ (ось Х) | 9.366 | 7.764 | 4.735 | 9.366 | 0.993 |
ИПГ (ось Z) | 3.386 | 3.285 | 2.264 | 4.850 | 0.992 |
ИПП (ось Х) | 88.590 | 145.000 | 100.800 | 241.700 | 0.999 |
ИПП (ось Z) | 39.040 | 60.330 | 40.690 | 95.690 | 0.999 |
Измерения для образцов в режиме нагрев–охлаждение показывают полную повторяемость представленных данных во всем температурном диапазоне, что свидетельствует о стабильности их теплофизических свойств.
На основании сведений о температуропроводности a, плотности ρ и удельной теплоемкости Cp с помощью соотношения [19]
λ = аCpρ (2)
были рассчитаны температурные зависимости коэффициентов теплопроводности λ(Т) образцов №№ 1, 2. В расчетах использовались данные по удельной теплоемкости и температурному коэффициенту линейного расширения (ТКЛР), взятые из [20]. Такое заимствование вполне оправдано, так как удельная теплоемкость и коэффициенты линейного расширения углерод-углеродных композиционных материалов одного типа, изготовленных по схожим технологиям, практически совпадают [9].
Оценим влияние теплового расширения на результаты расчета коэффициентов теплопроводности λxy и λz, имея в виду, что учет теплового расширения для температуропроводности увеличивает ее значение в [1+α(T – T0)]2 раз (по толщине α = αz, вдоль слоев α = αxy). Для этого перепишем формулу (2) в виде
где axy(T ) и az(T) – политермы температуропроводности вдоль и поперек слоев без учета ТКЛР; Т0=300 К – комнатная температура; ρ0 – плотность образца при T0. Подставив в эти соотношения значения ТКЛР αxy = 0.56 × 10–6 и αz= 2.04 × 10–6 1/К [20], придем к тому, что в конце температурного диапазона (1750 К) коэффициент теплопроводности λxy(T ) уменьшится на 0.3%, а λz(T ) увеличится на 0.13% по отношению к значениям теплопроводности, рассчитанным с нулевыми значениями ТКЛР. Этот вклад в неопределенность коэффициентов теплопроводности можно считать незначительным по сравнению с погрешностями определения температуропроводности и удельной теплоемкости.
Имеющиеся результаты измерений удельной теплоемкости УУКМ и графитов [16, 17, 21, 22] не выявляют значительных расхождений в публикациях различных исследователей и согласуются в пределах 5% с данными [20], которые аппроксимируются уравнением
Незначительный (по сравнению с теплопроводностью) разброс данных по теплоемкости УУКМ объясняется макроструктурной «нечувствительностью» данного свойства.
Таким образом, погрешность (среднеквадратичное значение) определения λ(Т ) по данной методике в рассматриваемом диапазоне температур оценивается в пределах 6%.
На рис. 4 показаны результаты расчета коэффициента теплопроводности образцов УУКМ в зависимости от температуры и направления теплового потока относительно плоскости армирования. Видно, что коэффициенты теплопроводности образца № 1 для обоих направлений теплового потока с повышением температуры медленно растут, а образца № 2 – нелинейно (с положительной кривизной) убывают.
Рис. 4. Температурные зависимости теплопроводности вдоль X–Y (а) и вдоль Z (б) образцов УУКМ: 1 – № 1, 2 – № 2.
Полиномиальная (для ИПГ) и степенная (для ИПП) аппроксимации полученных данных дают следующие выражения:
R2 = 0.993;
λxy(T ) = 996.32T–0.384, R2 = 0.99;
R2 = 0.997;
λz(T ) = 558.24T–0.406, R2 = 0.995.
Сравнение зависимостей l(Т) образцов марок ИПГ и ИПП в разных направлениях армирования показывает, что во всем температурном диапазоне зависимости теплопроводности образцов отличаются как по величине, так и по форме, несмотря на то, что технология и сырье (ПАН), используемое для изготовления каркасов обоих образцов, применялись идентичные. Отсюда можно предположить, что основной вклад в теплопроводность материала вносит состояние углеродной матрицы, а именно ее структура и плотность. Исходя из этого, проанализируем процесс переноса тепла в исследованных образцах.
В современной теории теплопроводности предполагается, что тепло в твердых неметаллических веществах переносится в основном фононами (квантами энергии h–ω различных мод колебаний решетки) [23, 24]. Это относится и к токопроводящим маркам УУКМ. Число Лоренца для них равно 1200 мкОм Вт/К [25], что на пять порядков больше значения числа Лоренца для обычных металлов и сплавов. Тогда, согласно формуле Дебая, теплопроводность УУКМ может быть выражена следующим образом:
(3)
где υ – скорость фононов, r – плотность, Ср ≈ Cv – удельная теплоемкость решетки, lф – длина свободного пробега фононов.
Как известно, скорость фононов связана с плотностью и упругими механическими характеристиками твердого тела и приблизительно равна скорости звука в нем. Поскольку эти характеристики композиционных материалов в исследуемом интервале температур изменяются незначительно, то параметр u в (3) можно считать постоянным. При температурах выше дебаевских Т > 500К удельная теплоемкость УУКМ также медленно приближается к своему предельному значению. Поэтому любая зависимость коэффициента теплопроводности от температуры связана преимущественно с изменением длины свободного пробега фононов, которая в общем случае определяется выражением [17]
(4)
где l1 – средний пробег фононов, определяемый фонон-фононным взаимодействием; l2 – средний пробег фононов, обусловленный рассеянием на границах кристаллитов, неоднородностях структуры и дефектах кристаллического строения. Первое слагаемое в (4) пропорционально температуре, второе – не зависит от нее.Следует также учесть, что каналами теплопроводности в направлении плоскости армирования (плоскость X–Y) являются как углеродные волокна на основе ПАН-нитей, так и углеродная матрица. Доминирующим каналом в направлении оси Z является только углеродная матрица. Поэтому общая длина свободного пробега в этих направлениях как для ИПГ, так и для ИПП, должна сильно отличаться.
Оценим длину свободного пробега фононов, исходя из экспериментальных данных по измерению температуропроводности, с помощью соотношения
lф = 3a/υ.
Эту формулу можно легко получить, если в уравнение (3) подставить соотношение (2). Результаты расчета показаны на рис. 5. Данные по скорости звука u в образцах взяты из работы [26] для подобных углерод-углеродных композитов с учетом плотности образцов. В случае газофазного уплотнения (образец № 1) длина свободного пробега фононов lф(T) не зависит от температуры и не превышает 2.5 нм в направлении нитей и 1 нм перпендикулярно им. Отсюда можно предположить, что структура уплотнения соответствует аморфному состоянию матрицы, в которой процессы фонон-дефектного и фонон-граничного взаимодействий существенно преобладают над фонон-фононным. Поэтому теплопроводность λ(T) УУКМ марки ИПГ изменяется так же, как теплоемкость: слабо растет с увеличением температуры.
Рис. 5. Температурные зависимости коэффициента средней длины свободного пробега фононов в образцах № 1 (1 – вдоль X–Y,2 – вдоль Z) и № 2 (3 – вдоль X–Y, 4 – Z).
Вид зависимости lф(T) более плотного образца №2 с пековым уплотнением демонстрирует преобладание в длине свободного пробега фонон-фононного взаимодействия. В результате U-процессов длина свободного пробега по мере повышения температуры быстро уменьшается от 10 до 5 нм по направлению волокон и от 5 до 2 нм перпендикулярно им по закону ~1/T 0.7. Такое поведение lф(T) обусловлено возникновением в образце более совершенной кристаллической структуры наряду с увеличением размера микрокристаллитов вследствие ВТО при 2000°C по сравнению со структурой образца №1 [27]. Известно, что продолжительность и температура ВТО оказывают непосредственное влияние на теплофизические свойства УУКМ [28], с ростом которых приобретается более упорядоченная структура углеродного материала [29, 30]. Таким образом, уменьшение λ(T) с ростом температуры образца №2 демонстрирует поведение, характерное для графитовых материалов [23, 31], но меньшее по величине.
Наблюдаемое поведение коэффициента температуропроводности (средней длины свободного пробега фононов) в УУКМ типа ИПГ и ИПП дает основания полагать, что в большей степени вклад в процессы теплопереноса вносит структура углеродной матрицы, в которой расположение структурных элементов кристаллической решетки, по-видимому, совпадает с направлением плоскости армирования X–Y, что подтверждают кратные по величинам, но одинаковые по форме кривые зависимости λ(T) в каждом из образцов.
Заключение
Измерена температуропроводность в диапазоне температур от 600 до 1700 К вдоль различных осей анизотропии образцов УУКМ марок ИПГ и ИПП с различным типом уплотнения углеродных каркасов, изготовленных из углеродной биаксиальной ткани марки АСМ С400В из высокопрочного карбонизованного волокна. На основе этих экспериментальных данных рассчитаны температурные зависимости коэффициента теплопроводности УУКМ марок ИПГ и ИПП. Установлено влияние технологии уплотнения углеродного каркаса на характер поведения и величину коэффициента теплопроводности в УУКМ марок ИПГ и ИПП.
Полученные данные могут быть использованы при тепловых расчетах и изготовлении узлов и деталей, работающих при высоких температурах. На основании полученных результатов и с учетом анизотропности материалов возможно производить подбор материала и ориентацию его заготовок в зависимости от теплового потока среды, в которой функционируют детали, выполненные из данных УУКМ.
Авторы выражают благодарность докт. физ.-мат. наук А.Д. Ивлиеву за обсуждение результатов.
Работа выполнена в рамках договора НТС №03-01 от 01.12.2023г.
Об авторах
А. В. Вершинин
АО «ОКБ «Новатор»
Автор, ответственный за переписку.
Email: av_vershinin@inbox.ru
Россия, г. Екатеринбург
А. С. Карсаков
АО «ОКБ «Новатор»
Email: av_vershinin@inbox.ru
Россия, г. Екатеринбург
В. И. Горбатов
ФГБОУ ВО «Уральский государственный горный университет»; ФГБУН Институт теплофизики УрО РАН
Email: av_vershinin@inbox.ru
Россия, г. Екатеринбург; г. Екатеринбург
А. А. Куриченко
ФГБОУ ВО «Уральский государственный горный университет»
Email: av_vershinin@inbox.ru
Россия, г. Екатеринбург
И. В. Магнитский
АО «Композит»
Email: av_vershinin@inbox.ru
Россия, г. Королев
М. В. Магнитская
АО «Композит»
Email: av_vershinin@inbox.ru
Россия, г. Королев
С. В. Тащилов
АО «Композит»
Email: av_vershinin@inbox.ru
Россия, г. Королев
Список литературы
- Tang B., Wang Y., Hu L., Lin L., Ma Ch., Zhang Ch., Lu Y., Sun K.,Wu X. Preparation and Properties of Lightweight Carbon/Carbon Fiber Composite Thermal Field Insulation Materials for High-temperature Furnace // J. Eng. Fibers Fabrics. 2019. V. 14.P. 1.
- Бушуев В.М., Удинцев П.Г., Чунаев В.Ю., Ершова А.Н. Перспективы применения углеродных композиционных материалов в химическом аппаратостроении // Химическая промышленность. 2003. Т. 80. № 3. С. 38.
- Дегтярь В.Г., Калашников С.Т., Кречка Г.А., Савельев В.Н. Углерод-углеродные композиционные материалы для изделий ракетно-космической техники // Констр. функц. мат-лы. 2013. № 2. С. 12.
- Бушуев В.М., Мусин Р.К., Синани И.Л. Закономерности пироуплотнения тканопрошивных углеродных каркасов в термоградиентном режиме для изготовления герметичных конструкций // Науч.-техн. вестник Поволжья. 2012. № 1. С. 125.
- Щурик А.Г. Искусственные углеродные материалы. Пермь, 2009. 342 с.
- Магнитская М.В., Магнитский И.В., Тащилов С.В., Цветков Д.А. Влияние высокотемпературной обработки на механические характеристики углерод-углеродных композиционных материалов на основе пироуглеродной матрицы // Вестник ПНИПУ. Механика. 2022. № 4. С.5.
- Виргильев Ю.С. Графиты для реакторостроения. М.: ФГУП «НИИграфит», 2011. 89 с.
- Savage G. Carbon–Carbon Composites.London: Chapman & Hall,1992.
- Luo R., Liu T., Li J., Zhang H., Chen Zh., Tian G. Thermophysical Properties of Carbon/Carbon Composites and Physical Mechanism of Thermal Expansion and Thermal Conductivity // Carbon. 2004. V. 42.№ 14. P. 2887.
- Kim W.-J., Park J.Y., Kim Y. Mechanical and Thermal Properties of a Nuclear Grade C/C Composite for an Application of In-Core Structural Materials of VHTR // Trans. Korean Nuclear Society Spring Meeting Gyeongju, Korea, May 29–30, 2008.P. 317.
- Ивлиев А.Д. Метод температурных волн в теплофизических исследованиях // ТВТ. 2009. Т. 47. № 5. С. 771.
- Ивлиев А.Д., Куриченко А.А., Векшин И.М. Высокотемпературная температуропроводность твердых растворов системы Y–Ho // ТВТ. 2016. Т. 54. № 2. С. 219.
- Коршунов И.Г., Мезенцев А.Н., Ивлиев А.Д., Горбатов В.И. Измерения температуропроводности двухслойных металлических систем методом плоских температурных волн при высоких температурах. Система титан–вольфрам //ТВТ. 1989. Т. 27. № 1. С. 63.
- Ивлиев А.Д., Поздеев А.Н., Морилов В.В. Применение метода плоских температурных волн при исследовании гетерогенных двухслойных материалов // ИФЖ. 1989. Т. 57. № 5. С. 866.
- Ивлиев А.Д., Куриченко А.А., Мешков В.В., Гой С.А. Методика ГСССД МЭ 207–2013. Методика экспериментального исследования температуропроводности конденсированных материалов с использованием температурных волн. ГСССД. Аттестат № 207. Деп. в ФГУП «Стандартинформ» 20.03.2013. № 902а–2013 кк.
- Taylor R.E., Groot H. Thermophysical Properties of POCO Graphite // High Temp. – High Press. 1980. V. 12(2). P. 147.
- Жмуриков Е.И., Савченко И.В., Станкус С.В., Tecchio L. Измерение теплофизических свойств графитовых композитов для конверторов нейтронной мишени // Вестник НГУ. Сер. Физика. 2011. Т. 6. №2. С. 77.
- Лутков А.И., Волга В.И., Дымов Б.К. и др. Тепловые и электрические свойства пиролитического графита // Неорг. материалы. 1972. Т. 8. № 8. С. 1409.
- Дульнев Г.Н., Заричняк Ю.П. Теплопроводность смесей и композиционных материалов. Л.: Энергия, 1974. 264 с.
- Ohlhorst C.W., Vaughn W.L., Ransone P.O., Tsou H.-T. Thermal Conductivity Database of Various Structural Carbon–Carbon Composite Materials // NASA. 1997. Tech. Memorandum№ 4787. 96 p.
- Волков Д.П., Заричняк Ю.П. Теплофизические свойства углерод-углеродных композиционных материалов // ТВТ. 1995. Т. 33. № 6.С. 941.
- Mac í as J.D., Bante-Guerra J., Cervantes-Alvarez F., Rodr ì guez-Gattorno G., Ar é s-Muzio O. et al. Thermal Characterization of Carbon Fiber-Reinforced Carbon Composites (C/C) //Appl. Composite Mater. 2019. V. 26 (1). P.321.
- Костановский А.В., Костановская М.Е., Зеодинов М.Г. О фононном механизме теплопроводности графита при высоких температурах // ТВТ. 2013. Т. 51. №3. С. 477.
- Займан Дж. Электроны и фононы. М.: Изд-во иностр. лит., 1962. 488 с.
- Колесников С.А., Бамборин М.Ю., Воронцов В.А. и др. Формирование уровня коэффициента теплопроводности углерод-углеродного композиционного материала // Новые огнеупоры. 2017. № 2. С. 30.
- Колесников С.А.,Ким Л.В., Воронцов В.А., Проценко А.К., Чеблакова Е.Г. Исследование формирования теплофизических характеристик объемно-армированных углерод-углеродных композиционных материалов // Новые огнеупоры. 2017. № 8. C. 45.
- Wang T., Zhang Sh., Ren B., Li K., Li W., Li H. Optimizing Mechanical and Thermal Expansion Properties of Carbon/Carbon Composites by Controlling Textures // Current Appl. Phys. 2020. V. 20. № 10. P. 1171.
- Бамборин М.Ю., Ярцев Д.В., Колесников С.А. Влияние высокотемпературной обработки на рентгеноструктурные характеристики и теплопроводность углерод-углеродных композиционных материалов // Новые огнеупоры. 2013. № 8. С. 56.
- Мармер Э.Н. Углеграфитовые материалы. М.: Металлургия, 1973. 136 с.
- Берман Р. Теплопроводность твердых тел. М.: Мир, 1979. 286 с.
- Вершинин А.В., Горбатов В.И., Куриченко А.А., Койтов С.А. Теплофизические свойства мелкозернистого графита МПГ-7 с химической и структурной гетерогенностью // ТВТ. 2022. Т. 60. № 5. С. 676.
Дополнительные файлы








